0 руб
Оформить заказ36. Формулы для расчета
Наименование параметра | Расчетная формула или значение |
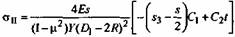
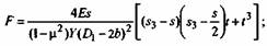
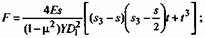
Сила пружины при рабочей деформации F, Н | Для пружин: без опорной плоскости с опорной плоскостью с радиусным скруглением кромок где R- радиус скругления кромок |
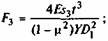
Сила пружины при максимальной деформации F3, H | Для пружин: без опорной плоскости
с опорной плоскостью
с радиусным скруглением кромок
|
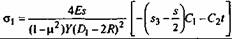
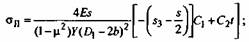
Напряжение сжатия в кромке l(рис. 7) σ1, Н/мм2 (Напряжение сжатия в кромке l является определяющим для пружин статического нагружения) | Для пружин: без опорной плоскости с опорной плоскостью
с радиальным скруглением кромок |
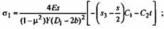
Напряжение растяжения в кромке IIσII, Н/мм2 (Напряжения растяжения в кромках IIи IIIявляются определяющими при циклическом нагружении) | Для пружин: без опорной плоскости с опорной плоскостью
с радиусным скруглением кромок |
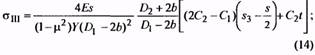
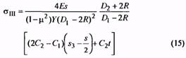
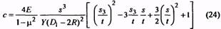
Напряжение растяжения в кромке IIIσIII, Н/мм2 (При расчете определяют максимальные напряжения [σII]3 или [σIII]3 в зависимости от отношения параметров D1/D2 и s3/t(рис. 8) | Для пружин: без опорной плоскости
с опорной плоскостью
с радиусным скруглением кромок
|
Модуль упругости Е, Н/мм | Е = 2,06·105 |
Предварительная деформация пружины s1, мм | s1= (0,2 ... 0,4) s3 |
Рабочая деформация пружины s2, мм | s2 = (0,3 ... 0,6) s3 - для пружин Iкласса; s2 = (0,6 ... 0,8) s3 - для пружин IIкласса |
Максимальная деформация пружины s3, мм | Выбирают по табл. 32 и 33 |
Толщина пружины t, мм | |
Наружный D1, и внутренний D2 диаметры пружины | |
Коэффициент Пуассона μ | μ = 0,3 (для сталей) |
Ширина опорной плоскости b, мм | Выбирают по табл. 34. Номинальная ширина опорной плоскости bном = 0,5 bmаx |
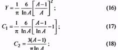
Расчетные коэффициенты: Y C1 C2 А (Коэффициенты Y, С1, С2 допускается определять по табл. 37) |
Для пружин: без опорной плоскости
с опорной плоскостью
с радиусным скруглениемкромок
|
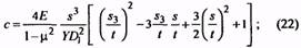
Жесткость пружины с, Н/мм | Для пружин: без опорной плоскости
с опорной плоскостью
с радиусным скруглением кромок
|
Масса пружины m, кг |
где р = 7,85 · 10-6 кг/мм3 |
Вид характеристики - "сила деформация" определяется отношением s3/t (рис.9).
При отношении s3/t< 0,6 зависимость "сила-деформация" практически линейна.
При отношении s3/t≥ 0,6 зависимость "сила-деформация" нелинейна.

