0 руб
Оформить заказКосозубая передача более плавная и передает большую мощность, чем прямозубая, при тех же размерах. Недостатком косозубых передач является возникающая в зацеплении дополнительная осевая сила, отсутствующая у прямозубых колес. Линии зубьев имеют правое или левое направление.
Правой называют такую линию, точка на которой движется по часовой стрелке при удалении вдоль зуба, если смотреть на колесо со стороны его торца (рис. 11). Углы наклона двух сцепляющихся колес равны. Схема развертки делительного цилиндра зубчатого колеса показана на рис. 12.

Рис. 11. Линии винтовых зубьев колес:
а - правая; б - левая

Рис. 12. Схема развертки делительного цилиндра косозубого колеса
10. Формулы и пример расчета косозубой передачи без смещения

Исходные данные:
mn= 4
z1 = 41
z2 = 82
a = 250
b1 = 32
b2 = 26
a = 20º
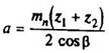
Если межосевое расстояние а не входит в исходные данные, то 
Параметры и обозначения | Расчетные формулы и указания | Числовые значения | |
Угол наклона линии зуба β Окружной (торцовый) модуль m1 |
| β= 10°15' 4,066 | |
Делительный диаметр d |
| 166,706 333,412 | |
Диаметр вершин зубьев da | da1 = d1 + 2mn da2 = d2 + 2mn | 174,706 341,412 | |
Постоянная хорда |
| 5,55 | |
Высота до постоянной хорды |
| 2,99 | |
Расчет длины обшей нормали |
| ||
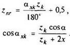
Условное число зубьев zK |
| 42,927 85,854 |
|
Часть длины обшей нормали, определяемая целой частью zTвеличины zK, выраженная в долях модуля |
| 13,8728 (при zn = 5) 29,2357 (при zn = 10) |
|
Часть длины обшей нормали, определяемая дробной частью величины zK , выраженная в долях модуля |
| 0.0138 0,0127 |
|
Длина общей нормали W |
| 54,97 116,99 |
|
11. Значения постоянной хорды
и расстояния ее от делительной окружности
, выраженные в долях модуля (а = 20°)

х |
|
| х |
|
| х |
|
| х |
|
|
-0,50 | 1,0657 | 0,1940 | -0,12 | 1,3099 | 0,2384 | 0,26 | 1,5542 | 0,2828 | 0,64 | 1,7984 | 0,3273 |
-0,49 | 1,0721 | 0,1951 | -0,11 | 1,3164 | 0,2396 | 0,27 | 1,5606 | 0,2840 | 0,65 | 1,8049 | 0,3284 |
-0,48 | 1,0785 | 0,1963 | -0,10 | 1,3228 | 0,2408. | 0,28 | 1,5670 | 0,2852 | 0,66 | 1,8113 | 0,3296 |
-0,47 | 1,0850 | 0,1975 | -0,09 | 1,3292 | 0,2419 | 0,29 | 1,5735 | 0,2864 | 0,67 | 1,8177 | 0,3308 |
