0 руб
Оформить заказКПД червячной передачи
η = η' ηПηp,
где η' учитывает потери в зацеплении; ηП — в подшипниках; ηр — на размещение и разбрызгивание смазочного масла.
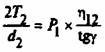
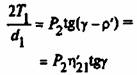
При ведущем червяке

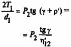
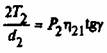
При ведомом червяке

150. Формулы для определения сил в зацеплении червячной передачи
Схема распределения составляющих сил в передаче

Силы, действующие на червяк

Силы, действующие на колесо
Ведущее звено | Pa1 = Р2 | Р1 = Ра2 | Pr1 = Pr2 |
Червяк |
|
|
|
Колесо |
|
|
|
Здесь р' — угол трения. В передачах с архимедовым червяком anS = а = 20º;
в передачах с эвольвентным и конволютным червяками 
Полная сила в зацеплении: 
Для передачи с чугунным колесом, работающим в паре со стальным червяком tgp' = f=0,06…0,12 (меньшие значения при vск ≥ 2м/с).
Значение f и р' при бронзовом колесе и стальном червяке приведены в табл. 152. Меньшие значения fи р' соответствуют передачам со шлифованными червяками при твердости рабочих поверхностей витков > 45HRC.
При расчете черячных передач с опорами качения следует принимать ηП = 1. Значение ηр при погружении передачи (колеса или червяка) в масло примерно на высоту зуба (витка) определяют по формуле

где vок — окружная скорость погруженного в масло элемента (колеса или червяка), м/с;
v — кинематическая вязкость масла при рабочей температуре, сСт;
N— мощность, передаваемая червячным колесом, кВт;
b2 — ширина обода червячного колеса, погруженного в масло, см;
если в масло погружается червяк, то вместо b2 в формулу подставляют длину нерабочей части червяка b1.

Рис. 70. График для определения КПД червячных передач
Пример. Определить КПД η'12 при ведущем червяке, если γ = 6º20'25" и f= 0,017. По графику (см. штриховую линию) находим, что η'12 = 0,86
По графику на рис. 70 определяют КПД червячной передачи в зависимости отγ и f. Если р' = γ, то при ведомом червяке КПД η21 = 0, т.е. теоретически наступает состояние самоторможения, но практически самоторможения при вибрации не получается даже при γ =3…6°.