Рис. 7. Напряженные кромки I, II, IIIтарельчатой пружины

Рис. 8. Соотношение напряжений ап и ош в зависимости от соотношений параметров
D1/D2 и s3/t. Области: I - σIII> σII; 2 - σIII = σII; 3-σIII<σII

Рис. 9. Зависимость характеристики "сила-деформация" от отношения s3/t
37. Значение коэффициентов Y, С1 и С2 в зависимости от отношения А = D1/D2
А | Y | C1 | С2 | А | У | C1 | C2 |
1,30 | 0,388 | 1,044 | 1,092 | 2,16 | 0,715 | 1,256 | 1,438 |
1,32 | 0,404 | 1,050 | 1,101 | 2,18 | 0,718 | 1,260 | 1,446 |
1,34 | 0,420 | 1,055 | 1,109 | 2,20 | 0,721 | 1,264 | 1,453 |
1,36 | 0,435 | 1,061 | 1,118 | 2,22 | 0,723 | 1,269 | 1,461 |
1,38 | 0,450 | 1,066 | 1,127 | 2,24 | 0,726 | 1,273 | 1,468 |
1,40 | 0,463 | 1,072 | 1,135 | 2,26 | 0,728 | 1,277 | 1,476 |
1,42 | 0,476 | 1,077 | 1,144 | 2,28 | 0,730 | 1,282 | 1,483 |
1,44 | 0,480 | 1,082 | 1,152 | 2,30 | 0,733 | 1,286 | 1,490 |
1,46 | 0,501 | 1,088 | 1,161 | 2,32 | 0,735 | 1,290 | 1,498 |
1,48 | 0,512 | 1,093 | 1,169 | 2,34 | 0,737 | 1,294 | 1,505 |
1,50 | 0,523 | 1,098 | 1,178 | 2,36 | 0,739 | 1,299 | 1,512 |
1,52 | 0,534 | 1,103 | 1,186 | 2,38 | 0,741 | 1,303 | 1,520 |
1,54 | 0,544 | 1,109 | 1,194 | 2,40 | 0,742 | 1,307 | 1,527 |
1,56 | 0,553 | 1,114 | 1,203 | 2,42 | 0,744 | 1,311 | 1,534 |
1,58 | 0,563 | 1,119 | 1,211 | 2,44 | 0,746 | 1,315 | 1,542 |
1,60 | 0,571 | 1,124 | 1,219 | 2,46 | 0,747 | 1,320 | 1,549 |
1,62 | 0,580 | 1,129 | 1,227 | 2,48 | 0,749 | 1,324 | 1,556 |
1,64 | 0,588 | 1,134 | 3,235 | 2,50 | 0,750 | 1,328 | 1,563 |
1,66 | 0,596 | 1,139 | 1,244 | 2,52 | 0,752 | 1,332 | 1,570 |
1,68 | 0,603 | 1,144 | 1,252 | 2,54 | 0,753 | 1,336 | 1,578 |
1,70 | 0,610 | 1,149 | 1,260 | 2,56 | 0,754 | 1,340 | 1,585 |
1,72 | 0,617 | 1,154 | 1,268 | 2,58 | 0,756 | 1,344 | 1,592 |
1,74 | 0,624 | 1,159 | 1,276 | 2,60 | 0,757 | 1,348 | 1,599 |
1,76 | 0,630 | 1,163 | 1,284 | 2,62 | 0,758 | 1,352 | 1,606 |
1,78 | 0,636 | 1,168 | 1,292 | 2,64 | 0,759 | 1,356 | 1,613 |
1,80 | 0,642 | 1,173 | 1,300 | 2,66 | 0,760 | 1,360 | 1,620 |
1,82 | 0,647 | 1,178 | 1,308 | 2,68 | 0,761 | 1,364 | 1,627 |
1,84 | 0,653 | 1,183 | 1,315 | 2,70 | 0,762 | 1,368 | 1,634 |
1,86 | 0,658 | 1,187 | 1,323 | 2,72 | 0,763 | 1,372 | 1,641 |
1,88 | 0,663 | 1,192 | 1,331 | 2,74 | 0,764 | 1,376 | 1,648 |
1,90 | 0,668 | 1,197 | 1,339 | 2,76 | 0,765 | 1,380 | 1,655 |
1,92 | 0,672 | 1,201 | 1,347 | 2,78 | 0,766 | 1,384 | 1,662 |
1,94 | 0,677 | 1,206 | 1,355 | 2,80 | 0,767 | 1,388 | 1,669 |
1,96 | 0,681 | 1,211 | 1,362 | 2,82 | 0,767 | 1,392 | 1,676 |
1,98 | 0,685 | 1,215 | 1,370 | 2,84 | 0,768 | 1,396 | 1,683 |
2,00 | 0,689 | 1,220 | 1,378 | 2,86 | 0,769 | 1,400 | 1,680 |
2,02 | 0,693 | 1,224 | 1,385 | 2,88 | 0,769 | 1,403 | 1,697 |
2,04 | 0,696 | 1,229 | 1,393 | 2,90 | 0,770 | 1,407 | 1,704 |
2,06 | 0,700 | 1,233 | 1,408 | 2,92 | 0,771 | 1,411 | 1,711 |
2,08 | 0,703 | 1,238 | 1,416 | 2,94 | 0,771 | 1,415 | 1,718 |
2,10 | 0,706 | 1,242 | 1,423 | 2,96 | 0,772 | 1,419 | 1,725 |
2,12 | 0,709 | 1,247 | 1,401 | 2,98 | 0,772 | 1,423 | 1,732 |
2,14 | 0,712 | 1,251 | 1,431 | 3,00 | 0,773 | 1,426 | 1,738 |
Для пружин из углеродистых сталей, допустимые напряжения при максимальной деформации составляют [σt] = 2940Н/мм2, [σII(σIII)3 =1760Н/мм2.
