0 руб
Оформить заказРасчет геометрии червячной передачи по ГОСТ 19650—74 предусматривает передачи с углом скрещивания осей червяка и колеса, равным 90°, и исходным червяком по ГОСТ 19036—94. Формулы и пример расчета червячной передачи приведены в табл. 128.
128. Формулы и пример расчета цилиндрической червячной передачи
Параметры и обозначения | Формулы и указания | Числовые значения | |
Исходные данные | |||
Модуль m | 6,3мм | ||
Коэффициент диаметра червяка q | 10 | ||
Число витков червяка z1 | 2 | ||
Вид червяка | В данном примере ZL | — | |
Исходныйчервяк по ГОСТ19036-9 4 | Угол профиля ах или аn, аnT, anS, a0 | В данном примере аn | 20° |
Коэффициент высоты витка h* | 2+0,2cosγ | ||
Коэффициент высоты головки ha* | 1,0 | ||
Коэффициент расчетнойтолщины s* | 1,571 | ||
Коэффициент радиуса кривизны переходной кривой рf* | 0,3 | ||
Межосевое расстояние aw | 160мм | ||
Коэффициент смещения червяка х | — | ||
Передаточное число u | 20 | ||
Примечания: 1. Межосевое расстояние aw входит в состав исходных данных, если его значение задано.
2. Коэффициент смещения червяка х входит в состав исходных данных, если значение межосевого расстояния aw не задано.
Расчет геометрических параметров | ||
Число зубьев червячного колеса z2 | В общем случае: z2=uz1=20·2=40; округляется до ближайшего целого числа; допускается изменение величины z2, после чего уточняется окончательное значение u | Принимаем z2 = 39. Уточненное значение u = 39:2 = 19,5 |
Продолжение табл. 128
Параметры и обозначения | Формулы и указания | Числовые значения |
| |||
Коэффициент смещения червяка x | x= aw/m– 0,5(z2+q)=160/6,3-0,5(39+10) Коэффициент смещения червяка рекомендуется принимать в пределах 1 ≥ x >-1 | 0,897 |
| |||
Межосевое расстояние (если х входит в исходные данные) aw | aw = 0,5(z2+q+2x)m | — |
| |||
Расчет диаметров червяка и червячного колeca | ||||||
Делительный диаметр: червяка d1 колеса d2 | d1 = qm = 10·6,3 d2 = z2m = 39·6,3 | 63мм 245,7мм | ||||
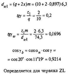
Начальный диаметр червяка dw1 Делительный угол подъема γ Начальный угол подъема γw Основной угол подъема γb |
| 74,30мм γ = 11º19' γw = 9º37' γb= 22°52' | ||||
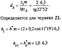
Основной диаметр червяка db Высота витка червяка h1 Высота головки витка червяка hа1 |
| 29,89мм 13,84мм 6,3мм | ||||
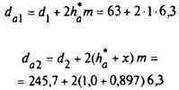
Диаметр вершин | витков червяка da1 зубьев колеса da2 |
| 75,6мм 269,6мм | |||
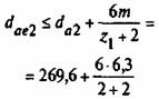
Наибольший диаметр червячного колеса dаe2 |
| 279,05мм Принимаем dae2=279мм | ||||
Расчет размеров, характеризующих форму нарезанной части червяка и венца червячного колеса | ||||||
Радиус кривизны переходной кривой червяка pf1 Длина нарезанной части червяка b1 | pf1 = pf*m = 0,3·6,3 Определяют по формулам табл. 129 b1 ≥ (12 + 0,1z2)m = (12 + 0,1 · 39)6,3 = 100,17мм | 1,9мм Принимаем для шлифованного червяка b1=125мм | ||||
Ширина венца червячного колеса b2 | Рекомендуется принимать: b2 ≤ 0,75da1 при z1 ≤ 3; b2 ≤ 0,67da1 при z1=4; В данном примере b2 = 0,75da1=0,75·75,6 | 56,7мм; принимаем b2=55мм | ||||
Расчет размеров для контроля взаимного положения профилей витков червяка | ||||||
Расчетный шаг червяка р1 Ход витка pz1 Делительная толщина по хорде виткА червяка |
| 19,792мм 39,584мм 9,71мм | ||||
Высота до хорды витка |
| 6,314мм | ||||
Диаметр измерительных роликов D | D ≥ 1,67m = 1,67·6,3 Рекомендуется принимать величину Dравной ближайшему большему значению диаметра ролика по ГОСТ 2475-88 (глава IX, табл. 38) | 10,5мм Принимаем D = 10,95мм | ||||
Размер червяка по роликам М1 |
| 79,51мм | ||||
129. Расчет длины нарезанной части червяка b1
Коэффициент смещения х | Расчетные формулы при z1, равном | |
1 и2 | 4 | |
-1,0 | b1 ≥ (10,5+z1)m | b1 ≥ (10,5 + z1)m |
-0,5 | b1 ≥ (8+0,06z2)m | b1≥ (9,5 + 0,09z2)m |
0 | b1≥(11 + 0,06z2)m | b1≥(12,5 + 0,09z2)m |
+0,5 | b1≥ (11 + 0,1z2)m | b1≥ (12,5 + 0,1z2)m |
+ 1,0 | b1≥ (12+0,1z2)m | b1≥(13 + 0,1z2)m |
Примечания:
1. При промежуточном значении коэффициента смешения х длину b1 вычисляют по ближайшему пределу х, который дает большее значение b1.
2. Для шлифуемых и фрезеруемых червяков полученную по таблице длину b1 следует увеличить:
на 25мм при m < 10мм;
на 35 — 40мм при m = 10…16мм;
на 50мм при m > 16мм.
ГОСТ 19650—74 предусматривает расчет размеров для контроля осевого профиля витка.








