0 руб
Оформить заказГОСТ 591—69 (в ред. .) устанавливает два профиля зубьев звездочек: без смещения центров дуг впадин; со смещением центров дуг впадин

Профиль зубьев со смещением1 центров дуг впадин
Параметры | Расчетные формулы | |||||
Шаг цепи t Диаметр элемента зацепления цепей Du: втулочных Du=d2 роликовых Du=d3 | Размеры по стандартам на цепи по ГОСТ 13568—75 и ГОСТ 21834-76 | |||||
Геометрическая характеристика зацепления λ | λ = t/Du | |||||
Число зубьев звездочки z | — | |||||
Диаметр делительной окружности dd |
| |||||
Диаметр делительной окружности выступов De |
| |||||
Коэффициент высоты зуба К | λ | св. 1,40 до 1.50 | св. 1,50 до 1,60 | св. 1,60 до 1.70 | св. 1,70 до 1,80 | св. 1,80 до 2.00 |
К | 0,480 | 0,532 | 0,555 | 0,575 | 0.565 | |
Диаметр окружности впадин Di |
| |||||
Наибольшая хорда (для контроля звездочек с нечетным числом зубьев) Lx |
| |||||
Радиус впадин r |
| |||||
Радиус сопряжения r1 |
| |||||
Радиус головки зуба r2 |
| |||||
Половина угла впадины а | a = 55º - 60°/z | |||||
Угол сопряжения β | β = 18º - 56°/z | |||||
Половина угла зуба φ |
| |||||
Прямой участок профиля FC |
| |||||
Расстояние от центра дуги впадины до центра дуги головки зуба ОО2 | ОО2 = 1,24DЦ | |||||
Смешение центров дуг впадин е | е = 0,03t | |||||
Координаты точки О1 | х1 = 0,8Dцsinа у1 = 0,8Dцcosа | |||||
Координаты точки O2 |
| |||||
1 Для зубьев, образуемых без смешения центров дут впадин, е=0,

ГОСТ 591—69 устанавливает профиль зубьев звездочек для цепей с геометрической характеристикой λ ≤ 2.
Диаметр окружности выступов Dе вычисляют с точностью до 0,1мм; остальные линейные размеры — до 0,01мм, а угловые — до 1'.
Для определения диаметров ddи Dе следует пользоваться табл. 14.
12. Значения величин для расчета и построения профиля зубьев звездочек
Обозначение цепей по ГОСТ 13568-75 | r | r1 | OO2 | е | Обозначение цепей по ГОСТ 13568-75 | r | r1 | OO2 | е |
ПР-8-460 ПР-9,525-910 | 2,56 3,24 | 6,56 8,32 | 6,20 7,87 | 0,24 0,29 | ПР-25,4-6000 | 8,03 | 20,73 | 19,69 | 0,76 |
ПВ-9.525-1150 | 2,56 | 6,56 | 6,20 | 0,29 | ПРА-25,4-6000 2ПР-25,4—N400 | 8,03 | 20,73 | 19,69 | 0,76 |
ПВ-9,525-1300 2ПВ-9,525-2000 | 3,07 | 7,87 | 7,44 | 0,29 | ПР-31,75-8900 ПРА-31,75-8900 2ПР-31,75-17700 | 9,62 | 24,86 | 23,62 | 0,95 |
ПР-12,7-1000-1 ПР-12,7- 900-2 | 3,94 | 10,14 | 9,61 | 0,38 | ПРА-38,1-12700 ПР-38,1-12700 2ПР-38,1-25400 | 11,22 | 29 | 27,57 | 1,14 |
ПР-12,7-1820-1 ПР-12,7-1820-2 2ПР-12,7-3180 | 4,33 | 11,13 | 10,55 | 0,38 | ПР-44,45-17240 ПРА-44,45-17240 2ПР-44,45-34480 | 12,81 | 33,13 | 31,5 | 1,33 |
ПР-15,875-2300-1 ПР-15,875-2310-2 2ПР-15,875-4540 | 5,16 | 13,28 | 12,6 | 0,48 | ПР-50,8-22700 ПРА-50,8-22700 2ПР-50,8-45360 | 14,41 | 37,28 | 35,44 | 1,52 |
ПР-19,05-3180 2ПР-19,05-6400 | 6,03 | 15,56 | 14,77 | 0,57 | ПР-63,5-35400 | 20,05 | 51,89 | 49,35 | 1,90 |
Табличные значения dd, De ,Di, Dc, Lx, r2, x1, y1 в зависимости от z и типов цепей даны в приложении к ГОСТ 591-69.
