0 руб
Оформить заказ(по ГОСТ 24848.3-81)
Стандарт устанавливает расчет передач и передаваемые мощности для клиновых вариаторных ремней промышленного оборудования по ГОСТ 24848.1-81 и ГОСТ 24848.2-81.
Схема и основные параметры передачи с вариаторным ремнем приведены на рис. 16.
Для вариаторов с регулируемым межосевым расстоянием: х - увеличение межосевого расстояния для натяжения ремня, у - уменьшение межосевого расстояния для свободного надевания ремня.

Рис. 16
dp1min и dр1 max- минимальный и максимальный расчетные диаметры ведущего шкива;
dp2min и dр2 max - минимальный и максимальный расчетные диаметры ведомого шкива;
β - угол обхвата шкива; а - межосевое расстояние
Положение ремня при максимальной скорости ведомого шкива vmaxобозначено сплошной линией; положение ремня при минимальной скорости ведомого шкива τmin - штриховой линией.
Геометрические параметры вариаторов приведены в табл. 57.
Расчет мощности вариатора проводят при минимальной и максимальной скоростях ремня, при максимальной передаваемой мощности, при максимальной окружной силе.
Расчетную мощность вариатора N1, кВт, передаваемую одним ремнем в условиях эксплуатации, вычисляют по формуле

где N0 - номинальная мощность, передаваемая одним ремнем при скорости v=20м/с, угле обхвата шкива β=180° и спокойном режиме работы (табл. 58);
K1 - коэффициент, учитывающий влияние угла обхвата шкива на минимальном диаметре (табл. 59);
К2 - коэффициент, учитывающий скорость ремня (табл. 60);
К3 - коэффициент, учитывающий характер нагрузки и режим работы (табл. 61);
К4 - коэффициент, учитывающий конструктивную схему вариатора (табл. 62).
Угол обхвата ремнем шкива с минимальным расчетным диаметром вычисляют по формулам:

или

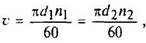
Окружная скорость ремня v, м/с,

где d1 и d2 - расчетные диаметры ведущего и ведомого шкивов, м;
n1 и n2 - частота вращения ведущего и ведомого шкивов, мин-1.
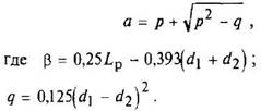
Межосевое расстояние а, мм,

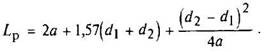
Расчетную длину ремней определяют по формуле

