0 руб
Оформить заказПрямозубые конические передачи выполняют с осевой формой I с пропорционально понижающимися зубьями (рис. 28) и постоянным радиальным зазором по ширине зубчатого венца.
При обработке зубчатых колес зубострогальными резцами дно впадины имеет коническую форму (рис. 29, а), а при обработке парными зуборезными головками — вогнутую (рис. 29, б).
Числа зубьев шестерни и колеса ортогональной конической зубчатой передачи при исходном контуре по ГОСТ 13754—81 следует выбирать с учетом данных, приведенных в табл. 67.
Число зубьев цементованных конических зубчатых колес рекомендуется определять по номограмме, приведенной на рис. 30.
Термически улучшенные конические зубчатые колеса можно выполнять с тем же увеличенным числом зубьев на 10-20 %.
Модули. В качестве расчетного принят внешний окружной модуль mе. Модуль mе рекомендуется устанавливать по ГОСТ 9563-60.
Параметры исходного контура. Конические передачи с прямыми зубьями общего назначения при mе выше 1мм должны выполняться в соответствии с исходным контуром по ГОСТ 13754—81 со следующими параметрами:
а = 20°; ha* = 1; с* = 0,2 и pf* = 0,3.
Исходный контур для прямозубых конических колес см. на рис. 1.
Выбор коэффициентов смещения и коэффициентов изменения расчетной толщины зуба исходного контура.
1. При u > 1 шестерню рекомендуется выполнять с положительным смешением (х1) по табл. 68, а колесо с равным ему по величине отрицательным смещением (х2 = -х1)
Для передач, у которых u и z1 отличаются от указанных в табл. 68, коэффициенты смещения принимают с округлением в большую сторону.
2. При u≥ 2,5 зубчатые колеса рекомендуется выполнять не только со смещением, устанавливаемым по п. 1, но и с различной толщиной зуба исходного контура: увеличенной по сравнению с расчетной (πme/2), у исходного контура шестерни и соответственно уменьшенной у исходного контура колеса.

Рис. 28. Осевая форма зуба I:
1 - делительный конус; 2 - конус впадин

Рис. 29. Форма впадины:
а - при обработке зубострогальными резцами; б - при обработке парными зуборезными головками
Коэффициент изменения расчетной толщины зуба исходного контура xτ1, положительный для шестерни и равный ему по величине, но обратный по знаку хτ2 для колеса, рекомендуется вычислять по формуле
хτ1 = 0,03 + 0,008(u - 2,5)
67. Минимальное допустимое число зубьев ортогональной конической передачи с прямыми зубьями
Число зубьев шестерни z1 | Наименьшее число зубьев сопряженного колеса z2 | Число зубьев шестерни z1 | Наименьшее число зубьев сопряженного колеса z2 |
12 | 30 | 15 | 19 |
13 | 26 | 16 | 18 |
14 | 20 | 17 | 17 |
68. Коэффициенты смещения для ортогональных конических зубчатых передач с прямыми зубьями при исходном контуре по ГОСТ 13754—81
Число зубьев шестерни z1 | Значения коэффициента смещения х1 при передаточном числе передачи u | |||||||||||
1 | 1,12 | 1,25 | 1,4 | 1,6 | 1,8 | 2,0 | 2,5 | 3,15 | 4,0 | 5,0 | 6,3 и выше | |
12 | — | — | — | — | — | — | — | 0,50 | 0,53 | 0,56 | 0,57 | 0,58 |
13 | — | — | — | — | — | — | 0,44 | 0,48 | 0,52 | 0,54 | 0,55 | 0,56 |
14 | — | — | — | 0,27 | 0,34 | 0,38 | 0,42 | 0,47 | 0,50 | 0,52 | 0,53 | 0,54 |
15 | — | — | 0,18 | 0,25 | 0,31 | 0,36 | 0,40 | 0,45 | 0,48 | 0,50 | 0,51 | 0,52 |
16 | — | 0,10 | 0,17 | 0,24 | 0,30 | 0,35 | 0,38 | 0,43 | 0,46 | 0,48 | 0,49 | 0,50 |
18 | 0,00 | 0,09 | 0,15 | 0,22 | 0,28 | 0,33 | 0,36 | 0,40 | 0,43 | 0,45 | 0,46 | 0,47 |
20 | 0,00 | 0,08 | 0,14 | 0,20 | 0,26 | 0,30 | 0,34 | 0,37 | 0,40 | 0,42 | 0,43 | 0,44 |
25 | 0,00 | 0,07 | 0,13 | 0,18 | 0,23 | 0,26 | 0,29 | 0,33 | 0,36 | 0,38 | 0,39 | 0,40 |
30 | 0,00 | 0,06 | 0,11 | 0,15 | 0,19 | 0,22 | 0,25 | 0,28 | 0,31 | 0,33 | 0,34 | 0,35 |
40 | 0,00 | 0,05 | 0,09 | 0,12 | 0,15 | 0,18 | 0,20 | 0,22 | 0,24 | 0,26 | 0,27 | 0,28 |
Примечание. Данные таблицы могут быть использованы также для повышающих передач при u< 1.