Расчет и построение основных размеров зубьев и венцов однорядной, двухрядной и многорядной звездочки в поперечном сечении следует выполнять в соответствии с табл. 13.
13. Зубья и венец звездочки в поперечном сечении

Параметр | Расчетная формула | |
1. Диаметр элемента зацепления цепей Dц: втулочных Dц = d2 роликовых Dц = d3 | Размеры выбирают по ГОСТ 13568-75 и ГОСТ 21834-76 | |
2. Ширина пластины цепи (наибольшая) h | ||
3. Расстояние между внутренними пластинами цепи b3 | ||
4. Расстояние между осями цепи А | ||
5. Радиус закругления зуба (наименьший) r3 | r3 = 1,7Dц | |
6. Расстояние от вершины зуба до линии центров дуг закруглений h3 | h3 = 0,8Dц | |
7. Диаметр обода (наибольший) Dc* |
| |
8. Радиус закругления r4 | при шаге ≤35мм | r4 = 1,6мм |
при шаге t > 35мм | r4 = 2,5мм | |
9. Ширина зуба звездочки | однорядной b1 | b1 = 0,93 b3-0,15, мм |
двухрядной и трехрядной b2 | b2= 0,90 b3-0,15, мм | |
многорядной bn | bn=0,86 b3-0,30, мм | |
10. Ширина венца многорядной звездочки Вn | Вn=(n-1)А + bn | |
При dd < 150мм допускается Dc = ttg(180º/z) - 1,2h.
Размеры зуба и венца звездочки в поперечном сечении вычисляют с точностью до 0,1мм; для варианта а допускается округление величины b1 до 1мм в меньшую сторону. Размер Dc округляют до 1мм.
Для определения диаметра Dc пользоваться табл. 14.
14. Значение cosec(180º/zи ctg(180º/z) в зависимости от z
z | cosec(180º/z) | ctg(180º/z) | z | cosec(180º/z) | ctg(180º/z) | z | cosec(180º/z) | ctg(180º/z) |
7 | 2,3048 | 2,0765 | 33 | 10,5203 | 10,4727 | 59 | 18,7893 | 18,7626 |
8 | 2,6131 | 2,4142 | 34 | 10,8379 | 10,7916 | 60 | 19,1073 | 19,0811 |
9 | 2,9238 | 2,7475 | 35 | 11.1560 | 11,1111 | 61 | 19,4245 | 19,3996 |
10 | 3,2361 | 3,0777 | 36 | 11,4737 | 11,4301 | 62 | 19,7420 | 19,7176 |
11 | 3,5495 | 3,4057 | 37 | 11,7913 | 11,7488 | 63 | 20,0613 | 20,0363 |
12 | 3,8637 | 3,7321 | 38 | 12,1093 | 12,0679 | 64 | 20,3800 | 20,3555 |
13 | 4,1786 | 4,0572 | 39 | 12,4278 | 12,3875 | 65 | 20,6987 | 20,6745 |
14 | 4,4939 | 4,3813 | 40 | 12,7455 | 12,7062 | 66 | 21,0168 | 20,9930 |
15 | 4,8097 | 4,7046 | 41 | 13,0639 | 13,0251 | 67 | 21,3338 | 21,3103 |
16 | 5,1258 | 5,0273 | 42 | 13,3820 | 13,3446 | 68 | 21,6537 | 21,6306 |
17 | 5,4423 | 5,3496 | 43 | 13,6993 | 13,6628 | 69 | 21,9717 | 21,9489 |
18 | 5,7588 | 5,6713 | 44 | 14,0178 | 13,9821 | 70 | 22,2895 | 22,2671 |
19 | 6,0756 | 5,9927 | 45 | 14,3356 | 14,3007 | 71 | 22,6068 | 22,5847 |
20 | 6,3925 | 6,3137 | 46 | 14,6536 | 14,6194 | 72 | 22,9256 | 22,9038 |
21 | 6,7095 | 6,6346 | 47 | 14.9720 | 14,9385 | 73 | 23,2431 | 23,2215, |
22 | 7,0266 | 6,9550 | 48 | 15,2898 | 15,2571 | 74 | 23,5614 | 23,5401 |
23 | 7,3439 | 7,2755 | 49 | 15,6085 | 15,5764 | 75 | 23,8802 | 23,8593 |