Характер изменения жесткости зависит от отношения s3/tи соответствует характеру изменения силы (рис. 9).
Расчетные величины напряжений в табл. 32 и 33 не превышают 10% номинальных значений.
При циклическом нагружении средством регулирования выносливости служит изменение разности между напряжением растяжения при максимальной деформации и напряжением при рабочей деформации. Возрастание разности обусловливает увеличение выносливости и стойкости пружин при одновременном возрастании размеров узлов.
Уменьшение разности сопровождается обратным изменением служебных свойств и размеров пространств в механизмах для размещения пружин. При этом необходимо предусматривать пакеты запасных пружин.
Пример выбора пружин класса II.
1. Исходными величинами для определения размеров пружин являются силы F1 и F2, величины предварительной Sn1 и рабочей Sn2 деформаций или рабочий ход (Sn2 – Sn1) пакета, режим нагружения, выносливость в циклах. Ориентировочно задаются габариты пружинного узла.
2. По условию максимально допустимой рабочей деформации s = 0,8s3 определяется сила, соответствующая максимальной деформации, F3 = F2/0,8.
3. В табл. 32 и 33 отыскивают силу, близкую к найденному значению F3, и выбирают размеры геометрических параметров, наиболее удовлетворяющих заданным условиям.
4. По силам F1 и F2 из табл. 32 и 33 определяют деформации s1 и s2, при этом s2 не должно превышать величину 0,8s3.
5. По найденным величинам s1 и s2 и по заданным Sn1 и Sn2 определяют число пружин в пакете:
![]()
6. По известным геометрическим параметрам соответственно найденному числу пружин в пакете определяют свободную высоту пакета пружин при последовательной сборке L0 = l0n (см. табл. 35), а также высоту при рабочей и предварительной деформации L1 = L0 –Sn1; L2 = L0 - Sn2.
Высота пакета пружин при максимальной деформации L3 = tn.
Расчет на этом заканчивается.
Проверочных расчетов не требуется, так как сортамент пружин в табл. 32 и 33 рассчитан в соответствии с максимально допустимыми напряжениями.
П. Пример выбора пружин класса I.
1. Исходные величины такие же, как для пружин класса II.
2. Из условия максимально допустимой рабочей деформации s2 = 0,653 определяем примерно силу при максимальной деформации F3 = F2/0,6.
3. По найденному значению силы F3 в табл. 32 и 33 находим пружину, геометрические параметры которой наиболее удовлетворяют заданным условиям.
4. Из табл. 32 и 33 определяют величины s1 и s2 соответственно заданным величинам сил F1 и F2.
Число пружин в пакете и габариты пакета определяются, как для пружин класса II, согласно пп. 5 и 6 примера I.
(1)
(2)
(3)
(4)
(5)
(6)
(7)
(8)
(9)
(10)
(11)
(12)









