0 руб
Оформить заказИсходные данные:Fr1, Fr2 - радиальная нагрузка (радиальная реакция) каждой опоры двухопорного вала, Н: Fa -внешняя осевая сила, действующая на вал, Н; n- частота вращения кольца (как правило, частота вращения вала), об/мин; d - диаметр посадочной поверхности вала, который берут из компоновочной схемы, мм; L'sa, L'sah - требуемый ресурс при необходимой вероятности безотказной работы подшипника соответственно в млн. об.или в ч; режим нагружения; условия эксплуатации подшипникового узла (возможная перегрузка, рабочая температура и др.).
Условия работы подшипников весьма разнообразны и могут различаться по величине кратковременных перегрузок, рабочей температуре, вращению внутреннего или наружного кольца и др. Влияние этих факторов на работоспособность подшипников учитывают введением в расчет эквивалентной динамической нагрузки (19) - (22) дополнительных коэффициентов.
Подбор подшипников качения выполняют в такой последовательности.
1. Предварительно назначают тип и схему установки подшипников.
2. Для назначенного подшипника из каталога выписывают следующие данные:
- для шариковых радиальных и радиально-упорных с углом контакта а < 18° значения базовых динамической Сr и статической Соr радиальных грузоподъемностей;
- для шариковых радиально-упорных углом контакта а ≥ 18° значение Сr, а из табл. 64 значения коэффициентов X радиальной, Y осевой нагрузок, коэффициента осевого нагружения:
- для конических роликовых значений Сr, Y и е, а также принимают X = 0,4 (табл. 66).
3. Из условия равновесия вала и условия ограничения минимального ypoвня осевых нагрузок на радиально-упорные подшипники определяют осевые силы Fa1, Fa2.
4. Для подшипников шариковых радиальных, а также шариковых радиально-упорных с углом контакта а < 18° по табл. 64 в соответствии с имеющейся информацией находят значения X, Yи е в зависимости от
f0Fa / CorилиFa / (i z Dw2).
5. Сравнивают отношение Fa/(VFr) с коэффициентом е и окончательно принимают значения коэффициентов X и Y: при Fa/(VFr)≤eпринимают X = 1 и Y=0, при Fa/(VFr)>eдля подшипников шариковых радиальных и радиально-упорных окончательно принимают записанные ранее (в п.1 и 4) значения коэффициентов X и Y.
Здесь V - коэффициент вращения кольца: V = 1 при вращении внутреннего кольца подшипника относительно направления радиальной нагрузки и V= 1, 2 при вpaщении наружного кольца.
Для двухрядных конических роликовых подшипников значения X, Y и е – по табл. 66.
6. Вычисляют эквивалентную динамическую нагрузку:
- радиальную для шариковых радиальных и шариковых или роликовых радиально-упорных
Рr = (VXFr + YFa) KБKT; (27)
- радиальную для роликовых радиальных подшипников:
Pr =Fr V КБКТ; (28)
- осевую для шариковых и роликовых упорных подшипников:
Pа = Fа КБКТ (29)
- осевую для шариковых и роликовых упорно-радиальных подшипников
Pa = (XFr+ YFa) KБKT. (30)
Значение коэффициента КБ безопасности принимают по табл. 69, а температурного коэффициента КТ - в зависимости от рабочей температуры tраб подшипника:
tраб, °С | ≤100 | 125 | 150 | 175 | 200 | 225 | 250 |
КТ | 1,0 | 1,05 | 1,10 | 1,15 | 1,25 | 1,35 | 1,4 |
69. Рекомендуемые значения коэффициентов безопасности
Характер нагрузки | КБ | Область применения |
Спокойная нагрузка без толчков | 1,0 | Маломощные кинематические редукторы и приводы. Механизмы ручных кранов, блоков. Тали, кошки, ручные лебедки. Приводы управления |
Легкие толчки; кратковременные перегрузки до 125% номинальной нагрузки | 1,0-1,2 | Прецизионные зубчатые передачи. Металлорежущие станки (кроме строгальных, долбежных и шлифовальных). Гироскопы. Механизмы подъема кранов. Электротали и монорельсовые тележки. Лебедки с механическим приводом. Электродвигатели малой и средней мощности. Легкие вентиляторы и воздуходувки |
Умеренные толчки; вибрационная нагрузка; кратковременные перегрузки до 150% номинальной нагрузки | 1,3-1,5 | Зубчатые передачи. Редукторы всех типов. Механизмы передвижения крановых тележек и поворота кранов. Буксы рельсового подвижного состава. Механизмы поворота кранов |
То же, в условиях повышенной надежности | 1,5-1,8 | Механизмы изменения вылета стрелы кранов. Шпиндели шлифовальных станков. Электрошпиндели. |
Нагрузки со значительными толчками и вибрациями; кратковременные перегрузки до 200% номинальной нагрузки | 1,8-2,5 | Зубчатые передачи. Дробилки и копры. Кривошипно-шатунные механизмы. Валки и адъюстаж прокатных станов. Мощные вентиляторы и эксгаустеры |
Нагрузка с сильными ударами; кратковременные перегрузки до 300% номинальной нагрузки | 2,5-3,0 | Тяжелые ковочные машины. Лесопильные рамы. Рабочие роликовые конвейеры крупносортных станов, блюмингов и слябингов. Холодильное оборудование |
Для работы при повышенных температурах применяют подшипники со специальной стабилизирующей термообработкой изготовленные из теплостойких сталей. Для подшипников, работающих при переменных режимах нагружения, задаваемых циклограммой нагрузок и соответствующими этим нагрузкам частотами вращения (рис. 27), вычисляют эквивалентную динамическую нагрузку при переменном режиме нагружения