24 | 7,6613 | 7,5958 | 50 | 15,9260 | 15,8945 | 80 | 25,4713 | 25.4517 |
25 | 7,9787 | 7,9158 | 51 | 16.2439 | 16,2121 | 85 | 27,0626 | 27,0442 |
26 | 8,2963 | 8,2358 | 52 | 16,5516 | 16,5314 | 90 | 28,6537 | 28,6363 |
27 | 8,6138 | 8,5555 | 53 | 16,8809 | 16,8512 | 95 | 30,2452 | 30,2287 |
28 | 9,9319 | 8,8742 | 54 | 17,1984 | 17,1693 | 100 | 31,8362 | 31.8205 |
29 | 9,2490 | 9.1948 | 55 | 17,5163 | 17,4877 | 112 | 35,6536 | 35,6306 |
30 | 9,5668 | 9,5144 | 56 | 17,8354 | 17,8073 | 125 | 39,7929 | 39,7804 |
31 | 9,8846 | 9.8339 | 57 | 18.1535 | 18,1260 | |||
32 | 10,2023 | 10,1532 | 58 | 18.4717 | 18.4446 | |||
Размеры зубьев и венцов звездочек для
— приведены в табл. 16.
Допуски. ГОСТ 591—69 устанавливает три группы точности размеров зубьев и венцов звездочек. Предельные отклонения размеров зубьев и венцов звездочек по группам точности должны соответствовать приведенным в табл. 15.
Параметр шероховатости поверхности зубьев Ra следует принимать в зависимости от окружающей скорости до 8м/с не более 6.3мкм, свыше 8м/с — не более 3,2мкм.
Предельные отклонения диаметра отверстия ступицы звездочки следует принимать не ниже Н8.
15. Предельные отклонения и допуски на размеры зубьев и венцов звездочек
Параметры | Группы Точности | ||||||||||||||||||
А | В | С | |||||||||||||||||
Отклонения и допуски, мкм, при диаметре звездочки, мм | |||||||||||||||||||
До 120 | Св. 120 до 260 | Св. 260 до 500 | Св. 500 до 800 | Св. 800 до 1250 | Св. 1250 | До 120 | Св. 120 до 260 | Св. 260 до 500 | Св. 500 до 800 | Св. 800 до 1250 | Св. 1250 | До 120 | Св. 120 до 260 | Св. 260 до 500 | Св. 500 до 800 | Св. 800 до 1250 | Св. 1250 | ||
Разность шагов Δt(одной звездочки) при шаге t, мм | До 20 | 25 | 32 | 40 | 50 | 60 | — | 60 | 80 | 100 | 120 | 160 | — | 160 | 200 | 250 | 320 | 400 | — |
Св. 20и 35 | 32 | 40 | 50 | 60 | 80 | — | 80 | 100 | 120 | 160 | 200 | — | 200 | 250 | 320 | 400 | 500 | — | |
Св.35 до 55 | 40 | 50 | 60 | 80 | 100 | 120 | 100 | 120 | 160 | 200 | 250 | 320 | 250 | 320 | 400 | 500 | 630 | 800 | |
Св. 55 | — | 60 | 80 | 100 | 120 | 160 | — | 160 | 200 | 250 | 320 | 400 | — | 400 | 500 | 630 | 800 | 1000 | |
Диаметр окружности выступов De | h11 | h12 | h14 | -2000 | -2400 | -3000 | |||||||||||||
Диаметр окружности впадин Diи наибольшая хорда Lx | h10 | h11 | h12 | ||||||||||||||||
Диаметр впадин зуба2r | h10 | h11 | h12 | ||||||||||||||||
Ширина b1, b2 и b11 зуба и В2, B3, В11 венца * | h11 | h12 | h14 | ||||||||||||||||
Радиальное биение окружности впадин и осевое биение зубчатого венца | 80 | 100 | 120 | 160 | 200 | 250 | 200 | 250 | 320 | 400 | 500 | 630 | 500 | 630 | 800 | 1000 | 1250 | 1600 | |
* Допуск для варианта а (см. рис. к табл. 13) ГОСТом не нормируется.
