0 руб
Оформить заказПример 1. Пружина сжатия.
Дано: F1 = 20Н; F2 = 80Н; h = 30мм; D1 = 10... 12мм; vmax = 5м/с; NF≥ 1 · 107.
По табл. 1 убеждаемся, что при заданной выносливости NF пружину следует отнеcти к классу 1.
По формуле (2), пользуясь интервалом значений δ от 0,05 до 0,25 (см. п. 7 табл. 10), находим граничные значения силы F3, а именно:

В интервале от 84 до 107Н (ГОСТ 13766-86) пружин класса I, разряда 1 имеются следующие силы F3: 85; 90; 95; 100 и 106Н (табл. 11).
Исходя из заданных размеров диаметра и стремления обеспечить наибольшую критическую скорость, останавливаемся на витке со следующими данными (номер позиции 355):
F3 = 106Н; d = 1,80мм; D1 = 12мм; с1 = 97,05Н/мм; s'3= 1,092мм.
Учитывая, что для пружин класса I норма напряжений τ = 0,3Rm (см. табл. 2), находим, что для найденного диаметра проволоки из углеродистой холоднотянутой стали расчетное напряжение τ3 = 0,3·2100 = 630Н/мм2.
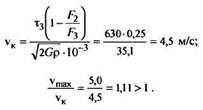
Принадлежность к классу I проверяем определением отношения vmax/vK, для чего предварительно определяем критическую скорость по формуле (5) при δ = 0,25:

Полученная величина свидетельствует о наличии соударения витков в данной пружине, и, следовательно, требуемая выносливость может быть не обеспечена. Легко убедиться, что при меньших значениях силы F3 отношение vmax /vк будет еще больше отличаться от единицы и указывать на еще большую интенсивность соударения витков.
Используем пружины класса II. Заданному наружному диаметру и найденным выше силам F3 соответствует виток с данными по ГОСТ 13770-86 (см. табл. 14, позиция 303): F3=95,0H; d=1,4мм; D1=11,5мм; с1=36,58Н/мм; s'3=2,597мм.
Учитывая норму напряжений для пружин класса IIτ3 = 0,5Rm, находим τ3 = 0,5×2300= 1150Н/мм2.
По формуле (2) вычисляем δ = 1-F2/F3 = 1 – 80/95 = 0,16 и находим vKи vmax /vK, с помощью которых определяем принадлежность пружин ко II классу:

Полученная величина указывает на отсутствие соударения витков. Следовательно, выбранная пружина удовлетворяет заданным условиям. Пружины класса II относятся к разряду ограниченной выносливости, поэтому следует учитывать комплектацию машины запасными пружинами с учетом опытных данных.
Определение остальных размеров производим по формулам табл. 10.
По формуле (6) находим жесткость пружины:

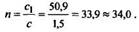
Число рабочих витков пружины определяем по формуле (7):
n= c1/c = 36,58/2,0 = 18,29 ≈ 18,5.
Уточняем жесткость пружины:
c = c1/n= 36,68/18,5 = 1,977 ≈ 2,0Н/мм.
При полутора нерабочих витках полное число витков находим по формуле (8):
n1 = n + n2 =18,5 + 1,5= 20.
По формуле (9) определяем средний диаметр пружины:
D = 11,5 - 1,4 = 10,1мм.
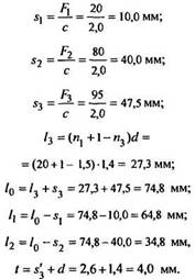
Деформации, длины и шаг пружины вычисляем по формулам (11)-(18):

На этом определение размеров пружины и габарита узла (размер li) заканчивается.
Следует отметить, что некоторое увеличение выносливости может быть достигнуто при использовании пружины с большей величиной силы F3, чем найденная в настоящем примере. С целью выяснения габаритов, занимаемых такой пружиной, проведем анализ:
остановимся, например, на витке со следующими данными по ГОСТ 13770-86 (см. табл. 14, позиция 313): F3 = 106Н; d = 1,4мм; D1 = 10,5мм; с1 = 50,01Н/мм; s3' = 2,119мм.
Находим τ3 = 1150Н/мм2 и производим расчет в той же последовательности:

Очевидно, что у этой пружины создается большой запас на несоударяемость витков.
Далее в рассмотренном ранее порядке находим
n= 50,01/2,0 = 25,01 ≈ 25,0.
Уточненная жесткость с =50,01/25,0 ≈ 2,0Н/мм;

Таким образом, устанавливаем, что применение пружины с более высокой силой F3 хотя и привело к большему запасу на несоударяемость витков, но оно сопровождается увеличением габарита узла (размер l1) на 15,3мм. Можно показать, что если выбрать виток с большим диаметром, например D1=16мм (см. табл. 14, номер позиции 314), то тогда потребуется расширить узел по диаметру, но при этом соответственно уменьшится размер l1.
Пример2. Пружина сжатия.
Дано: F1 = 100Н; F2 = 250Н; h = 100мм; D1 = 15...25мм; vmax = 10м/с.
Независимо от заданной выносливости на основании формулы (5) можно убедиться, что при значениях 8, меньших 0,25 [формула (1)], все одножильные пружины, нагружаемые со скоростью vmax более 9,4м/с, относятся к III классу.
По формуле (2) с учетом диапазона значений δ для пружин класса III от 0,1 до 0,4 [формула (1)] находим границы сил F3:

