0 руб
Оформить заказОсь не передает вращающего момента, а воспринимает только поперечные нагрузки. Оси рассчитывают только на изгиб.

Рис. 1. Цилиндрическая сплошная ось (вал)

Рис. 2. Цилиндрическая полая ось
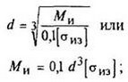
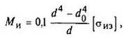
Расчетные формулы:
для цилиндрических сплошных осей (рис. 1)

для цилиндрических полых осей (рис. 2)

где Ми - изгибающий момент, Н · мм; [σиз] - допускаемое напряжение на изгиб, МПа (см. табл. 9); d и d0 - соответственно наружный и внутренний диаметры полой оси.