16. Размеры зубьев и венцов звездочек для 
Обозначение цепей по ГОСТ 13568-75 | H | r3 | r4 | m1 | m2 | B2 | Обозначение цепей по ГОСТ 13568-75 | H | r3 | r4 | m1 | m2 | B2 |
ПР-8-460 | 4,0 | 8,5 | 1,6 | 2,6 | — | __ | ПР-25,4-6000 | 12,7 | 27,0 | 1,6 | 14,6 | — | — |
ПР-9,525-910 | 5,1 | 10,8 | 5,2 | — | — | ПРА-25,4-6000 | 12,7 | 27,0 | 14,6 | — | — | ||
ПВ-9,525-1150 | 4,0 | 8,5 | 6,9 | — | — | 2ПР-25,4—11400 | 12,7 | 27,0 | — | 14,1 | 43,4 | ||
ПВ-9,525-1300 | 4,8 | 10,2 | 8,7 | — | — | ПР-31,75-8900 | 15,2 | 32,4 | 17,6 | — | — | ||
2ПВ-9.525-2000 | 4,8 | 10,2 | — | 4,5 | 15,3 | ПРА-31,75-8900 | 15,2 | 32,4 | 17,6 | — | — | ||
ПР-12,7-1000-1 | 6,2 | 13,2 | 2,1 | — | — | 2ПР-31,75-17700 | 15,2 | 32,4 | — | 17 | 52,8 | ||
ПР-12,7-900-2 | 6,2 | 13,2 | 2,9 | — | — | ПРА-38,1-12700 | 17,8 | 37,8 | 2,5 | 23,5 | — | — | |
ПР-12,7-1820-1 | 6,8 | 14,5 | 4,9 | — | — | ПР-38,1-12700 | 17,8 | 37,8 | 23,5 | — | — | ||
ПР-12,7-1820-2 | 6,8 | 14,5 | 7,1 | — | — | 2ПР-38,1-25400 | 17,8 | 37,8 | — | 22,7 | 68,2 | ||
2ПР-12,7-3180 | 6,8 | 14,5 | — | 6,8 | 20,7 | ПР-44,45-17240 | 20,3 | 43,2 | 23,5 | — | — | ||
ПР-15,875-2300-1 | 8,1 | 17,3 | 5,9 | — | — | ПРА-44,45-17240 | 20,3 | 43,2 | 23,5 | — | — | ||
ПР-15,875-2300-2 | 8,1 | 17,3 | 8,8 | — | — | 2ПР-44,45-34480 | 20,3 | 43,2 | — | 22,7 | 71,6 | ||
2ПР-15.875-4540 | 8,1 | 17,3 | — | 8,5 | 25,1 | ПР-50,8—22700 | 22,9 | 48,6 | 29,4 | — | — | ||
ПР-19,05—3180 | 9,5 | 20,2 | 11,7 | — | — | ПРА-50,8-22700 | 22,9 | 48,6 | 29,4 | — | — | ||
2ПР-19,05-6400 | 9,5 | 20,2 | — | 11,3 | 36,8 | 2ПР-50,8-45360 | 22,9 | 48,6 | — | 28,4 | 87,0 | ||
ПР-63,5-35400 | 31,7 | 67,4 | 35,3 | — | — |
17. Пример выполнения чертежа венца звездочки для приводной однорядной цепи (ГОСТ 2.408—68 в ред. 1996г.)

Число зубьев | z | 14 | |
Сопрягаемая цепь | Шаг | t | 12,7 |
Диаметр ролика | D2 | 8,51 | |
Профиль зуба по ГОСТ 591-69 | — | Безсмешения | |
Группа точности по ГОСТ 591-69 | — | С | |
Диаметр окружности впадин | Di | 48,45-0,25 | |
Допуск на разность шагов | — | 0,16 | |
Допуск радиального биения окружности впадин | — | 0,5 | |
Допуск торцового биения зубчатого венца | — | 0,5 | |
Диаметр делительной окружности | dd | 57,07 | |
Сопрягаемая цепь | Ширина внутренней пластины | h | 11,8 |
Расстояние между внутренними пластинами | BBH | 7,75 | |
18. Расчет и построение профиля дисковой фрезы для нарезания звездочек с числом зубьев z≥ 7

Профиль зуба звездочек, получаемый методом деления при нарезании дисковыми фрезами, полностью соответствует теоретическому (исходному) профилю только при расчетном числе зубьев z1 данной группы.