Верхние значения силы F3, как видно из табл. 2, не могут быть получены из числа одножильных конструкций, поэтому с учетом коэффициентов δ = 0,15...0,40 [формула (1)] для трехжильных пружин устанавливаем новые пределы F3, по формуле (2):
F3 = 294...417H.
Для указанного интервала в ГОСТ 13774-86 имеются витки со следующими силами F3: 300; 315; 335; 375 и 400Н (табл. 16а).
Исходя из заданных размеров диаметра и наименьших габаритов узла, предварительно останавливаемся на витке со следующими данными (номер позиции 252): F3 = 300Н; d=1,4мм; d1=3,10мм; D1 = 17мм; с1 = 50,93Н/мм; s'3 = 5,890мм.
Согласно ГОСТ 13764-86 для пружин класса IIIτ3 = 0,6Rm. Используя ГОСТ 9389-75, определяем напряжение для найденного диаметра проволоки:
τ3 = 0,6 · 2300 = 1380Н/мм3.
Принадлежность к классу проверяем путем определения величины отношения vmax/vK, для чего предварительно находим 8 и критическую скорость по формулам (1), (2) и (5а):

Полученное неравенство свидетельствует о наличии соударения витков и о принадлежности пружины к классу III.
Определение остальных параметров производится по формулам табл. 10.
По формуле (6) находим жесткость:

Число рабочих витков пружины вычисляют по формуле (7):

Уточненная жесткость:

Полное число витков находят по формуле (8):
n1 = n + 1,5 = 34,0 + 1,5 = 35,5.
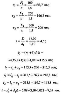
По формуле (9а) определяют средний диаметр пружины:
D = D1 – d1 = 17 - 3,10 = 13,90мм.
Деформации, длины и шаг пружины находят по формулам табл. 10:

Проанализируем пружины, соответствующие трем ближайшим значениям F3, взятым изГОСТ 13774-86 (пружины класса III, разряда 1) для рассмотренного случая (табл. 16а).
Вычисления, проделанные в аналогичном порядке, показывают, что для трех соседних сил F3 образуется шесть размеров пружин, удовлетворяющих требованиям по величине наружного диаметра. Сведения о таких пружинах приведены ниже.
F3,H | 300 | 315 | 335 | |||
d, мм | 1,4 | 1,6 | 1,4 | 1,6 | 1,4 | 1,6 |
d1, мм | 3,10 | 3,50 | 3,10 | 3,50 | 3,10 | 3,50 |
D1, мм | 17,0 | 24,0 | 16,0 | 22,0 | 15,0 | 21,0 |
vmax/vK | 1,43 | 1,50 | 1,16 | 1,21 | 0,942 | 0,984 |
l0, мм | 317,0 | 273,9 | 355,1 | 309,0 | 405,1 | 337,0 |
l1,мм | 250,4 | 207,2 | 288,4 | 242,3 | 338,4 | 270,3 |
l2, мм | 150,4 | 107,2 | 188,4 | 142,3 | 238,4 | 170,3 |
n1 | 36,0 | 20,0 | 44,5 | 27,0 | 56,0 | 31,0 |
V,мм3 | 57000 | 93000 | 58000 | 92000 | 60000 | 93000 |
Из этих данных следует, что с возрастанием F3 уменьшается отношение vmax/vK и, в частности, может быть устранено соударение витков, но вместе с этим возрастают габариты по размерам l1.
С возрастанием диаметров пружин габариты по размерам 1Х уменьшаются, однако существенно возрастают объемы пространств, занимаемые пружинами.
Следует отметить, что если бы для рассматриваемого примера, в соответствии с требованиями распространенных классификаций, была выбрана пружина класса I, то при одинаковом диаметре гнезда (D1 ≈ 18мм) даже самая экономная из них потребовала бы длину гнезда l1 = 546мм, т.е. в 2,2 раза больше, чем рассмотренная выше.
При этом она была бы в 11,5 раза тяжелее и, вследствие малой критической скорости (vK = 0,7м/с), практически неработоспособной при заданной скорости нагружения 10м/с.
Пример 3. Пружина растяжения. Дано: F1=250Н; F2=800Н; h=100мм; D1=28...32мм; NF≥ 1 · 105.
На основании ГОСТ 13764-86 по величине NF устанавливаем, что пружина относится к классу II (см. табл. 1.) По формуле (2) находим силы F3, соответствующие предельной деформации:

В интервале сил 842...889Н в ГОСТ 13770-86 для пружин класса II, разряда 1 (номер пружины 494) имеется виток со следующими параметрами: F3=850Н; D1=30мм; d = 4,5мм; с1 = 242,2Н/мм; s'3 = 3,510мм.
По заданным параметрам с помощью формулы (6) определяем жесткость пружины:

Число рабочих витков находим по формуле (7):

Деформации и длины пружины вычисляют по формулам [( 11Н17а)]:

Размер l2 с учетом конструкций зацепов определяет длину гнезда для размещения пружины растяжения в узле.
Размер l3 с учетом конструкций зацепов ограничивает деформацию пружины растяжения при заневоливании.
Трехжильные пружины (угол свивки 24°).
Жесткость

Полученные значения жесткости должны совпадать с вычисленными по формуле (6).
Полученные значения напряжений должны совпадать с указанными в ГОСТ 13764-86 для соответствующих разрядов с отклонениями не более ±10%.