69. Ширины зубчатых конических венцов в зависимости от de2 и u

Допускается применять ширины зубчатых венцов, определяемые расчетным путем по табл. 70 и 71.
Значения без скобок являются предпочтительными.
Фактические значения могут отличаться от номинальных не более, чем на 2 % для de2 и 3 % для u
Номинальные значения внешнего делительного диаметра колеса de2, мм | Ширина зубчатых венцов b, мм, для номинальных передаточных чисел u | ||||||||||||||||
1,00 | (1,12) | 1,25 | (1,40) | 1,60 | (1,80) | 2,00 | (2,24) | 2,50 | (2,80) | 3,15 | (3,55) | 4,00 | (4,50) | 5,00 | (5,60) | 6,30 | |
50 | 10 | 9,5 | 9 | 9 | 8,5 | — | — | — | — | — | — | — | — | — | — | — | — |
(56) | 11 | 10,5 | 10 | 10 | 9,5 | — | — | — | — | — | — | — | — | — | — | — | — |
63 | 13 | 12 | 11,5 | 11 | 10,5 | 10 | 10 | — | — | — | — | — | — | — | — | — | — |
(71) | 14 | 14 | 13 | 12 | 12 | 11,5 | 11,5 | — | — | — | — | — |
| — | — | — | — |
80 | 16 | 15 | 15 | 14 | 13 | 13 | 13 | 12 | 12 | — | — | — | — | — | — | — | — |
(90) | 18 | 17 | 16 | 16 | 15 | 15 | 14 | 14 | 14 | — | — | — | — | — | — | — | — |
100 | 20 | 19 | 18 | 18 | 17 | 16 | 16 | 16 | 15 | 15 | 15 | — | — | — | — | — | — |
(112) | 22 | 21 | 20 | 20 | 19 | 18 | 18 | 17 | 17 | 17 | 17 | — | — | — | — | — | — |
125 | 25 | 24 | 22 | 22 | 21 | 20 | 20 | 19 | 19 | 19 | 19 | 19 | 18 | — | — | — | — |
(140) | 28 | 26 | 26 | 24 | 24 | 22 | 22 | 22 | 21 | 21 | 21 | 21 | 21 | 20 | — | — | — |
160 | 32 | 30 | 30 | 28 | 28 | 26 | 25 | 25 | 25 | 24 | 24 | 24 | 24 | 24 | 24 | 24 | 24 |
(180) | 36 | 34 | 32 | 32 | 30 | 30 | 28 | 28 | 28 | 28 | 26 | 26 | 26 | 26 | 26 | 26 | 26 |
200 | 40 | 38 | 38 | 34 | 34 | 32 | 32 | 32 | 30 | 30 | 30 | 30 | 30 | 30 | 30 | 30 | 28 |
(225) | 45 | 42 | 42 | 40 | 38 | 36 | 36 | 36 | 34 | 34 | 34 | 34 | 32 | 32 | 32 | 32 | 32 |
250 | 50 | 48 | 45 | 45 | 42 | 40 | 40 | 40 | 38 | 38 | 38 | 38 | 36 | 36 | 36 | 36 | 36 |
280 | 55 | 52 | 52 | 50 | 48 | 45 | 45 | 45 | 42 | 42 | 42 | 42 | 42 | 40 | 40 | 40 | 40 |
315 | 65 | 60 | 60 | .55 | 52 | 52 | 50 | 50 | 48 | 48 | 48 | 48 | 45 | 45 | 45 | 45 | 45 |
355 | 70 | 70 | 65 | 63 | 60 | 60 | 55 | 55 | 55 | 55 | 55 | 52 | 52 | 52 | 52 | 52 | 52 |
400 | 80 | 75 | 75 | 70 | 70 | 65 | 63 | 63 | 60 | 60 | 60 | 60 | 60 | 60 | 60 | 60 | 60 |
450 | 90 | 85 | 80 | 80 | 75 | 75 | 70 | 70 | 70 | 70 | 65 | 65 | 65 | 65 | 65 | 65 | 65 |
500 | 100 | 95 | 90 | 90 | 85 | 80 | 80 | 80 | 75 | 75 | 75 | 75 | 75 | 75 | 75 | 70 | 70 |
560 | ГОСТ 12289 – 76 предусматривает de2 до 1600мм | 90 | 90 | 90 | 85 | 85 | 85 | 85 | 80 | 80 | 80 | 80 | 80 | ||||
630 | 100 | 100 | 100 | 95 | 95 | 95 | 95 | 90 | 90 | 90 | 90 | 90 | |||||
710 | 120 | 110 | 110 | 110 | 110 | 105 | 105 | 105 | 105 | 105 | 105 | 100 | |||||
800 | 130 | 130 | 125 | 125 | 120 | 120 | 120 | 120 | 120 | 120 | 120 | 120 | |||||
900 | — | — | 140 | 140 | 140 | 130 | 130 | 130 | 130 | 130 | 130 | 130 | |||||
1000 | — | — | 160 | 150 | 150 | 150 | 150 | 150 | 150 | 150 | 140 | 140 | |||||
