0 руб
Оформить заказ
Рис. 5. Пластинчатая пружина изгиба
Пластинчатые пружины имеют различные очертания, но наиболее часто встречаются плоские пластинчатые пружины постоянного сечения (рис. 5).
Расчет. Принятые обозначения: s1, s2, s3 - деформации пружины, мм, при нагрузке соответственно F1, F2, F3; L - длина пружины, мм; F1 и F2 - рабочие нагрузки, Н; F3 -максимально допускаемая нагрузка на пружину, Н; σиз - допускаемое напряжение при изгибе, Н/мм2; Е - модуль упругости (для стали 210000Н/мм2); bи s- ширина и высота пластины, мм; l - длина пластинчатой пружины в свободном состоянии, мм.
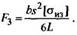
Максимально допустимая нагрузка в Н:

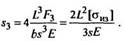
Деформация пружины, мм:

Пример расчета. Дано: F3 = 10Н; L = 70мм.
Определить размеры сечения пружины и деформацию.
Берем холоднокатаную ленту из стали 65 с допускаемым напряжением при изгибе [σиз]=700Н/мм2 (для пружин из ленты толщиной 4мм и более применяют сталь 65Г с [σиз] = 700Н/мм2); E≈210000Н/мм2.
1. Толщину ленты s по конструктивным соображениям и согласно сортаменту на пружинную ленту выбираем равной 0,8мм, тогда ширина ленты

Принимаем b = 10мм.
2. Определяем максимально допустимую деформацию:

Максимально допустимое напряжение на изгиб для стали принимаем равным 1,25[τкр], где [τкр] - максимально допускаемое напряжение кручения.
Выполнение рабочих чертежей. Для пластинчатой пружины с контролируемыми силовыми параметрами кроме диаграмм на чертеже приводят схему закрепления пружины и указывают размеры от точки приложения нагрузки до места закрепления (табл. 28).
28. Пример выполнения чертежа пластинчатой пружины изгиба

Модуль упругости Е = ... Н/мм2.
Твердость HRC....
Напряжение нормальное при изгибе (максимальное) σиз = ... Н/мм2.
Остальные технические требования по ... (указывают номер нормативного документа).
* Размеры для справок.