где Рi и Li - постоянная эквивалентная нагрузка (радиальная или осевая) на i-м режиме и продолжительность ее действия в млн. об. Если Li задана в ч-Lhi, то ее пересчитывают на млн. об.с учетом частоты вращения ni, об/мин:

Если нагрузка на подшипник изменяется по линейному закону от Рminдо Рmax, то эквивалентная динамическая нагрузка


Рис. 27.Аппроксимация нагрузок и частот вращения
Известно, что режимы работы машин с переменной нагрузкой сведены к шести типовым режимам нагружения (см. ГОСТ 21354-87. Передачи зубчатые цилиндрические эвольвентные внешнего зацепления. Расчет на прочность): 0 - постоянному; I -тяжелому; II - среднему равновероятному; III- среднему нормальному; IV - легкому; V - особо легкому.
Для подшипников опор валов зубчатых передач, работающих при типовых режимах нагружения, расчеты удобно вести с помощью коэффициента эквивалентности КE:
Режимработы | 0 | I | II | III | IV | V |
KE | 1,0 | 0,8 | 0,63 | 0,56 | 0,5 | 0,4 |
При этом по известным максимальным, длительно действующим силам Fr1max, Fr2 max, FAmax(соответствующим максимальному из длительно действующих вращающему моменту) находят эквивалентные нагрузки [3]:

по которым в соответствии с пп. 2-6 ведут расчет подшипников, как при постоянной нагрузке.
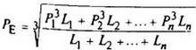
7. Определяют скорректированный по уровню надежности и условиям применения расчетный ресурс подшипника, ч:

где С - базовая динамическая грузоподъемность подшипника (радиальная Сr или осевая Са), Н; Р - эквивалентная динамическая нагрузка (радиальная Рr или осевая, а при переменном режиме нагружения или РЕа), Н; k - показатель степени: k для шариковых и k = 10/3 для роликовых подшипников; n - частота вращения кольца, об/мин; а1 - коэффициент, корректирующий ресурс в зависимости от необходимой надежности (табл. 68); а23 - коэффициент, характеризующий совместное влияние на ресурс особых свойств подшипника и условий его эксплуатации (табл. 70).
Базовый расчетный ресурс подтверждают результатами испытаний подшипника на специальных машинах и в определенных условиях, характеризуемых наличием гидродинамической пленки масла между контактирующими поверхностями колец и отсутствием повышенных перекосов колец подшипника. В реальных условиях эксплуатации возможны отклонения от этих условий, что приближенно и oценивают коэффициентом а23.
При выборе коэффициента а23 различают следующие условия применения подшипника:
1 - обычные (материал обычной плавкой, наличие перекосов колец, отсутствие надежной гидродинамической пленки масла, наличие в нем инородных частиц);
2 - характеризующиеся наличием упругой гидродинамической пленки масла в контакте колец и тел качения (параметр Δ ≥ 2,5); отсутствие повышенных перекосов в узле; сталь обычного изготовления;
3 - то же, что в п.2, но кольца и тела качения изготовлены изстали электрошлакового или вакуумно-дугового переплава.
70. Рекомендуемые значения коэффициента
71. Рекомендуемые значения расчетных ресурсов для машин и оборудования
Машины, оборудование и условия их эксплуатации | Ресурс, ч |
Приборы и аппараты, используемые периодически (демонстрационная аппаратура, бытовая техника, приборы) | 300 ... 3000 |
Механизмы, используемые в течение коротких периодов времени (сельскохозяйственные машины, подъемные краны в сборочных цехах, легкие конвейеры, строительные машины и механизмы, электрический ручной инструмент) | 3000 ...8000 |
Ответственные механизмы, работающие с перерывами (вспомогательные механизмы на силовых станциях, конвейеры для поточного производства, лифты, нечасто используемые металлообрабатывающие станки) | 8000 ... 12000 |
Машины для односменной работы с неполной нагрузкой (стационарные электродвигатели, редукторы общепромышленного назначения) | 10000 ... 25000 |
Машины, работающие с полной нагрузкой в одну смену (машины общего машиностроения, подъемные краны, вентиляторы, распределительные валы, конвейеры, полиграфическое оборудование) | -25000 |
Машины для круглосуточного использования (компрессоры, шахтные подъемники, стационарные электромашины, судовые приводы, текстильное оборудование) | ≥40000 |
Непрерывно работающие машины с высокой нагрузкой (оборудование бумагоделательных фабрик, энергетические установки, шахтные насосы, оборудование торговых морских судов, карусельные печи) | -100000 |
Здесь Δ - параметр режима смазки - характеризует гидродинамический режим смазки подшипника (относительную толщину смазочной пленки). Расчет Δ приведи, например, в [1, 2].
Формулы расчета ресурса справедливы при частотах вращения свыше 10об/мин до предельных по каталогу, а также если Pr (или Pa), а при переменных нагрузках Рrmax(или Pamax) не превышают 0,5Сr (или 0,5Ca).
8. Оценивают пригодность намеченного размера подшипника. Подшипник пригоден, если расчетный ресурс больше или равен требуемому:
Lsah≥ Lsah′.
В некоторых случаях в одной опоре устанавливают два одинаковых радиальных или радиально-упорных однорядных подшипника, образующих один подшипниковый узел. При этом пару подшипников рассматривают как один двухрядный подшипник.
При определении ресурса по формуле п. 7 вместо Сr подставляют базовую динамическую радиальную грузоподъемность Сrсум комплекта из двух подшипников: для шарикоподшипников Сrсум = 1,625 Сr, для роликоподшипников Сrсум = 1,714Сr. Базовая статическая радиальная грузоподъемность такого комплекта равна удвоенной номинальной грузоподъемности одного однорядного подшипника C0rcум = 2С0r.
При определении эквивалентной нагрузки Рr значения коэффициентов X и Y принимают как для двухрядных подшипников: для шарикоподшипников по табл. 64; для роликоподшипников - по табл. 66.
Рекомендуемые значения ресурсов подшипников различных машин приведены в табл. 71.
Пример 1. Подобрать подшипники качения для опор выходного вала цилиндрического зубчатого редуктора (рис. 28). Частота вращения вала n = 120об/мин. Требуемый ресурс при вероятности безотказной работы 90%: L10ah′ = 25000ч. Диаметр посадочных поверхностей вала d = 60мм. Максимальные, длительно действующие силы: Fr1max=6400Н, Fr2mах = 6400Н, FAmax= 2900H. Режим нагружения - II(средний равновероятный). Возможны кратковременные перегрузки до 150% номинальной нагрузки. Условия применения подшипников - обычные. Ожидаемая температура работы tpаб = 50°С.
Решение. 1. Для переменного типового режима нагруженияII коэффициент эквивалентности КE = 0,63 (см. п.6).
Вычисляем эквивалентные нагрузки, приводя переменный режим нагружения к эквивалентному постоянному:
Fr1 = KEFr1 max = 0,63 · 6400 = 4032Н;