-0,46 | 1,0914 | 0,1986 | -0,08 | 1,3356 | 0,2431 | 0,30 | 1,5799 | 0,2875 | 0,68 | 1,8241 | 0,3319 |
-0,45 | 1,0978 | 0,1998 | -0,07 | 1,3421 | 0,2443 | 0,31 | 1,5863 | 0,2887 | 0,69 | 1,8306 | 0,3331 |
-0,44 | 1,1042 | 0,2010 | -0,06 | 1,3485 | 0,2454 | 0,32 | 1,5927 | 0,2899 | 0,70 | 1,8370 | 0,3343 |
-0,43 | 1,1107 | 0,2021 | -0,05 | 1,3549 | 0,2466 | 0,33 | 1,5992 | 0,2910 | 0,71 | 1,8434 | 0,3355 |
-0,42 | 1,1171 | 0,2033 | -0,04 | 1,3614 | 0,2478 | 0,34 | 1,6056 | 0,2922 | 0,72 | 1,8498 | 0,3366 |
-0,41 | 1,1235 | 0,2045 | -0,03 | 1,3678 | 0,2490 | 0,35 | 1,6120 | 0,2934 | 0,73 | 1,8563 | 0,3378 |
-0,40 | 1,1299 | 0,2057 | -0,02 | 1,3742 | 0,2501 | 0,36 | 1,6185 | 0,2945 | 0,74 | 1,8627 | 0,3390 |
-0,39 | 1,1364 | 0,2068 | -0,01 | 1,3806 | 0,2513 | 0,37 | 1,6249 | 0,2957 | 0,75 | 1,8691 | 0,3401 |
-0,38 | 1,1428 | 0,2080 | 0,00 | 1,3870 | 0,2524 | 0,38 | 1,6313 | 0,2969 | 0,76 | 1,8756 | 0,3413 |
-0,37 | 1,1492 | 0,2092 | 0,01 | 1,3935 | 0,2536 | 0,39 | 1,6377 | 0,2981 | 0,77 | 1,8820 | 0,3425 |
-0,36 | 1,1557 | 0,2103 | 0,02 | 1,3999 | 0,2548 | 0,40 | 1,6442 | 0,2992 | 0,78 | 1,8884 | 0,3436 |
-0,35 | 1,1621 | 0,2115 | 0,03 | 1,4063 | 0,2559 | 0,41 | 1,6506 | 0,3004 | 0,79 | 1,8948 | 0,3448 |
-0,34 | 1,1685 | 0,2127 | 0,04 | 1,4128 | 0,2571 | 0,42 | 1,6570 | 0,3016 | 0,80 | 1,9013 | 0,3460 |
-0,33 | 1,1749 | 0,2138 | 0,05 | 1,4192 | 0,2583 | 0,43 | 1,6635 | 0,3027 | 0,81 | 1,9077 | 0,3472 |
-0,32 | 1,1814 | 0,2150 | 0,06 | 1,4256 | 0,2594 | 0,44 | 1,6699 | 0,3039 | 0,82 | 1,9141 | 0,3483 |
-0,31 | 1,1878 | 0,2162 | 0,07 | 1,4320 | 0,2606 | 0,45 | 1,6763 | 0,3051 | 0,83 | 1,9206 | 0,3495 |
-0,30 | 1,1942 | 0,2174 | 0,08 | 1,4385 | 0,2618 | 0,46 | 1,6827 | 0,3062 | 0,84 | 1,9270 | 0,3507 |
-0,29 | 1,2007 | 0,2185 | 0,09 | 1,4449 | 0,2630 | 0,47 | 1,6892 | 0,3074 | 0,85 | 1,9334 | 0,3518 |
-0,28 | 1,2071 | 0,2197 | 0,10 | 1,4513 | 0,2641 | 0,48 | 1,6956 | 0,3086 | 0,86 | 1,9398 | 0,3530 |
-0,27 | 1,2135 | 0,2209 | 0,11 | 1,4578 | 0,2653 | 0,49 | 1,7020 | 0,3098 | 0,87 | 1,9463 | 0,3542 |
-0,26 | 1,2199 | 0,2220 | 0,12 | 1,4642 | 0,2665 | 0,50 | 1,7084 | 0,3109 | 0,88 | 1,9527 | 0,3554 |
-0,25 | 1,2264 | 0,2232 | 0,13 | 1,4706 | 0,2676 | 0,51 | 1,7149 | 0,3121 | 0,89 | 1,9591 | 0,3565 |
-0,24 | 1,2328 | 0,2244 | 0,14 | 1,4770 | 0,2688 | 0,52 | 1,7213 | 0,3132 | 0,90 | 1,9655 | 0,3577 |
