0 руб
Оформить заказЗаклепки повышенной точности предназначены для ответственных соединений с повышенными требованиями к надежности.
5. Заклепки повышенной точности с полукруглой, потайной и плоской головками

* Размер обеспечивается инструментом.
** Размер для справок.
Размеры, мм
d | D | D0 | D1 | D2 | Н | H1 | Н2 | b | r | r1 | L*** |
2 | 3,6 | 4,2 | 3,8 | 3,8 | 1,2 | 1,1 | 1,0 | 0,20 | 1,95 | 0,5... 1 | 3...16 |
2,6 | 4,7 | 5,0 | 4,5 | 4,9 | 1,6 | 1,2 | 1,3 | 0,25 | 2,6 | 0,5... 1 | 4...20 |
3 | 5,4 | 5,6 | 5,1 | 5,6 | 1,8 | 1,3 | 1,5 | 0,25 | 2,9 | 0,5... 1 | 5...24 |
3,5 | 6,3 | 6,5 | 6,0 | 6,5 | 2,0 | 1,5 | 1,7 | 0,25 | 3,5 | 0,5... 1 | 6...28 |
4 | 7,1 | 7,4 | 6,9 | 7,5 | 2,3 | 1,7 | 2,0 | 0,25 | 3,9 | 0,5... 1 | 6...32 |
5 | 9,0 | 9,2 | 8,7 | 9,3 | 2,9 | 2,1 | 2,5 | 0,25 | 4,95 | 0,5... 1 | 8...40 |
6 | 10,8 | 11,0 | 10,3 | 10,8 | 3,4 | 2,5 | 3,0 | 0,35 | 6 | 1...2 | 10...40 |
7 | 12,6 | 13,0 | 12,0 | 12,6 | 4,0 | 2,9 | 3,5 | 0,40 | 6,95 | 1...2 | 12...46 |
8 | 14,4 | 14,8 | 13,7 | 14,4 | 4,6 | 3,3 | 4,0 | 0,45 | 7,95 | 1...2 | 14...50 |
10 | 18,0 | 18,4 | 17,0 | 17,7 | 5,8 | 4,1 | 5,0 | 0,60 | 9,90 | 1...2 | 18...60 |
*** Размер L в указанных пределах брать из ряда: 3; 4; 5; 6; 7; 8; 9;10; 11; 12; 13; 14; 15; 16; 17; 18; 19; 20; 22;24; 26; 28; 30; 32; 34; 36; 38; 40; 42; 44; 46; 48; 50; 52; 54; 56; 58; 60.
Примечания:
1. ГОСТ 14797-85 и 14798-85 предусматривают также d = 1...1,6мм.
2. Предельные отклонения заклепок не должны превышать, мм:
диаметр стержня
от 1 до 5 - +0,1
» 6 » 10 - +0,15
длина заклепки
от 2 до 10 - ±0,2
» 11 » 30 - ±0,3
» 32 » 60 - ±0,4
Пример обозначения заклепки диаметром 4мм, длиной 8мм, из материала группы 01 (из стали 10) без покрытия:
Заклепка 4 × 8.01 ГОСТ 14797-85
То же, из материала группы 38 (меди М2), с покрытием 07, толщиной 9мкм:
Заклепка 4 × 8.38.079 ГОСТ 14798-85
6. Диаметры отверстий под заклепки повышенной точности, размеры замыкающих головок и подбор длин заклепок по ГОСТ 14802-85
(Стандарт устанавливает размеры, необходимые при выполнении заклепочных соединений ударной или прессовой клепкой)
Размеры, мм

* Размеры для справок.
d | 1,0 | 1,4 | 1,6 | 2 | 2,6 | 3 | 3,5 | |||||
d0 (H12) | 1,1 | 1,5 | 1,7 | 2,1 | 2,7 | 3,1 | 3,6 | |||||
D | 1,5 ±0,1 | 2,1 ±0,15 | 2,4 ±0,15 | 3 ±0,20 | 3,9 ±0,25 | 4,5 ±0,3 | 5,2 ±0,3 | |||||
h, не менее | 0,4 | 0,6 | 0,7 | 0,8 | 1,1 | 1,2 | 1,4 | |||||
d | 4 | 5 | 6 | 7 | 8 | 10 | ||||||
d0 (Н12) | 4,1 | 5,1 | 6,1 | 7,1 | 8,1 | 10,1 | ||||||
D | 6 ±0,4 | 7,5 ±0,5 | 8,7 ±0,5 | 10,2 ±0,5 | 11,6 ±0,8 | 14,5 ±1,0 | ||||||
h, не менее | 1,6 | 2,0 | 2,4 | 2,8 | 3,2 | 4,0 | ||||||
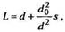
Подбор длин заклепок повышенной точности. Длина заклепок в зависимости от толщины пакета s рассчитывается по формуле

где d - номинальный диаметр заклепки;
d0 - наибольший допустимый диаметр отверстия;
s - расчетная толщина пакета.
Приближенно длины заклепок можно подбирать по номограмме, приведенной на рис. 1.
Длины заклепок по номограмме подбирать следующим образом: приложить линейку к делениям шкал (справа и слева), соответствующим толщине пакета, тогда цифры в прямоугольниках, пересекаемые линейкой, покажут нужную длину заклепки соответствующего диаметра.
Штрихпунктиром на рис. 1 показан пример выбора длины заклепки.

