0 руб
Оформить заказКлеммовые соединения (рис. 9) применяют в том случае, когда место закрепления рычага на валу непостоянно.
Вследствие действия силы Р, сжимающей клеммы и растягивающей болт, между поверхностями ступицы рычага и вала возникает сила трения, равная Nf, где N - нормальное давление между половинами ступицы, создаваемое затяжкой болта, а f - коэффициент трения.

Рис. 9
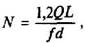
Затяжка болтов должна быть такой, чтобы момент трения Nfdравнялся внешнему моменту QL или для надежности был бы больше, обычно на 20%, т.е. Nfd= 1,2QL, откуда

где Q - усилие на рычаге, Н; L – длина рычага, мм; d - диаметр вала, мм.
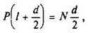
Приближенно зависимость между силой Р и давлением N определяют, приравнивая моменты сил Р и N относительно точки С:

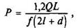
или

где l - расстояние от оси болта до центра вала, мм; Р - сила, сжимающая клеммы и растягивающая болт, Н.
По найденной силе Р болт рассчитывают как затянутый (см. рис. 3).
Пример. Груз Q = 300Н закреплен на одном плече горизонтального рычага длиной L = 500мм; другое плечо рычага связано клеммовым соединением с валом диаметром d = 40мм. Нагрузка статическая. Определить диаметр клеммовых болтов.
Решение.
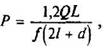
Расчетная нагрузка для болта

принимают f =0,2; l =40мм, тогда

Выбирают болт M16, площадь его сечения F = 141мм2. Рабочее напряжение растяжения
σp = P/F = 7500/141 ≈ 53МПа,
что вполне допустимо.