-0,23 | 1,2392 | 0,2255 | 0,15 | 1,4835 | 0,2700 | 0,53 | 1,7277 | 0,3144 | 0,91 | 1,9720 | 0,3589 |
-0,22 | 1,2457 | 0,2267 | 0,16 | 1,4899 | 0,2711 | 0,54 | 1,7341 | 0,3156 | 0,92 | 1,9784 | 0,3600 |
-0,21 | 1,2521 | 0,2279 | 0,17 | 1,4963 | 0,2723 | 0,55 | 1,7406 | 0,3168 | 0,93 | 1,9848 | 0,3612 |
-0,20 | 1,2585 | 0,2291 | 0,18 | 1,5028 | 0,2735 | 0,56 | 1,7470 | 0,3179 | 0,94 | 1,9913 | 0,3624 |
-0,19 | 1,2649 | 0,2302 | 0,19 | 1,5092 | 0,2747 | 0,57 | 1,7534 | 0,3191 | 0,95 | 1,9977 | 0,3635 |
-0,18 | 1,2714 | 0,2314 | 0,20 | 1,5156 | 0,2758 | 0,58 | 1,7599 | 0,3203 | 0,96 | 2,0041 | 0,3647 |
-0.17 | 1,2778 | 0,2326 | 0,21 | 1.5220 | 0,2770 | 0,59 | 1,7663 | 0,3214 | 0,97 | 2,0105 | 0,3659 |
-0,16 | 1,2842 | 0,2337 | 0,22 | 1,5285 | 0,2782 | 0,60 | 1,7727 | 0,3226 | 0,98 | 2,0170 | 0,3671 |
-0,15 | 1,2906 | 0,2349 | 0,23 | 1,5349 | 0,2793 | 0,61 | 1.7791 | 0,3238 | 0,99 | 2,0234 | 0,3682 |
-0.14 | 1,2971 | 0,2361 | 0.24 | 1,5413 | 0.2805 | 0,62 | 1.7856 | 0,3249 | 1,00 | 2,0298 | 0,3694 |
-0,13 | 1,3035 | 0,2372 | 0,25 | 1,5477 | 0,2817 | 0,63 | 1,7920 | 0,3261 | |||
12. Значения постоянной хорды
для колес без смещения

mn, мм | 1 | 1.25 | 1,5 | 2 | 2,5 | 3 | 3,5 | |
| 1,387 | 1,734 | 2,081 | 2,774 | 3,468 | 4,161 | 4,855 | |
| 0,748 | 0,935 | 1,121 | 1,495 | 1,869 | 2,243 | 2,617 | |
mn, мм
| 4 | 5 | 6 | 7 | 8 | 9 | 10 | |
| 5,548 | 6,935 | 8,323 | 9,710 | 11,097 | 12,484 | 13,871 | |
к | 2,990 | 3,738 | 4,486 | 5,223 | 5,891 | 6,728 | 7,476 |
Табличные данные определены по формулам: для постоянной хорды
= 1,387mn, для высоты до постоянной хорды
= 0,748mn.
13. Значение коэффнцнента К (а = 20°) К = invat / inva
β | К | β | К | β | К | β | К |
8°00' | 1,0283 | 16°00' | 1,1192 | 24°00' | 1,2933 | 32°00' | 1,5952 |
8 10 | 1,0295 | 16 10 | 1.1219 | 24 10 | 1,2980 | 32 10 | 1,6033 |
8 20 | 1,0308 | 16 20 | 1,1246 | 24 20 | 1,3029 | 32 20 | 1,6116 |
8 30 | 1,0321 | 16 30 | 1,1274 | 24 30 | 1,3078 | 32 30 | 1,6200 |
8 40 | 1,0334 | 16 40 | 1,1302 | 24 40 | 1,3127 | 32 40 | 1,6285 |
8 50 | 1,0347 | 16 50 | 1,1330 | 24 50 | 1,3177 | 32 50 | 1,6371 |
9 00 | 1,0360 | 17 00 | 1,1358 | 25 00 | 1,3227 | 33 00 | 1,6457 |
9 10 | 1,0374 | 17 10 | 1,1387 | 25 10 | 1,3278 | 33 10 | 1,6545 |
9 20 | 1,0388 | 17 20 | 1,1416 | 25 20 | 1,3330 | 33 20 | 1,6634 |
9 30 | 1,0402 | 17 30 | 1,1446 | 25 30 | 1,3382 | 33 30 | 1,6723 |