Линейные размеры червячных и дисковых фрез вычисляют с точностью до 0,01мм, а угловые — до 1'.
Параметры | Расчетная формула и величина | ||||||
Шаг цепи t | Размеры выбирают по ГОСТ 13568-75, ГОСТ 21834-76 | ||||||
Диаметр элемента зацепления цепей Dц: втулочных Dц = d2 роликовых Dц = d3 | |||||||
Номер группы (фрезы) | 1 | 2 | 3 | 4 | 5 | ||
Число зубьев нарезаемой звездочки z | 7-8 | 9-11 | 12-17 | 18-35 | 36 и более | ||
Расчетное число зубьев для группы z1 | 7,5 | 10 | 14 | 25 | 56 | ||
Радиус головки фрезы r | r = 0,0525Dц+ 0,05мм | ||||||
Радиус сопряжения r1 | r1 = 0,8Dц+ r = 1,3025Dц + 0,05мм | ||||||
Радиус впадины фрезы r2 | 0,711 Dц- 0,05мм | 0,698Dц - 0,05мм | 0,685Dц - 0,05мм | 0,668Dц - 0,05мм | 0,655Dц - 0,05мм | ||
Половина угла головки фрезы а | 47°00' | 49°00' | 50º43' | 52°36' | 53°56' | ||
Угол сопряжения β | 10°32' | 12°24' | 14°00' | 15º45' | 17°00' | ||
Прямой участок профиля FG | 0,036 Dц | 0,056Dц | 0,073Dц | 0,092Dц | 0,105Dц | ||
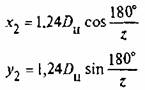
Координаты точки О1: х1 | 0,5851 Dц | 0,6038 Dц | 0,6192Dц | 0,6355Dц | 0,6466Dц | ||
у1 | 0,5456Dц | 0,5248Dц | 0,5066Dц | 0,4859Dц | 0,4710Dц | ||
Координаты точки О2: х2 | 1,1328Dц | 1,1793Dц | 1,2089Dц | 1,2302Dц | 1,2381Dц | ||
у2 | 0,5044Dц | 0,3832Dц | 0,2759Dц | 1,1554Dц | 0,0695Dц | ||
Смещение центров дуг головки фрезы е* | е = 0,03t | ||||||
Ширина фрезы В, не менее | B = 1,14t | В = 1,11t | В=1,08t | ||||
* При расчете дисковых фрез для нарезания звездочек без смешения центров дуг впадин величину е следует принимать равной нулю
19. Расчет и построение профиля инструмента для нарезания звездочек с числом зубьев z≥ 9\

Расчет и построение профиля основной рейки в нормальном сечении при изготовлении зубьев звездочки методом обкатки по диаметру делительной окружности dd даны в таблице и на рисунке. Центр дуги радиуса r3 лежит на пересечении перпендикуляра, восстановленного из середины отрезка O2C, с продолжением линии О1ВС.
Профиль зуба звездочек, получаемый методом огибания, на участке EFCK (см. рисунок к табл. 11) отклоняется от теоретического (исходного) профиля. Величина отклонения зависит от числа зубьев и не превышает в нормальном направлении к теоретическому профилю на участке EFC — 0,01t и на участке СК — 0,015t.
Шаг цепи t Диаметр элемента зацепления цепей Dц: втулочных Dц = d2, роликовых Dц = d3 | Размеры на цепь по ГОСТ 13568-75 | |
Шаг основной рейки tn | tn = 1,011t | |
Радиус вспомогательный r0: » головки зуба r » выпуклости зуба r1 | r0 = 0,5Dц r = 0,5025Dц + 0,05мм r1 = 0,5Dц + r = 1,0025Dц +0,05мм | |
Радиус впадины зуба r2 | при t >10 при t ≤ 10 | r2 = 0,03t r2 = 0,05t |
Высота ножки зуба Н1 | при t >10 при t ≤ 10 | H1=0,28t + r2=0,31t H1= 0,23t + r2= 0,28t |
Смешение центров дуг радиуса г головки зуба е* | е = 0,03t | |
Технические требования на звездочки для приводных роликовых и втулочных цепей с шагами до 25,4мм включительно. Число зубьев звездочек выбирают из следующего ряда: 9, 10, 11, 12, (13), 14, (15), 16, (17), 18, (19), 20, (22), 25, (28), 32, (36). 40, (45), 50, (56), 63, (71), 80.
