0 руб
Оформить заказНапряжения возникают после приложения рабочей нагрузки. Ненапряженные болты работают только на растяжение или сжатие.
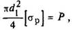
Условие прочности болта

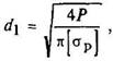
откуда

где Р - сила, действующая вдоль оси болта, Н; d1 - внутренний диаметр резьбы, мм; [σр] - допускаемое напряжение при растяжении (сжатии), МПа.
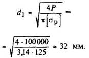
Пример. Определить диаметр нарезанной части хвостовика грузового крюка (рис. 2) для силы Р = 100000Н. Гайку заворачивают, но не затягивают

Принимаем резьбу с наружным диаметром d = M36.
Величина [σр] взята для стали 35 по IIслучаю нагрузки (см. т. 1, гл. 1).

Рис. 1

Рис. 2