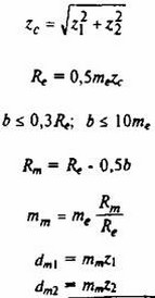
70. Формулы и пример расчета конической передачи с прямыми зубьями без смещения
Линейные размеры, мм

Параметры и обозначения | Расчетные формулы и указания | Численные значения | |
Исходные данные | Число зубьев z1 z2 | Задаются или выбираются в соответствии с расчетом зубьев на прочность, требованием кинематики и по конструктивным соображениям | 18 20 |
Внешний окружноймодуль mе | Определяют из расчета на прочность (при нарезании на зубострогальных станках модули могут выбираться нестандартными и дробными) | 5 | |
Межосевой угол передачи Σ Внешний торцовый исходный контур | По конструктивным соображениям По ГОСТ 13754-81 | 90° — | |
Число зубьев плоского колеса zc Внешнее конусное расстояниеRe Ширина зубчатого венца b Среднее конусное расстояние Rm Средний окружной модуль mm Средний делительный диаметр dm |
| 26,9072 67,268 20 57,268 4,2567 77,6206 85,1340 | |
Угол делительного конуса δ | tgδ1 = z1/z2 | 41°59' | |
δ2= 90° - δ1 | 48°01' | ||
sinδ1 = cosδ2 | 0,66891 | ||
cosδ1= sinδ2 | 0,74334 | ||
Передаточное число u | u = z2/z1 при u < 2,5 не изменяется толщина зуба исходного контура | 1,1111 | |
Внешняя высота головки зуба hae | haeпри h* = l | 5 | |
Внешняя высота ножки зуба hfе | hfe = hae + 0,2me | 6 | |
Внешняя высота зуба he | he = hae + hfe | 11,0 | |
Внешняя окружная толщина зуба se | se= 0,5πme | 7,85 | |
Угол ножки зуба θf | tgθf = hf/Re; | tgθf= 0,0893; θf= 5°06' | |
Угол головки зуба θа | θa = θf | 5°06' | |
Угол конуса вершин δа | δa1 = δ1 + θa δa2 = δ2 + θa | 47°05' 53°07' | |
Угол конуса впадин δf | δf1 = δ1 - θf δaf2 = δ2 - θf | 36°53' 42°55' | |
Внешний делительный диаметр de | de1= mez1 de2= mez2 | 90 100 | |
Внешний диаметр вершин зубьев dae | dae1 = de1 + 2haecosδ1 dae2 = de2 + 2haecosδ2 | 97,4334 106,6891 | |
Расстояние от вершины до плоскости внешней окружности вершин зубьев В | B1 = 0,5de2 - haesinδ1 B2 = 0,5de1 - haesinδ2 | 56,6555 41,2833 | |
Внешняя постоянная хордазуба |
| 6,9315 | |
Высота до внешней постоянной хорды |
| 3,7385 | |
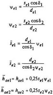
Половина внешней угловой толщины ψе, рад* |
| 0,0648 рад или 3°42'45" 0,0525 рад или 3°00'29'' | |
Внешняя делительная толщина зуба по хорде |
| 7,8340 7,0496 | |
Высота до внешней делительной хорды зуба haе |
| 5,1272 5,1030 | |
*1 рад = 57°17'44''
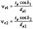
71. Формулы и пример расчета ортогональной конической передачи с прямыми зубьями при стандартном исходном контуре со смещением
Линейные размеры, мм
Параметры и обозначения | Формулы и указания | Численные значения | |
Исходные данные | Число зубьев z1 z2 | — | 15 30 |
Внешний окружноймодуль mе | — | 5 | |
Внешний торцовыйисходный контур | По ГОСТ 13754-81 | — | |
Число зубьев плоского колеса zc Внешнее конусное расстояние Re Ширина зубчатого венца b Среднее конусное расстояние Rm Средний окружной модуль mm Внутренний окружной модуль mt Средний делительный диаметр dm Угол делительного конуса δ Передаточное число u |