Рекомендуется принимать число зубьев не менее 13; при больших скоростях и для ответственных передач принимают большие значения, но не свыше 120. При четном числе звеньев цепи следует выбирать нечетное число зубьев звездочки.
Посадочные отверстия звездочек под вал выполняют с предельными отклонениями по Н8.
Звездочки изготовляют изстали марок 40 и 45 или 40Л и 45Л, группа II.
Твердость поверхностного слоя венцов в пределах 42 ... 52HRC на глубину не менее:
1,0мм — при ширине зуба звездочки до ;
1,5мм — при ширине зуба звездочки более 3 до 6мм;
2.5мм — при ширине зуба звездочки более 6мм.
Допускается изготовление звездочек:
а) изстали марок 15 и 20 (глубина слоя цементации на венцах 1,0—1,5мм, твердость 54 ... 62HRC).
б) из чугуна не ниже марки СЧ 18 с термической обработкой (твердость венца 363 ... 429НВ при шаге до 25,4мм и окружной скорости до 2м/с.
Основные условия применения передач приводными цепями. Передаточное отношение i должно быть не более 7; при скорости цепи v≤ 3м/спри постоянстве рабочей нагрузки можно брать i≤ 10. Для цепных передач металлорежущих станков рекомендуется выбирать i из следующего ряда: 1; 1,12; 1,25; 1,4; 1,6; 1,8; 2; 2,25; 2,8; 3,15; 3,5; 4; 4,5; 5; 5,6; 6,3; 7,1.
Частота вращения звездочки, мин-1, наибольшая для втулочно-роликовых цепей, приведена в табл. 20. Она соответствует наибольшей скорости цепи v = 18м/с. При низком качестве изготовления цепи указанную в табл. 20 частоту вращения следует уменьшать на 25—30%.
Скорость набегания цепи на звездочку или средняя скорость цепи, м/с:
v= znt/(60·1000),
где z— число зубьев звездочки; n— частота вращения звездочки, мин-1; t — шаг цепи, мм.
Шаг цепи t в зависимости от частоты вращения меньшей звездочки и ее числа зубьев - следует принимать по табл. 20.
Для выбора шага можно также руководствоваться зависимостью
t= А/(30…50),
где А — межосевое расстояние, мм.
Следует стремиться к выбору меньшего шага, так как работоспособность цепной передачи с малым шагом выше, чем цепи с большим шагом.
Частота ударов звеньев цепи сильно влияет на ее работоспособность. Число ударов звена в секунду определяют по формуле
U = 4zn/(60m)
где m— число звеньев цепи.
Для проверки допустимого числа ударов для втулочно-роликовой цепи можно пользоваться табл. 21.
Среднее значение КПД цепной передачи (без учета потерь в подшипниках валов) η=0,97.
Конструкция звездочек. Звездочки диаметром свыше 200мм рекомендуется делать составными, как показано на рис. 1, при этом втулка может быть из чугуна; или сварными, как показано на рис. 2.
Положение цепной передачи. Горизонтальное или наклонное (с углом не свыше 45° к горизонту) положение цепной передачи является наиболее благоприятным. Вертикальных установок следует избегать ввиду необходимости частого регулирования провисания ветвей цепи.
Для регулирования провисания и создания нужного предварительного натяжения, а также для компенсации вытяжки цепей применяют устройства с натяжными или оттяжными звездочками или роликами. Число зубьев регулирующей звездочки рекомендуется принимать не менее числа зубьев малой звездочки передачи. Ролики, как правило, применяют при вертикальном или близком к нему расположении цепи.
Наиболее желательны для регулирования провисания передвижные опоры передачи.
20. Наибольшая допустимая частота вращения звездочки, мин-1
Число зубьев z | Шаг цепи t, мм | ||||||||
12 | 15 | 20 | 25 | 30 | 35 | 40 | 45 | 50 | |
15 | 2300 | 1900 | 1350 | 1150 | 1000 | 800 | 750 | 650 | 600 |
19 | 2400 | 2000 | 1450 | 1200 | 1050 | 850 | 800 | 700 | 650 |
23 | 2500 | 2100 | 1500 | 1250 | 1100 | 900 | 800 | 750 | 650 |
27 | 2500 | 2150 | 1550 | 1300 | 1100 | 900 | 850 | 750 | 700 |
30 | 2600 | 2200 | 1550 | 1300 | 1100 | 900 | 850 | 750 | 700 |

Рис. 1. Конструкция составной звездочки

Рис. 2 Конструкция сварной звездочки
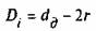
Допустимое межосевое расстояние. Наименьшее расстояние Аminопределяют в зависимости от передаточного числа i и диаметров звездочек.
