0 руб
Оформить заказСтыковое соединение с прямым швом (рис. 21, а). Допускаемая сила для соединения при растяжении Р1 = [σ'p]/s , то же, при сжатии Р2 =[σ'сж]lS, где [σ'р] и σ'сж – допускаемые напряжения для сварного шва соответственно при растяжении и сжатии.
При расчете прочности все виды подготовки кромок в стыковых соединениях принимают равноценными.
Стыковое соединение с косым швом (рис. 21, б). Допускаемая сила для соединения при растяжении

При β = 45° соединение равнопрочно целому сечению.
Нахлесточное соединение (рис. 22). Соединения выполняют угловым швом. В зависимости от направления шва относительно направления действующих сил угловые швы называют лобовыми (рис. 22, а), фланговыми (рис. 22, б), косыми (рис. 22, в) и комбинированными (рис. ).

Рис. 21. Стыковое соединение:
а - с прямым швом; б - с косым швом

Рис. 22. Швы нахлестанных соединений:
а - лобовой; б - фланговый; в - косой; г - комбинированный
Максимальную длину лобового и косого швов не ограничивают. Длину фланговых швов следует принимать не более 60К, где К - длина катета шва. Минимальная длина углового шва 30мм; при меньшей длине дефекты в начале и в конце шва значительно снижают его прочность.
Минимальный катет углового шва Кmin принимают равным 3мм, если толщина металла s≥ 3мм.
Допускаемая сила для соединения Р1 = Р2 = 0,7[τ'ср]KL, где [τ'ср] – допускаемое напряжение для сварного шва на срез; К - катет шва; L - весь периметр угловых швов;
для лобовых швов L = l;
для фланговых L = 2l1;
для косых L = l/sinβ;
для комбинированных L = 2l1 + l.
Соединение несимметричных элементов (например, угловых профилей, рис. 23). Силы, передаваемые на швы l и 2, находят из уравнений статики:

Необходимая длина швов

где [τ'cр] - допускаемое напряжение для сварного шва на срез; К - катет шва.
Примечание. Допускается увеличение l2 до размера l1.

Рис. 23. Соединение несимметричных элементов
Тавровое соединение: а) наиболее простое в технологическом отношении (рис. 24). Допускаемая сила для растяжения
Р = [τ'cр]0,7Кl,
где [τ'cр] - допускаемое напряжение для сварного шва на срез; К - катет шва, который не должен превышать 1,2 s (s - наименьшая толщина свариваемых элементов);
б) обеспечивающее лучшую передачу сил (рис. 25). Допускаемая сила для растяжения
Pl = [σ'p]ls;
допускаемая сила для сжатия
Pl = [σ'сж]ls;
где [σ'р] и [σ'сж] - допускаемые напряжения для сварного шва при растяжении и сжатии.
Соединение с накладками. Сечение накладок, обеспечивающее равнопрочность целого сечения (рис. 26):

где F- сечение основного металла; [σр] -допускаемое напряжение при растяжении основного металла; [σ'р] - допускаемое напряжение для сварного шва при растяжении.

Рис. 25. Тавровое соединение, обеспечивающее лучшую передачу сил

Рис. 24. Наиболее простое в технологическом отношении тавровое соединение
Сечение накладки, обеспечивающее равнопрочность целого сечения (рис. 27):

где [τ'ср] - допускаемое напряжение для сварного шва на срез.
Соединения с прорезями (рис. 28) применяют лишь в случаях, когда угловые швы недостаточны для скрепления. Рекомендуется a = 2s, l = (10…25)s.
Допускаемая сила, действующая на прорезь,
P = [τ'ср]ls,
где [τ'cр] - допускаемое напряжение для сварного шва на срез.
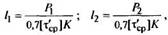
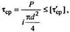
Соединение пробочное (рис. 29) применяют в изделиях, не несущих силовых нагрузок. Пробочную сварку можно применять для соединения листов толщиной ≥ 15мм. Если пробочные соединения подвергаются действию срезывающих сил, то напряжение

где d - диаметр пробки; i - число пробок в соединении.

Рис. 26

Рис. 27

Рис. 28. Соединение с прорезями

Рис. 29. Пробочное соединение

Рис. 30. Стыковое соединение под действием момента
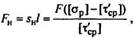
Расчет прочности соединения, на которое действует момент. При расчете прочности соединения (рис. 30), осуществленного стыковым швом, находящимся под действием изгибающего момента М и продольной силы Р, условие прочности

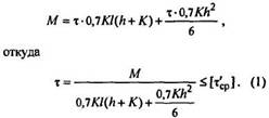
При расчете прочности соединения (рис. 31, а), осуществленного угловым швом, находящимся под действием момента М и продольной силы Р, расчетные касательные напряжения в шве

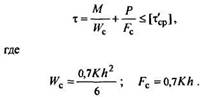
При расчете прочности соединений (рис. 31, б), состоящих из нескольких швов и работающих на изгиб, принимают (для приведенного графически случая), что момент М уравновешивается парой сил в горизонтальных швах и моментом защемления вертикального шва:

Если момент М и допускаемое напряжение τ заданы, то из полученного уравнения следует определить l и К, задавшись остальными геометрическими параметрами.

Рис. 31. Угловое соединение под действием момента и продольной силы