| 33,5410 83,8525 25 71,3525 4,2546 3,5093 63,8190 127,6380 26°34' 63°26' 0,44724 0,89441 2 | |
Коэффициент смещения у шестерни x1 Коэффициент изменения толщины зуба шестерни хτ1 Внешняя высота головки зуба hae Внешняя высота ножки зуба hfe Внешняя высота зуба he Внешняя окружная толщина se |
| 0,40 0(так как u < 2,5) 7,0000 3,0000 4,0000 8,0000 11,0000 11,0000 9,3096 6,3979 | |
Угол ножки зуба θf | tgθf1 = hfe1 / Re | tgθf1= 0,04770 θf1 = 2°44" | |
tgθf2 = hfe2 / Re | tgθf1== 0,09540 θf1= 5°27' | ||
Угол головки зуба 60 Угол конуса вершин δa Угол конуса впадин δf Внешний делительный диаметр de Внешний диаметр вершин зубьев dae Расстояние от вершины до плоскости внешней окружности вершин зубьев В |
| 5°27' 2°44' 32°0Г 66° 10' 23°50' 57°59' 75,0000 150,0000 87,5217 152,6834 71,8693 34,8168 | |
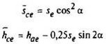
Расчет внешней постоянной хорды и высоты до нее (при х1 ≥ 0,4) | |||
Внешняя постоянная хорды зуба Высота до внешней постоянной хорды |
| 8,2206 5,6496 5,5039 1,9718 | |
Расчет внешней делительной толщины зуба по хорде и высоты до нее (при х1 ≤ 0,4) | |||
Половина внешней угловой толщины зуба ψ Внешняя делительная толщина зуба по хорде Высота до внешней делительной хорды зуба |
| 0,11102 0,01907 9 2986 6,3422 7,2584 3,0305 | |
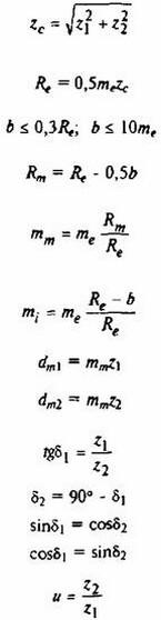
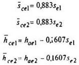
72. Дополнительный расчет
Данный расчет приводится в дополнение к табл. 71 в части расчета внешней постоянной хорды, высоты до нее и расчета внешней делительной толщины зуба по хорде и высоты до нее и расчета внешней делительной толщины зуба по хорде и высоты до нее для более общих случаев.
Параметры и обозначения | Формулы и указания |
Расчет внешней постоянной хорды зуба и высоты до постоянной хорды* | |
Внешняя постоянная хорда зуба Высота до внешней постоянной хорды зуба |
|
Расчет внешней делительной толщины зуба по хорде и высоты до хорды | |
Половина внешней угловой толщины зуба ψе, рад Внешняя делительная толщина зуба по хорде Высота до внешней делительной хорды зуба |
|
* Метод измерения рекомендуется для шестерни при любом значении х1, а для колеса при x1 ≤ 0,4.
ГОСТ 19624—74 предусматривает расчет конической передачи с прямыми зубьями при межосевом угле Σ ≠ 90°, а также при параметрах исходного контура, отличных от установленных ГОСТ 13754-81.

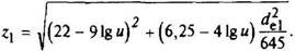
Рис. 30. Номограмма определения рекомендуемого числа зубьев шестерни (a=20°; Σ=90°):

Пример. Дано de1 = 300мм, u = 4. По номограмме определяют z1 = 28
Основные параметры. Ширины зубчатых колес в зависимости от номинального внешнего делительного диаметра колеса и передаточных чисел приведены в табл. 69. Эти данные распространяются на ортогональные конические передачи и являются стандартными (обязательными) для редукторов и рекомендуемыми для встроенных передач.
При отсутствии дополнительных указаний везде, где упоминается профиль зуба, имеется в виду внешний торцовый профиль.