9 40 | 1,0417 | 17 40 | 1,1476 | 25 40 | 1,3435 | 33 40 | 1,6814 |
9 50 | 1,0432 | 17 50 | 1,1507 | 25 50 | 1,3488 | 33 50 | 1,6906 |
10 00 | 1,0447 | 18 00 | 1,1538 | 26 00 | 1,3542 | 34 00 | 1,6999 |
10 10 | 1,0462 | 18 10 | 1,1569 | 26 10 | 1.3597 | 34 10 | 1,7092 |
10 20 | 1,0478 | 18 20 | 1,1600 | 26 20 | 1,3652 | 34 20 | 1,7188 |
10 30 | 1,0494 | 18 30 | 1,1632 | 26 30 | 1,3708 | 34 30 | 1,7284 |
10 40 | 1,0510 | 18 40 | 1,1664 | 26 40 | 1,3765 | 34 40 | 1,7381 |
10 50 | 1,0527 | 18 50 | 1.1697 | 26 50 | 1,3822 | 34 50 | 1.7479 |
11 00 | 1,0544 | 19 00 | 1.1730 | 27 00 | 1,3880 | 35 00 | 1,7579 |
11 10 | 1,0561 | 19 10 | 1,1764 | 27 10 | 1,3938 | 35 10 | 1,7680 |
11 20 | 1,0578 | 19 20 | 1,1798 | 27 20 | 1,3997 | 35 20 | 1,7782 |
11 30 | 1,0596 | 19 30 | 1,1832 | 27 30 | 1,4057 | 35 30 | 1,7884 |
11 40 | 1,0614 | 19 40 | 1,1867 | 27 40 | 1,4117 | 35 40 | 1,7989 |
11 50 | 1,0632 | 19 50 | 1,1902 | 27 50 | 1,4178 | 35 50 | 1,8095 |
12 00 | 1,0651 | 20 00 | 1,1938 | 28 00 | 1,4240 | 36 00 | 1.8201 |
12 10 | 1,0670 | 20 10 | 1,1974 | 28 10 | 1,4303 | 36 10 | 1.8309 |
12 20 | 1,0689 | 20 20 | 1,2010 | 28 20 | 1,4366 | 36 20 | 1,8419 |
12 30 | 1,0708 | 20 30 | 1,2047 | 28 30 | 1,4429 | 36 30 | 1,8529 |
12 40 | 1,0728 | 20 40 | 1,2085 | 28 40 | 1,4494 | 36 40 | 1,8641 |
12 50 | 1,0748 | 20 50 | 1,2123 | 28 50 | 1,4559 | 36 50 | 1.8754 |
13 00 | 1,0769 | 21 00 | 1.2161 | 29 00 | 1,4626 | 37 00 | 1.8869 |
13 10 | 1,0790 | 21 10 | 1,2200 | 29 10 | 1,4693 | 37 10 | 1,8985 |
13 20 | 1,0811 | 21 20 | 1,2239 | 29 20 | 1,4760 | 37 20 | 1,9102 |
13 30 | 1,0832 | 21 10 | 1,2279 | 29 10 | 1,4828 | 37 30 | 1 9221 |
Продолжение табл. 13
β | К | β | К | β | К | β | К |
13º40' | 1,0854 | 21°40' | 1,2319 | 29°40' | 1,4897 | 37°40' | 1,9341 |
13 50 | 1,0876 | 21 50 | 1,2360 | 29 50 | 1,4967 | 37 50 | 1,9463 |
14 00 | 1,0898 | 22 00 | 1,2401 | 30 00 | 1,5038 | 38 00 | 1,9586 |
14 10 | 1,0921 | 22 10 | 1,2442 | 30 10 | 1,5109 | 38 10 | 1,9710 |
14 20 | 1,0944 | 22 20 | 1,2484 | 30 20 | 1,5182 | 38 20 | 1,9836 |
14 30 | 1,0967 | 22 30 | 1,2527 | 30 30 | 1,5255 | 38 30 | 1,9963 |
14 40 | 1,0991 | 23 40 | 1,2570 | 30 40 | 1,5329 | 38 40 | 2,0093 |
14 50 | 1,1015 | 22 50 | 1,2614 | 30 50 | 1,5404 | 38 50 | 2,0224 |
15 00 | 1,1039 | 23 00 | 1,2658 | 31 00 | 1,5479 | 39 00 | 2,0355 |