При i≤ 4 можно принимать

где De1 и De2 — диаметры окружностей выступов ведущей и ведомой звездочек, мм.
Межосевое расстояние, создающее благоприятные условия работы,
А = (30…50)t
Наибольшее расстояние между осями звездочек Аmax = 80t.
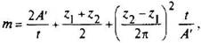
Длина цепи и межосевое расстояние. Число звеньев

где А' — межосевое расстояние, назначаемое конструктивно в пределах, указанных выше; z1 и z2 — числа звездочек.
Значение m желательно округлять до ближайшего четного числа (во избежание переходного звена).
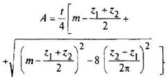
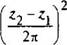
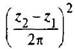
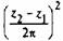
Уточненное расчетное межосевое расстояние

Значения
приведены в табл. 22.
Полученное расчетное расстояние обычно округляют в меньшую сторону на 2-5мм для обеспечения некоторого провисания цепи.
Длина цепи L = mt.
21. Допустимое число ударов для втулочной и роликовой цепи
Шаг цепи t, мм | 842,7 | 15.875 | 19,05 | 25.4 | 31,75 | 38,1 | 44,45 | 50,8 |
Наибольшее допустимое число ударов в секунду | 60 | 50 | 35 | 30 | 25 | 20 | 15 | 12 |
22. Значения
z2 – z1 |
| z2 – z1 |
| z2 – z1 |
| z2 – z1 |
| z2 – z1 |
| |
1 | 0,025 | 21 | 11,17 | 41 | 42,6 | 61 | 94,3 | 81 | 166,2 | |
2 | 0,101 | 22 | 12,26 | 42 | 44,7 | 62 | 97,4 | 82 | 170,3 | |
3 | 0,228 | 23 | 13,40 | 43 | 46,8 | 63 | 100,5 | 83 | 174,5 | |
4 | 0,405 | 24 | 14,59 | 44 | 49,0 | 64 | 103,8 | 84 | 178,7 | |
5 | 0,633 | 25 | 15,83 | 45 | 51,3 | 65 | 107,0 | 85 | 183,0 | |
6 | 0,912 | 26 | 17,12 | 46 | 53,6 | 66 | 110,3 | 86 | 187,3 | |
7 | 1,24 | 27 | 18,47 | 47 | 56,0 | 67 | 113,7 | 87 | 191,7 | |
8 | 1,62 | 28 | 19,86 | 48 | 58,4 | 68 | 117,1 | 88 | 196,2 | |
9 | 2,05 | 29 | 21,3 | 49 | 60,8 | 69 | 120,6 | 89 | 200,6 | |
10 | 2,53 | 30 | 22,8 | 50 | 63,3 | 70 | 124,1 | 90 | 205,2 | |
11 | 3,07 | 31 | 24,3 | 51 | 65,9 | 71 | 127,7 | 91 | 209,8 | |
12 | 3,65 | 32 | 25,9 | 52 | 68,5 | 72 | 131,3 | 92 | 214,4 | |
13 | 4,28 | 33 | 27,6 | 23 | 71,2 | 73 | 135,0 | 93 | 219,1 | |
14 | 4,97 | 34 | 29,3 | 24 | 73,9 | 74 | 138,7 | 94 | 223,8 | |
15 | 5,70 | 35 | 31,0 | 55 | 76,6 | 75 | 142,5 | 95 | 228,6 | |
16 | 6,49 | 36 | 32,8 | 56 | 79,4 | 76 | 146,3 | 96 | 233,4 | |
17 | 7,32 | 37 | 34,7 | 57 | 82,3 | 77 | 150,2 | 97 | 238,3 | |
18 | 8,21 | 38 | 36,6 | 58 | 85,2 | 78 | 154,1 | 98 | 243,3 | |
19 | 9,14 | 39 | 38,5 | 59 | 88,2 | 79 | 158,1 | 99 | 248,3 | |
20 | 10,13 | 40 | 40,5 | 60 | 91,2 | 80 | 162,1 | 100 | 253,3 | |