Рис. 28. Расчетная схема к примеру 1
Fr2 = KEFr2max = 0,63 · 6400 = 4032Н;
FA = KEFAmax = 0,63 · 2900 = 1827Н.
2. Предварительно назначаем шариковые радиальные подшипники легкой ceрии 212. Схема установки подшипников: 2а (см. рис. 24) - обе опоры фиксирующие; каждая фиксирует вал в одном направлении.
3. Для принятых подшипников по каталогу находим: Сr - 52000Н, Соr = 31000H, d = 60мм, D = 110мм, Dw= 15,88мм.
4. Для радиальных шарикоподшипников из условия равновесия вала следует Fa1 = FA= 1827Н, Fa2 = 0. Дальнейший расчет выполняем для более нагруженного подшипника опоры 1.
5. По табл. 58 для отношений Dwcosа / Dpw = 15,88cos0° / 85 = 0,19 находим значение f0 = 14,2; здесь Dpw= 0,5(d + D) = 0,5(60 + 110) = 85мм. Далее по табл. 64 определяем значение коэффициента е для отношения f0Fa1 / Соr = 14,2 × 1827 / 31000 = 0,837 : е = 0,27.
6. Отношение Fa / Fr = 1827 / 4032 = 0,45, что больше е = 0,27. По табл. 64 для отношения f0Fa1 / Cor = 0,837 принимаем Х = 0,56, Y= 1,64.
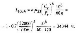
7. Эквивалентная динамическая радиальная нагрузка по формуле (27) при V = 1 (вращение внутреннего кольца); КБ = 1,4 (см. табл. 69); КТ = 1 (tраб < 100°С)
Рr = (1 · 0,56 · 4032 + 1,64 · 1827) 1,4 · 1 = 7356Н.
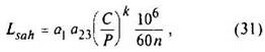
8. Расчетный скорректированный ресурс подшипника по формуле (31) при а1= 1 (вероятность безотказной работы 90%, табл. 68), а23 = 0,7 (обычные условия применения, табл. 70), k = 3 (шариковый подшипник)

9. Так как расчетный ресурс больше требуемого: L10ah > L10ah′ (34344 > 25000), то предварительно назначенный подшипник 212 пригоден. При требуемом ресурсе надежность выше 90%.
Пример 2. Подобрать подшипники для опор вала редуктора привода цепного конвейера (рис. 29). Частота вращения вала n = 200об/мин. Требуемый ресурс при вероятности безотказной работы 90%:
L10ah′ = 20000ч. Диаметр посадочных поверхностей вала d = 45мм. Максимальные, длительно действующие силы: Fr1max= 9820Н, Fr2max = 8040Н, FAmax= 3210Н. Режим нагружения - III (средний нормальный). Возможны кратковременные перегрузки до 150% номинальной нагрузки. Условия применения подшипников обычные. Ожидаемая температура работы tраб = 45°С.
Решение. 1. Для переменного типового режима нагруженияIII коэффициент эквивалентности КE= 0,56 (см. п.6).
Вычисляем эквивалентные нагрузки, приводя переменный режим нагружения к эквивалентному постоянному:

2. Предварительно назначаем конические роликовые подшипники легкой серии - 7209А. Схема установки подшипников: 2а (см. рис. 24) - обе опоры фиксирующие: каждая фиксирует вал в одном направлении.
3. Для принятых подшипников из каталога находим: Сr = 62700Н, е = 0,4, Y = 1,5.
4. Минимально необходимые для нормальной работы радиально-упорных подшипников осевые силы:

Рис.29. Расчетная схема к примеру 2
Находим осевые силы, нагружающие подшипники.
Примем Fa1 – Fa1 min = 1826Н; тогда из условия равновесия вала следует: Fa2 = Fa1 +FA= 1826 + 1798 = 3624Н, что больше - Fa2min= 1495Н, следовательно, осевые реакции опор найдены правильно.
5. Отношение Fa1 / Fr1 = 1826 / 5499 = 0,33, что меньше е = 0,4. Тогда для опоры 1: Х = 1, У = 0.
Отношение Fa2 / Fr2 = 3624 / 4502 = 0,805, что больше е = 0,4. Тогда для опоры 2: X = 0,4, У = 1,5.
6. Эквивалентная динамическая радиальная нагрузка для подшипников при V = 1; КБ = 1,4 (см. табл. 69) и КТ = 1 (tраб < 100°С) в опорах 1 и 2.

7. Для подшипника более нагруженной опоры 2 вычисляем по формуле (31) расчетный скорректированный ресурс при а1 = 1 (вероятность безотказной работы 90%, табл. 68), a23 = 0,6 (обычные условия применения, табл. 70) и k = 10/3 (роликовый подшипник)

8. Так как расчетный ресурс больше требуемого: L10ah > L10ah′ (21622 > 20000), то предварительно назначенный подшипник 7209А пригоден. При требуемом ресурсе надежность несколько выше 90%.
Пример 3. Подобрать подшипники для опор вала червяка (рис. 30). Частота вращения вала 920об/мин. Требуемый ресурс при вероятности безотказной работы 90%:
L10ah′ = 2000ч. Диаметр посадочных поверхностей вала d = 30мм. Максимальные, длительно действующие силы: Fr1 max = 1000Н, Fr2 max = 1200Н, FAmax = 2200Н.

