0 руб
Оформить заказМуфты трения в станках применяют для пуска и останова, реверсирования, пересечения скоростей, переключения направления движения (например, на продольную и поперечную подачу и т. д.).
Фрикционные многодисковые масляные муфты используют в узлах, где трудно обеспечить изоляцию муфты от масла (коробка передач и др.).
Материалами трущихся поверхностей служат закаленная сталь (>60HRCэ) и текстолит.
При муфтах с дисками из текстолита, работающими по стали, нет металлической пыли, появляющейся при трении стали по стали. Текстолитовые диски разрушаются при температуре свыше 110°С.
Стальные диски при трении по стали шлифуют.
Фрикционные многодисковые сухие муфты устанавливают в узлах, где удобно изолировать их от масла. Материалы тру трущихся поверхностей — сталь (среднеуглеродистая, можно без термической обработки) или чугун по асбесту.
Проверочный расчет многодисковых муфт трения (ненормализованных, рис. 1).
Исходные данные:
Т - передаваемый вращающий момент, Н·мм;
n- частота вращения ведущего вала муфты, мин-1;
k- число включений муфты в 1 ч;
i- число поверхностей трения;
β - коэффициент запаса сцепления (обычно 1,3—1,5);
K- наружный радиус поверхностей трения, мм;
r- внутренний радиус поверхностей трения, мм.
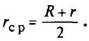
Средний радиус поверхностей трения в мм

Средняя окружная скорость, м/с,


Рис. 1. Узел ненормализованных фрикционных многодисковых муфт трения
Допускаемый вращающий момент, Н·мм,

Необходимая сила сжатия дисков, Н

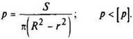
Давление на трущихся поверхностях в МПа

При средней окружной скорости v >2,5м/с допускаемый вращающий момент масляных и сухих муфт умножают на коэффициент скорости Kv:
Коэффициент Kv | 1 | 0,94 | 0,86 | 0,75 | 0,68 | 0,63 |
Окружная скорость, м/с | До 2,5 | 3 | 4 | 6 | 8 | 10 |
При работе масляных муфт с частыми переключениями (свыше 50— 100 раз в 1ч) вводят поправочный коэффициент Кmучитывающий число дисков:
Число наружных дисков | До 3 | 4 | 5 | 6 | 7 | 8 | 9 | 10 | 11 |
Коэффициент Кm | 1 | 0,97 | 0,94 | 0,91 | 0,88 | 0,85 | 0,82 | 0,79 | 0,76 |
Для сухих муфт Кm принимают равным единице.
Кроме этого, допускаемые вращающие моменты муфт следует снижать на 1% на каждые дополнительные пять включений сверх 50—100, т. е. вводить коэффициент (1 - К'n ), где К'n = 0,01 на каждые дополнительные пять включений для муфт с числом включений не более 300—350 в 1ч; предельные значения К'n = 0,5; при большем числе включений необходимо производить тепловой расчет муфты.
Значение коэффициента fи наибольшие допускаемые давления [р] приведены в табл. 19. При v > 2,5м/с табличные давления [р] умножают на коэффициент скорости Kv. Давление [р] снижают также введением коэффициентов Кm и К'n.
19. Коэффициент трения f и наибольшие допускаемые давления [р] на поверхность трения
Материал поверхностей трения | f | [р], МПа | Материал поверхностей трения | f | [р], МПа |
Для масляных муфт | Для сухих муфт | ||||
Закаленная сталь по закаленной стали | 0,08 | 0,6-0,8 | Прессованный асбест или феродопостали или чугуну | 0,3 | 0,2-0.25 |
Чугун по чугуну или по закаленной стали | 0,08 | 0,6-0,8 | |||
Текстолит по стали | 0,15 | 0,4-0,6 | Чугун по чугуну или по закаленной стали | 0,15 | 0,25-0,3 |
Меньшие значения давлении рекомендуются при малом числе дисков, большие — при большом.
a