15 10 | 1,1064 | 23 10 | 1,2702 | 31 10 | 1,5556 | 39 10 | 2,0490 |
15 20 | 1,1089 | 23 20 | 1,2747 | 31 20 | 1,5633 | 39 20 | 2,0626 |
15 30 | 1,1114 | 23 30 | 1,2793 | 31 30 | 1,5712 | 39 30 | 2,0764 |
15 40 | 1,1140 | 23 40 | 1,2839 | 31 40 | 1,5791 | 39 40 | 2,0902 |
15 50 | 1,1166 | 23 50 | 1,2886 | 31 50 | 1,5871 | 39 50 | 2,1043 |
40 00 | 2,1185 | ||||||
14. Значение части длины общей нормали WТ*, выраженной в долях модуля (а=20°)
zT | х | WТ* | zn | zT | х | WТ* | zn | |
8 9 10 | От 0,55 до 0,80 » 0,50 » 0,80 » 0,40 » 0,80 | 4,5402 4,5542 4,5683 | 2 2 2 | 20 | От -0,10 до 0,55 Св. 0,55 » 1,00 | 7,6604 10,6125 | 3 4 | |
11 | От 0,35 до 0,65 Св. 0,65 » 0,90 | 4,5823 7,5344 | 2 3 | 21 | От -0,15 до 0,45 Св. 0,45 » 1,00 | 7,6744 10,6265 | 3 4 | |
22 | От -0,25 до 0,35 Св. 0,35 » 1,00 | 7,6884 10,6405 | 3 4 | |||||
12 | От 0,30 до 0,50 Св. 0,50 » 1,00 | 4,5963 7,5484 | 2 3 | |||||
23 | От -0,30 до 0,30 Св. 0,30 » 1,00 | 7,7024 10,6545 | 3 4 | |||||
13 | От 0,25 до 0,40 Св. 0,40 » 1,00 | 4,6103 7,5624 | 2 3 | |||||
14 | От 0,20 до 0,30 Св. 0,30 » 1,00 | 4,6243 7,5764 | 2 3 | 24 | От -0,35 до 0,20 Св. 0,20 » 1,00 | 7,7165 10,6686 | 3 4 | |
15 | От 0,15 до 0,20 Св. 0,20 » 1,00 | 4,6383 7,5904 | 2 3 | 25 | От -0,35 до 0,15 Св. 0,15 » 1,00 | 7,7305 10,6826 | 3 4 | |
16 | От 0,05 до 0,15 Св. 0,15 » 1,00 | 4,6523 7,6044 | 2 3 | 26 | От -0,40 до 0,05 Св. 0,05 » 0,80 » 0,80 » 1,00 | 7,7445 10,6966 13,6487 | 3 4 5 | |
17 | От 0 до 0,90 Св. 0,90 » 1,00 | 7,6184 10,5705 | 3 4 | 27 | От -0,45 до 0 Св. 0 » 0,70 » 0,70 » 1,00 | 7,7585 10,7106 13,6627 | 3 4 5 | |
18 | От 0 до 0,75 Св. 0,75 » 1,00 | 7,6324 10,5845 | 3 4 | |||||
28 | От -0,50 до-0,05 Св. -0,05 » 0,60 » 0,60 » 100 | 7,7725 10,7246 13,6767 | 3 4 5 | |||||
19 | От -0,05 до 0,65 Св. 0,65 » 1,00 | 7,6464 10,5985 | 3 4 |
Продолжение табл. 14
zT | х | WТ* | zn | zT | х | WТ* | zn | |
29 | От-0,50 до-0,10 Св. -0,10 » 0,50 » 0,50 » 1,00 | 7,7865 10,7386 13,6907 | 3 4 5 | 4 1 | От -0,50 до -0,30 Св. -0,30 » 0,25 » 0,25 » 1,00 | 10,9067 13,8588 16,8109 | 4 5 6 | |
30 | От -0,50 до -0,20 Св. -0,20 » 0,45 » 0,45 » 1,00 | 7,8005 10,7526 13,7047 | 3 4 5 | 42 | От-0,50 до-0,35 Св. -0,35 » 0,20 » 0,20 » 1,00 | 10,9207 13,8728 16,8249 | 4 5 6 | |