Рис. 30. Расчетная схема к примеру 3
Режим нагружения - 0 (постоянный). Возможны кратковременные перегрузки до 150% номинальной нагрузки. Условия применения подшипников - обычные. Ожидаемая температура работы tраб = 65°С.
Решение. 1. Для типового режима нагружения 0 коэффициент эквивалентности KE= 1,0.
Вычисляем эквивалентные нагрузки:

2. Предварительно назначаем шариковые радиально-упорные подшипники легкой серии - 36206, угол контакта α = 12°. Схема установки подшипников: 2а (см. рис. 24) – обе опоры фиксирующие; каждая фиксирует вал в одном направлении.
3. Для принятых подшипников из каталога находим: Сr = 22000Н, Сor = 12000Н, d= 30мм, D = 62мм, Dw = 9,53мм.
4. Минимально необходимые для нормальной работы радиально-упорных подшипников осевые силы в соответствии с формулами (24), (25):
для опоры 1

Находим осевые силы, нагружающие подшипники.
Примем Fa1 = Fa1 min = 347Н, тогда условия равновесия вала следует: Fa2 = Fa1 + FA = 347 + 2200 = 2547Н, что больше Fa2min= 431Н, следовательно, осевые реакции опор найдены правильно.
5. Дальнейший расчет выполняем более нагруженной опоры 2. По табл. для отношения Dwcosα / Dpw = 9,53 × cos12°/46 = 0,2 находим значение f0 = 14 , здесь Dpw= 0,5(d + D) = 0,5(30 + 62) = 46. Далее по табл. 64 определяем значение коэффициента е для отношений f0iFa2 / Сor = 14 · 1 · 2547 / 12000 = 2,97 : е = 0,49 (определено линейным интерполировав для промежуточных значений "относительной осевой нагрузки" и угла контакта). Отношение Fa2 / Fr2 = 2547 / 1200 = 2,12, что больше е = 0,49. Тогда для опоры (табл. 64): Х= 0,45; Y= 1,11 (определеным линейным интерполированием для значений "относительной осевой нагрузки" 2,! и угла контакта 12°).
6. Эквивалентная динамическая радиальная нагрузка по формуле (27) при V = 1, КБ =1,3 (см. табл. 69) и КТ = 1 (tраб < 100°С)

7. Расчетный скорректированный ресурс, при а1 = 1 (вероятность безотказной работы 90%, табл. 68), а23 = 0,7 (обычные условия применения, табл. 70) и k = 3 (шариковый подшипник)

8. Так как расчетный ресурс больше требуемого: L10ah > L10ah′ (2317 > 2000), то предварительно назначенный подшипник 36206 пригоден. При требуемом ресурсе надежность несколько выше 90%.
Пример 4. Вычислить скорректированный расчетный ресурс роликовых конических подшипников 1027308А фиксирующей опоры вала червяка (рис. 31). Частота вращения вала n = 970об/мин. Вероятность безотказной работы 95%. Максимальные, длительно действующие силы: Frmax = 3500Н, FAmax = 5400Н. Режим нагружения - I(тяжелый). Возможны кратковременные перегрузки до 150% номинальной нагрузки. Условия применения подшипников - обычные. Ожидаемая температура работы tраб = 85°С.
Решение. 1. Для переменного типового режима нагруженияI коэффициент эквивалентности KE = 0,8 (см. п.6).
Вычисляем эквивалентные нагрузки, приводя переменный режим нагружения к эквивалентному постоянному:

2. Для роликоподшипника конического с большим углом конусности - условное обозначение 1027308A- по каталогу Сr= 69300Н, е = 0,83.
3. Подшипниковый узел фиксирующей опоры червяка образуют два одинаковых роликовых радиально-упорных конических подшипника, которые рассматривают как один двухрядный подшипник, нагруженный силами Fr и Fa = FA. Для комплекта из двух роликоподшипников имеем Сrсум = 1,714Сr= 1,714 · 69300 = 118780Н.
4. Отношение Fa/ Fr = 4320/2800 = 1,543, что больше е = 0,83. Определим значение угла контакта α (табл. 66):
α = arctg(e / 1,5) = arctg(0,83 / 1,5) = 28,96°.
Тогда для двухрядного роликового радиально-упорного подшипника:
Х= 0,67;
Y=0,67ctgα = 0,67ctg28,96º = 1,21.
5. Эквивалентная динамическая радиальная нагрузка по формуле (27) при V = 1; КБ = 1,4; КТ = 1

6. Расчетный скорректированный ресурс а1 = 0,62 (вероятность безотказной работы 95%, табл. 68), а23 = 0,6 (табл. 70) и k = 10/3 (роликовый подшипник)

Рис. 31. Расчетная схема к примеру 4
