0 руб
Оформить заказДля передачи с натягом эквивалентную нагрузку находят с учетом силы Fнaт предварительного натяга [1].
ШВП с натягом состоит из двух гаек, каждая из которых после сборки нагружена осевой силой Fнат натяга.
Внешняя осевая сила Fизменяет силы, действующие на гайки, нагружая одну гайку (рабочую) и разгружая другую (нерабочую). Как показали исследования |4|, при достижении силой F значений, в ≈2,83 раза превышающих силы Fнaт натяга, происходит полная разгрузка нерабочей гайки и всю внешнюю осевую силу воспринимает рабочая гайка.
В зависимости от направления внешней осевой силы F рабочей может быть как одна (левая), так и другая (правая) гайка.
Циклограмма нагружения представлена общим числом г уровней нагружения. Из них j уровней нагружения с осевыми силами Fлiположительного направления, за которое принято направление действия осевой силы на передачу со стороны левой гайки.
При этом сила Qi, нагружающая на каждом уровне (i от 1 до j):
- левую (рабочую) гайку
Qлi= Fнат (1 – 0,25Fлi / Fнат)2;
- правую (нерабочую) гайку
Qni = Qлi - Fлi.
Циклограмма нагружения представлена числом (r- j) уровней нагружения с осевыми силами Fпi отрицательного направления, за которое принято направление действия осевой силы на передачу со стороны правой гайки.
При этом сила Qi, нагружающая на каждом уровне [iот (j + 1) до r):
- правую (рабочую) гайку
Qпi = Fнат (1 - 0,25Fпi/ Fнат)2;
- левую (нерабочую) гайку
Qлi = Qni+ Fпi.
В приведенных формулах силы Fлi и Fпi подставляют со своими знаками:
силы Fлi - со знаком плюс;
силы Fпi - со знаком минус.
Средняя частота вращения при задании времени ti работы на каждом уровне в %:
(8)
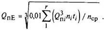
Эквивалентная нагрузка для расчета ресурса левой гайки

Эквивалентная нагрузка для расчета ресурса правой гайки:

При расчете на ресурс ШВП с натягом принимают в качестве эквивалентной нагрузки FE наибольшую из QлЕ и QпE:
FE = QлЕ или FE = QпE. (9)
При расчете на статическую грузоподъемность ШВП с натягом расчетной силой Fp служит наибольшая из двух
Fp = Qлimaxили Fp = Qпimax, (10)
где Qлimax (или Qпimax) - наибольшая из общего числа r уровней нагружения с учетом преднатяга сила, действующая на левую (или правую) гайку передачи.
Расчет на статическую прочность. Статическая прочность поверхности качения обеспечена, если расчетная осевая сила Fp, [см. (7), (10)] не превосходит скорректированную статическую грузоподъемность С0ар [см. (3)]:
Fp≤ C0ap.
Расчет передачи на заданный ресурс. Фактический ресурс Lhф, передачи в ч:

где Сар - скорректированная динамическая грузоподъемность, Н [см. (3)];
FE- эквивалентная нагрузка, Н [см.(5), (9)];
nср - средняя частота вращения, мин-1.
Передача пригодна, если Lhф ≥ Lh, где Lh - заданный ресурс. При невыполнения этого условия следует перейти на типоразмер передачи с большей динамической грузоподъемностью.
Проверка винта на статическую устойчивость. Винты передачи подвержены воздействию значительной осевой силы. В зависимости от схемы осевой фиксации вращающиеся винты работают на растяжение или сжатие.
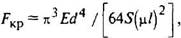
Вычисляют значение критической силы Fкp, Н, по Эйлеру:

где Е - модуль упругости материала винта, МПа (для стали Е = 2,1·105МПа); d - диаметр резьбы винта по впадинам, мм; для предварительных расчетов можно принимать, d = d0 - Dw; S - коэффициент запаса, S = 1,5…4 (обычно S = 3); μ - коэффициент, зависящий от способа закрепления винта (табл. 19); l - длина нагруженного (неопорного) участка винта, мм.
Статическая устойчивость обеспечена, если
Fmax≤ Fкр,
где Fmax- наибольшая осевая сила (Н), нагружающая винт на длине l [см. (1)].
В ОСТ 2 Н62-6-85 приведены номограммы для выбора типоразмера ШВП по допустимой величине осевой силы для различных схем монтажа.
19. Значения коэффициентов μ и v
Способ закрепления винта | Схема | μ | v |
Один конец заделан жестко, второй свободный |
| 2 | 0,7 |
Оба конца опорные |
| 1 | 2,2 |
Один конец заделан жестко, второй опорный |
| 0,7 | 3,4 |
Оба конца заделаны жестко |
| 0,5 | 4,3 |
Примечание. Принятые условные обозначения:
- заделка;
- шарнир.
Проверка на динамическую устойчивость. В соответствии с ОСТ 2 РЗ1-5-89 предельную частоту nпред вращения ШВП регламентируют двумя факторами: критической частотой nкр вращения и линейной скоростью движения шарика, последнюю в свою очередь ограничивают фактором
d0п ≤ 8·104, мм мин-1.
В технически обоснованных случаях допускают d0n≤ 12·104, мм·мин-1.
Критическую частоту nкр, мин-1, вращения вычисляют из условия предотвращения резонанса:
nкр = 5·107vKвd/ l2,
где v - коэффициент, зависящий от способа закрепления винта (табл. 19); Кв - коэффициент запаса по частоте вращения, Кв = 0,5…0,8; d и l - в мм.
В качестве предельной частоты nпред, мин-1, вращения принимают наименьшую из nпред = nкр и nпред = 8·104 / d0.
Частота вращения находится в допустимых пределах при выполнении условия
nmax≤ nпред,
где nmах - наибольшая частота вращения, мин-1 [см. (2)].
Определение КПД. Коэффициент полезного действия шариковинтовой передачи, преобразующей вращательное движение в поступательное:
при ведущем винте
η = tgψKнат / tg(ψ+p);
при ведущей гайке
η = tg (ψ - р)Кнат / tgψ,
где ψ - угол подъема резьбы, рад:
ψ = arctg[Pz / (πd0)];
Kнат- коэффициент, учитывающий влияние натяга; р - приведенный угол трения в резьбе, рад:
р = arctg[fк / (0,5Dw sin а)].
Здесь fк - коэффициент трения качения, мм (fк = 0,005...0,015мм); а - угол контакта, а = 45° = 0,785рад.
Коэффициент Кнат = 1 для передач без натяга (с зазором) и для передачи с небольшим натягом: при Fнaт ≤ Fmax / 3 . Силу Fнат устанавливают из расчета жесткости передачи, см. (4); Fmax- см. (1).
Для передачи со значительным натягом (при Fнат> Fmax / 3)

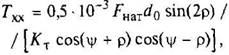
Момент холостого хода для передачи с натягом, Н·м:

где Кт - коэффициент, учитывающий влияние точности изготовления (табл. 16); Fнат - в Н; d0 – в мм.
Наибольший момент завинчивания, Н·м: Тзав = 0,5 · 10-3FmaxzР / (πη) + Тхх, где Р - шаг резьбы, мм; z - число заходов резьбы; Fmax - в Н [см. (1)].
Наибольшая линейная скорость v, м/с, перемещения ведомого элемента вычисляют в зависимости от частоты вращения nmах, мин-1 [см. (2)]:
v = Pznmax /60000.
Расчет геометрии профиля резьбы. Радиус шарика, мм: rw= Dw / 2.
Радиус профиля резьбы, мм (рис. 3):
rпp= (1,03...1,05)rw.
Число шариков в одном витке гайки:
rш = πd0 / (Dwcosψ).
Число рабочих шариков в одном витке с вкладышем: zp = zш - z', где z' – число шариков в канале возврата, z' = 3Р / Dw. Расчетное число шариков в iв витках:
zрасч = 0,7zpiв
Нормальная сила, нагружающая один шарик, Н: Fn = Fp / (zрасчsinacosψ), где Fp - расчетная сила, Н [см. (7), (10)].
Параметры плошадки контакта между телом качения и дорожкой качения (здесь Е - модуль упругости, МПа):

Радиус галтели винта, мм: rв = 0,2 rw.
Радиус галтели гайки, мм: rг = 0,15 rw.
Наружный диаметр резьбы винта, мм:
d1 = d0 - 2[(rw + rв)cоs(a + γ) - rв].
Смешение центра радиуса профиля, мм:
спр = (rпр-rw) sina.
Внутренний диаметр резьбы винта, мм:
d2в = d0 + 2cпр – 2rпр.
Наружный диаметр резьбы гайки, мм:
d2r = d0 – 2cпр + 2rпр.

Рис.3
Внутренний диаметр резьбы гайки, мм:
d3т = d0 + 0,5(d0 – d1).
Диаметр качения по винту, мм:
dкв = d0 - 2rwcosa.
Диаметр качения по гайке, мм:
dкг = d0 + 2rwcosa.
Расчет стержня винта на прочность. Напряжения σ, МПа, растяжения-сжатия при нагружении силой Fmax, Н [см. (1)]:
σ = 4Fmax / (πd2в2).
Напряжения τ, МПа, кручения при нагружении наибольшим моментом Тзав, Н·м, завинчивания: τ = 103Тзав /(0,2d2в3).
Прочность винта проверяют по эквивалентному напряжению, МПа:

Допускаемое напряжение [σ] = σт / 3 , где σт - предел текучести материала винта, МПа.
Осевая жесткость Св, Н/мкм, винта диаметром dкв, мм, и длиной l, мм, при закреплении:
по схемам 1-3 (табл. 19)

по схеме 4 (табл. 19)

где Е - модуль упругости материала винта, МПа.
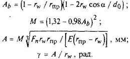
Смешение гаек для создания предварительного натяга, мкм:

Здесь Fнат - в H; Dw- в мм.



