0 руб
Оформить заказ3. Тригонометрические зависимости
4. Тригонометрические формулы приведения
Тригонометрическая функция | -α | 90° ± α | 180° ± α | 270° ± α | 360° ± α |
sin cos tg ctg | -sinα +cosα -tgα -ctgα | +cosα ±sinα ±ctgα ±tgα | ±sinα -cosα ±tgα ±ctgα | -cosα ±sinα ±ctgα ±tgα | sin(±α) cos(±α) tg(±α) ctg(±α) |
5. Выражение одной тригонометрической функции через другую функцию того же угла
Тригонометрическаяфункция | sinα | cosα | tgα | ctgα |
sinα = | – |
|
|
|
cosα = |
| – |
|
|
tgα = |
|
| – | 1/ctgα |
ctgα = |
|
| 1/tgα | – |
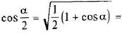
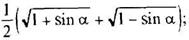
Основные тригонометрические формулы:
sin2α + cos2α = 1;
sin(α ± β) = sinαcosβ ± cosαsinβ;
cos(a ± β) = cosα cosβ ± sinα sinβ;
tg(α ± β) = (tgα ± tgβ) = (1 ± tgα tgβ);
ctg(α ± β) = (ctgα ctgβ ± 1) = (ctgβ ± ctgα);
sin2α = 2sinα cosα = 2/(ctgα + tgα);
cos2α = cos2α - sin2α = 1 - 2sin2α = 2cos2α - 1;
tg2α = 2tgα/(1 - tg2α) = 2/(ctgα – tgα);
ctg2α = (ctg2α – 1)/(2ctgα) = (1/2)(ctgα - tgα);







2sin2α = 1 – cos2α;
2cos2α = 1 + cos2α.