Рис. 1. Номограмма для подбора длин заклепок повышенной точности
Длины заклепок в зависимости от диаметра при толщине пакета s = 5,4мм приведены ниже:
Размеры, мм
d | L | d | L | d | L |
2 | 9 | 3,5 | 10 | 6 | 13 |
2,6 | 9 | 4 | 11 | 7 | 13 |
3 | 10 | 5 | 12 | 8 | 14 |
Виды термообработки и временное сопротивление срезу заклепок повышенной точности должны соответствовать указанным в табл. 7.
Заклепки из алюминиевых сплавов АМц и Д19П изготовляются без термообработки.
Заклепки из сплава марки Д19П должны подвергаться закалке перед установкой в конструкцию.
7. Технические требования к заклепкам повышенной точности по ГОСТ 14803-85
7.I. Материал и покрытия заклепок повышенной точности
Материал | Покрытие | |||||
Вид | Марка | Стандарт | Условное обозначение группы материала | Вид | Условное обозначение | |
по ГОСТ 9.306-85 | цифровое | |||||
Углеродистые стали | 10, 15 | ГОСТ 5663-79 | 01 | Без покрытия Цинковое, хроматированное Кадмиевое, хроматированное | - Ц.хр. Кд. хр. | - 01 02 |
Легированные стали | 20Г2, 30ХМА | — | 11 | Фосфатное химическое, пропитанное в масле Никелевое с подслоем меди Никелевое химическое Окисное химическое | Хим. Фос. прм МН Хим. Н Хим. Окс | 06 15 16 05 |
Коррозионно-стойкие стали | 12Х18Н9Т, 12Х18Н10Т | ГОСТ 5949-75, сортамент по ГОСТ 14955-77; ГОСТ 18907-73 | 21 | Без покрытия Медное Серебряное Окисное из кислых растворов | - М Ср Хим. Пас | - 08 12 11 |
Алюминиевые сплавы | АМг5П Д18 В65 АМц Д19П | ГОСТ 14838-78 | 31 36 41 43 42 | Без покрытия Анодно-окисное, наполненное в растворе бихромата калия Окисное химическое Анодно-окисное, наполненное в воде | - Ан. Окс. нхр Хим, Оке. Ан. Оке. нв | - 10 05 14 |
Латунь | Л63 | ГОСТ 12920-67 | 32 | Без покрытия Никелевое Оловянное Сплавом олововисмут Серебряное | - Н О О-Ви Ср | - 03 07 17 12 |
Л63АМ (антимагнитная) | 33 | |||||
Медь | М2 | ГОСТ 859-2001 | 38 | Окисное из кислых растворов | Хим. Пас | 11 |
7.II. Временное сопротивление срезу заклепок повышенной точности
Материал | Вид термообработки | Временное сопротивление срезу тср, МПа (кгс/мм2), не менее | |
Вид | Марка | ||
Сталь | 10; 15 20Г2; 30ХМА 12Х18Н9Т 12Х18Н10Т | Отпуск Закалка и отпуск Закалка | 333 (34) 490 (50) 431(44) |
Алюминиевый сплав | Д19П В65 Д18 АМг5П | Закалка и старение | 275(28)** 245 (25)* 186(19) 157(16) |
* Для заклепок диаметром более 7мм τср = 240МПа (24,5кгс/мм2)
** Для заклепок диаметром более 6мм τср = 265МПа (27кгс/мм2).
7.III. При испытании на срез разрушающие нагрузки на одинарный срез
должны соответствовать указанным в таблице.
Марка материала | Разрушающая нагрузка на одинарный срез, кН (кгс), для диаметра заклепки d, мм | ||||||||||||||||||
2 | 2,6 | 3 | 3,5 | 4 | 5 | 6 | 7 | 8 | 10 | ||||||||||
10, 15 | 1,1 (107) | 1,8 181 | 2,4 (240) | 3,2 (327) | 4,2 (427) | 6,5 (667) | 9,4 (961) | 12,8 (1308) | 16,8 (1708) | 26,2 (2669) | |||||||||
20Г2 30ХМА | - | - | - | 4,7 (481) | 6,2 (628) | 9,6 (982) | 13,9 (1413) | 18,9 (1924) | 24,6 (2512) | 38,5 (3952) | |||||||||
12Х18Н9Т 12Х18Н10Т | 1,4 (138) | 2,3 (234) | 3,1 (311) | 4,2 (423) | 5,4 (553) | 8,5 (864) | 12,2 (1243) | - | - | - | |||||||||
В65 | - | 1,3 (133) | 1,7 (177) | 2,4 (240) | 3,1 (314) | 4,8 (491) | 6,9 (707) | 9,4 (962) | 12,1 (1231) | 18,9 (1923) | |||||||||
АМг5П | 0,5 (50) | 0,8 (85) | 1,1 (113) | 1,5 (154) | 2,0 (201) | 3,1 (314) | 4,4 (425) | 6,0 (616) | 7,9 (804) | 12,3 (1256) | |||||||||
Д18 | 0,6 (60) | 1,0 (101) | 1,3 (134) | 1,8 (183) | 2,3 (239) | 3,7 (373) | 5,3 (537) | - | - | - | |||||||||
Д19П | - | 1,5 149 | 1,9 (198) | 2,6 (269) | 3,5 (352) | 5,4 (550) | 7,8 (791) | 10,2 (1039) | 13,3 (1356) | - | |||||||||
Примечание. При определении временного сопротивления срезу расчет ведется по действительному диаметру заклепок.