Для компенсации возможных отклонений от номинала по длине ремня и вытяжки его в процессе эксплуатации должна быть предусмотрена регулировка межосевого расстояния или уменьшение рабочего диапазона регулирования против теоретического из расчета увеличения номинальной расчетной длины ремня на 6%.
Примечание. В зависимости от условий эксплуатации по согласованию потребителя с изготовителем допускается предусматривать компенсацию вытяжки ремня из расчета увеличения расчетной длины на величину менее 6%, но не менее чем 3,5%.
57. Геометрические параметры, вариаторов основных групп
Размеры, мм
Обозначение сечения ремня | Ремень зубчатый с φ=26°, группа А | Ремень зубчатый с φ=28°, группа Б | Ремень гладкий с φ=28°, группа В | |||||||||
dp min | dрmax | dрmax/dрmin | Д* | dp min | dрmax | dрmax/dрmin | Д* | dp min | dрmax | dрmax/dрmin | Д* | |
1-B16 | 28 | 81 | 2,9 | 8,0 | — | — | — | — | — | — | — | — |
1-B20 | 36 | 104 | 2,9 | 8,4 | — | — | — | — | — | — | — | — |
1-B25 | 45 | 132 | 2,9 | 8,6 | 67 | 146 | 2,2 | 4,8 | 95 | 174 | 1,8 | 3,3 |
1-В32 | 56 | 168 | 3 | 9 | 85 | 188 | 2,2 | 4,9 | 120 | 220 | 1,8 | 3,3 |
1-В40 | 71 | 212 | 3 | 9 | 106 | 235 | 2,2 | 4,9 | 160 | 288 | 1,8 | 3,2 |
1-В50 | 90 | 268 | 3 | 9 | 135 | 300 | 2,2 | 4,9 | 200 | 365 | 1,8 | 3,3 |
1-В63 | N2 | 340 | 3 | 9 | 170 | 378 | 2,2 | 4,9 | 270 | 480 | 1,8 | 3,2 |
1-В80 | — | — | — | — | 212 | 475 | 2,2 | 5 | 320 | 580 | 1,8 | 3,2 |
СВ-25 | 84 | 152 | 1,8 | 3,3 | 106 | 166 | 1,6 | 2,5 | 150 | 210 | 1,4 | 2 |
СВ-32 | 106 | 198 | 1,9 | 3,5 | 130 | 212 | 1,6 | 2,6 | 200 | 280 | 1,4 | 2 |
СВ-38 | 126 | 236 | 1,9 | 3,5 | 160 | 260 | 1,6 | 2,6 | 230 | 330 | 1,4 | 2 |
СВ-45 | 148 | 280 | 1,9 | 3,5 | 180 | 300 | 1,6 | 2,6 | 270 | 390 | 1,4 | 2,1 |
СВ-50 | 170 | 320 | 1,9 | 3,5 | 212 | 345 | 1,6 | 2,6 | 310 | 445 | 1,4 | 2 |
*φ - угол клина шкива; Д - диапазон регулирования симметричного вариатора; dp min, dp max- минимальные и максимальные расчетные диаметры шкивов.
58. Номинальная мощность N0, передаваемая одним ремнем
Обозначение сечения ремня | Широкий диапазон регулирования вариаторов | Средний диапазон регулирования вариаторов | Низкий диапазон регулирования вариаторов | |||
Ремни зубчатые | Ремни без зубьев | |||||
dp min, мм | N0, кВт | dp min, мм | N0, кВт | dp min, мм | N0, кВт | |
1-В16 | 28 | 0,54 | — | — | — | — |
1-В20 | 36 | 0,75 | — | — | — | — |
1-В25 | 45 | 1,35 | 67 | 1,9 | 95 | 2,9 |
1-В32 | 56 | 2,25 | 85 | 3,1 | 120 | 4,6 |
1-В40 | 71 | 3,60 | L06 | 5,2 | 160 | 7,8 |
1-В50 | 90 | 6,00 | 135 | 9,0 | 200 | 13,5 |
1-В63 | 112 | 9,00 | 170 | 13,5 | 270 | 20,0 |
1-B80 | — | — | 212 | 20,0 | 320 | 30,0 |
Примечания:
1. При увеличении минимальных диаметров обоих шкивов мощность N0 увеличивается пропорционально отношению принятых диаметров к минимальным.
2. При увеличении диаметра нерегулируемого шкива для вариаторов с одним регулируемым шкивом мощность N0 увеличивается пропорционально увеличению диаметра по отношению к минимальному диаметру, но не более чем на 25%.
59. Коэффициент К1 в зависимости от угла обхвата
β | 180° | 170° | 160° | 150° | 140° | 130° | 120° | 110° | 100° | 90° | 80° | 70° |
K1 | 1,0 | 0,98 | 0,95 | 0,92 | 0,89 | 0,86 | 0,82 | 0,78 | 0,73 | 0,68 | 0,62 | 0,56 |
Примечание. При промежуточных значениях угла обхвата коэффициент К1 рассчитывают методом линейной интерполяции.
60. Коэффициент К2 в зависимости от скорости
v, м/с | 5 | 10 | 15 | 20 | 25 | 30 | 35- |
К2 | 0,30 | 0,60 | 0,85 | 1,00 | 1,10 | 1,05 | 0,9 |
Примечание. При промежуточных значениях скорости коэффициент K2 рассчитывают методом линейной интерполяции.
* Допускается для сельскохозяйственных машин
61. Значения коэффициента K3, характера нагрузки и режима работы для промышленных установок
Режим работы:тип машины | Характер нагрузки | Электродвигатель переменного тока общепромышленного применения, электродвигатель постоянного тока шунтовой, турбины | Электродвигатель постоянного тока компаундный, двигатель внутреннего сгорания с частотой вращения свыше 600мин-1 | Электродвигатель переменного тока с повышенным пусковым моментом; электродвигатель постоянного тока сериесный; двигатель внутреннего сгорания с частотой вращения ниже 600мин-1 |
| |||||||
Число смен работы ремней |
| |||||||||||
1 | 2 | 3 | 1 | 2 | 3 | 1 | 2 | 3 | ||||
Легкий режим. Станки с непрерывным процессом резания: токарные, сверлильные, шлифовальные, легкие вентиляторы, насосы и компрессоры центробежные и ротационные, ленточные конвейеры, веялки, сепараторы, легкие грохоты, машины для очистки и погрузки зерна и др. | Спокойная. Максимальная кратковременная нагрузка до 120% номинальной | 1,0 | 1,1 | 1,4 | 1,1 | 1,2 | 1,5 | 1,2 | 1,4 | 1,6 | ||
Средний резжим. Станки фрезерные, зубофрезерные и револьверные; полиграфические машины; электрические генераторы, поршневые насосы и компрессоры с тремя и более цилиндрами; вентиляторы и воздуходувки, цепные конвейеры, элеваторы, дисковые пилы для дерева, трансмиссии; прядильные, бумажные, пищевые машины; тяжелые грохоты; вращающиеся печи и др. | Умеренные колебания нагрузки. Максимальная кратковременная нагрузка до 150% номинальной | 1,1 | 1,2 | 1,5 | 1,2 | 1,4 | 1,6 | 1,3 | 1,5 | 1,7 | ||
Тяжелый режим. Станки строгальные, долбежные, зубодолбежные и деревообрабатывающие; насосы и компрессоры поршневые с одним или двумя цилиндрами; вентиляторы и воздуходувки тяжелого типа, конвейеры винтовые, скребковые, дезинтеграторы; прессы винтовые эксцентриковые с относительно тяжелым маховиком; ткацкие машины, хлопкоочистительные машины, машины для прессования и брикетирования кормов и др. | Значительные колебания нагрузки. Максимальная кратковременная нагрузка до 200% номинальной | 1,2 | 1,3 | 1,6 | 1,3 | 1,5 | 1,7 | 1,4 | 1,6 | 1,9 | ||
Очень тяжелый режим. Подъемники, экскаваторы, драги; прессы винтовые и эксцентриковые с относительно легким маховиком; ножницы, молоты, бегуны, глиномялки; мельницы шаровые, жерновые, вальцовые; дробилки, лесопильные рамы и др. | Ударная и резконеравномерная нагрузка. Максимальная кратковременная нагрузка до 300% номинальной | 1,3 | 1,5 | 1,7 | 1,4 | 1,6 | 1,8 | 1,5 | 1,7 | 2,0 | ||
62. Коэффициент K4, учитывающий конструктивную схему вариатора
Симметричное регулирование обоих шкивов | Несимметричное регулирование обоих шкивов | Один регулируемый шкив с ведущим шкивом постоянного диаметра | Один регулируемый шкив с ведомым шкивом постоянного диаметра |
1,0 | 1,1 | 0,9 | 0,8 |
Примечание. Для вариатора с двухступенчатым регулированием коэффициент выбирают отдельно для каждой ступени.