0 руб
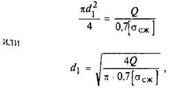
Оформить заказВнутренний диаметр винта ориентировочно определяют из расчета на сжатие по пониженному (примерно на 30%) допускаемому напряжению:

где Q - нагрузка, Н; d1 - внутренний диаметр винта, мм.
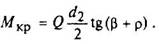
Должно быть самоторможение винта, т. е. - угол подъема винтовой линии β должен быть меньше угла трения р:
tgβ= P/(πd2)
где р - шаг резьбы винта; d2 - средний диаметр резьбы винта.

Рис. 3. Способы устранения зазоров:
а - за счет стягивания винтом; б - пружиной; в - цанговым зажимом
Если принять коэффициент трения в резьбе f = 0,1, то tgp = 0,1, или р = 5°43'.
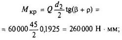
Винт проверяют на совместное действие сжатия и кручения, а при значительной длине - и на устойчивость (продольный изгиб). Крутящий момент

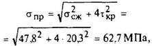
Приведенное напряжение

где τкр = Mкр / 0,2d13 - касательное напряжение, МПа.
Условие достаточной прочности
σпр = [σp].
Допускаемое напряжение на растяжение [σр] =70…90МПа.
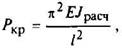
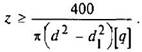
На устойчивость винт проверяют по формуле Эйлера

где Pкр - критическая сила, Н;
Е - модуль упругости, МПа;
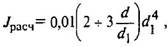
Jрасч- момент инерции поперечного сечения винта, мм4;

где d - наружный диаметр винта; d1 -внутренний диаметр винта; l - длина винта, мм (расстояние от середины гайки до опорной поверхности головки винта при вывернутом до отказа винте, причем винт рассматривается как стержень с шарнирно закрепленными концами).
Запас устойчивости
nу = Pкр / Q,
рекомендуется nу ≥ 4.
8. Допускаемые давления
Материал | [q], МПа |
Сталь по чугуну | 5-6 |
Сталь по антифрикционномучугуну | 10-13 |
Сталь по стали | 7-13 |
Сталь по бронзе | 7-13 |
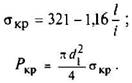
Формула Эйлера применима при условии, что гибкость стержня λ = l/i больше предельной (λ > λпред), где i– радиус инерции поперечного стержня (для круглого сечения i = d/4).
Для стали λпред ≈ 100. При гибкости меньше предельной определяют критическое напряжение в МПа:

При гибкости λ < 60 расчет на устойчивость является излишним.
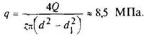
Высоту гайки определяют из расчета на допускаемое давление [q] (табл. 8) между витками винта и гайки:
H = zP,
где Р - шаг резьбы; z - полезное число витков, zдолжно быть не более 10, так как остальные витки не будут работать.
Если z > 10, то переходят либо на другие материалы, либо увеличивают d и d1:

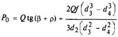
Усилие рабочегоРр, необходимое для подъема груза Q . Из уравнения

определяют P0 - усилие, необходимое для вращения винта, приложенное по среднему диаметру резьбы. Первый член правой части уравнения представляет собой часть этого усилия, необходимую для подъема груза и преодоления трения в резьбе.а второй член - часть усилия, необходимую для преодоления силы трения на кольцевой поверхности стыка между вращающимся винтом и неподвижной чашкой. При длине рукоятки L усилие Рр находят из условия равенства моментов сил P0 и Рр относительно оси винта:
Р0·d2/2 =PpL.
КПД домкрата
η = Aп/Аз
где Ап = QP - полезная работа подъема груза за один оборот винта;
Аз = P0πd2 - затраченная работа за один оборот винта.
Резьбу грузовых винтов делают прямоугольной и трапецеидальной.
Пример расчета домкрата. Произвести проверочный расчет домкрата с Q = 60000Н с данными, приведенными на рис. 4.
Винт изготовлен из стали 35, гайка - из бронзы, резьба однозаходная с шагом 10мм.
1. Определим КПД домкрата:
а) угол β подъема винтовой линии прямоугольной резьбы (при среднем диаметре d2)

или β = 4°03';
б) угол трения р при f = 0,12, tgp = 0,12, или р = 6º51';
в) условие самоторможения будет при β ≤ p,
г) условие преобразования поступательного движения во вращательные будет при р ≥ 2р;
д) работа за один оборот винта, необходимая для подъема груза и преодоления силы трения в резьбе,

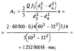
е) работа за один оборот винта, необходимая для преодоления трения на торцовой части винта при f1 = 0,14:

ж) полезная работа подъема груза
Ап = QP = 60000·10 = 600000Н · мм;
з)КПД

2. Определяем усилие рабочего Рр при подъеме груза. При длине рукоятки 1000м работа за один оборот
Аз = Рр · 2πL = Pp· 6,28 · 1000 = 6280Рр;
эта работа должна быть равна Ар +Ат, т.е. 6280Рр = 2882000Н·мм, откуда
Рр = 2882000/6280 = 458Н.
Усилие Рр очень велико, поэтому придется приложить усилие двух рабочих, так как на одного рабочего принимают Рр = 150…300Н.
3. Проверяем напряжение в винте:
а) расчетная длина винта
l = 390+70-100/2 = 410мм;
б) радиус инерции круга диаметром d1 = 40мм
i= d1/4 = 40/4 = 10мм;
λ = l/i= 410/10 = 41,
при такой малой гибкости проверки на устойчивость не требуется;
в) нормальное напряжение
σсж = Q/F = 60000/(3.14·402/4) = 47,8МПа;

Рис. 4. Схема к расчету домкрата
г) касательное напряжение

где крутящий момент

д) приведенное напряжение

для винта из стали 35 при статической нагрузке допустимо σв = 85,0МПа.
4. Проверяем высоту гайки:
а) число витков в гайке
z = H/P = 100/10 = 10;
б) удельное давление

Результат расчета удовлетворительный, так как величина находится в пределах, указанных в табл. 8.