31 | От -0,50 до -0,25 Св. -0,25 » 0,35 » 0,35 » 1,00 | 7,8145 10,7666 13,7187 | 3 4 5 | 43 | От -0,50 до -0,40 Св. -0,40 » 0,15 » 0,15 » 0,80 » 0,80 » 1,00 | 10,9347 13,8868 16,8389 19,7910 | 4 5 6 7 | |
32 | От-0,50 до-0,30 Св. -0,30 » 0,25 » 0,25 » 1,00 | 7,8285 10,7806 13,7327 | 3 4 5 | |||||
44 | От -0,50 до -0,45 Св. -0,45 » 0,05 » 0,05 » 0,75 » 0,75 » 1,00 | 10,9487 13,9008 16,8529 19,8050 | 4 5 6 7 | |||||
33 | От -0,50 до -0,35 Св. -0,35 » 0,20 » 0,20 » 1,00 | 7,8425 10,7946 13,7467 | 3 4 5 | |||||
45 | От -0,50 до 0 Св. 0 » 0,65 » 0,65 » 1,00 | 13,9148 16,8669 19,8190 | 5 6 7 | |||||
34 | От -0,50 до -0,40 Св. -0,40 » 0,15 » 0,15 » 1,00 | 7,8565 10,8086 13,7607 | 3 4 5 | |||||
46 | От -0,50 до -0,05 Св. -0,05 » 0,55 » 0,55 » 1,00 | 13,9289 16,8810 19,8331 | 5 6 7 | |||||
35 | От -0,50 до -0,45 Св. -0,45 » 0,05 » 0,05 » 0,75 » 0,75 » 1,00 | 7,8706 10,8227 13,7748 16,7269 | 3 4 5 6 | |||||
47 | От -0,50 до -0,10 Св. -0,10 » 0,50 » 0,50 » 1,00 | 13,9429 16,8950 19,8471 | 5 6 7 | |||||
36 | От -0,50 до 0 Св. 0 » 0,65 » 0,65 » 1,00 | 10,8367 13,7888 16,7409 | 4 5 6 | |||||
48 | От-0,50 до-0,20 Св. -0,20 » 0,40 » 0,40 » 1,00 | 13,9569 16,9090 19,8611 | 5 6 7 | |||||
37 | От -0,50 до -0,05 Св. -0,05 » 0,60 » 0,60 » 1,00 | 10,8507 13,8025 16,7549 | 4 5 6 | |||||
49 | От -0,50 до -0,25 Св. 0,25 » 0,35 » 0,35 » 1,00 | 13,9709 16,9230 19,8751 | 5 6 7 | |||||
38 | От-0,50 до-0,10 Св. -0,10 » 0,50 » 0,50 » 1,00 | 10,8647 13,8168 16,7689 | 4 5 6 | |||||
50 | От -0,50 до -0,30 Св. 0,30 » 0,25 » 0,25 » 1,00 | 13,9849 16,9370 19,8891 | 5 6 7 | |||||
39 | От-0,50 до-0,20 Св.-0,20 » 0,40 » 0,40 » 1,00 | 10,8787 13,8308 16,7829 | 4 5 6 | |||||
51 | От 0,50 до 0,35 Св. -0,35 » 0,20 » 0,20 » 1,00 | 13,9989 16,9510 19,9031 | 5 6 7 | |||||
40 | От-0,50 до-0,25 Св. -0,25 » 0,35 » 0,35 » 1,00 | 10,8927 13,8448 16,7969 | 4 5 6 |
Продолжение табл. 14
zT | х | WТ* | zn | zT | х | WТ* | zn | |
52 | От -0,50 до -0,40 Св. -0,40 » 0,15 » 0,15 » 0,80 » 0,80 » 1,00 | 14,0129 16,9650 19.9171 22,8692 | 5 6 7 8 | 62 | От -0,50 до -0,45 Св. -0,45 » 0,05 » 0,05 » 0,70 » 0,70 » 1,00 | 17,1051 20,0572 23,0093 25,9614 | 6 7 8 9 | |
63 | От -0,50 до 0 Св. 0 » 0,60 » 0,60 » 1,00 | 20,0712 23,0233 25,9754 | 7 8 9 | |||||
53 | От -0,50 до -0,45 Св. -0,45 » 0,05 » 0,05 » 0,70 » 0,70 » 1,00 | 14,0269 16.9790 19,9311 22,8832 | 5 6 7 8 | |||||
64 | От -0,50 до -0,05 Св. -0,05 » 0,55 » 0,55 » 1,00 | 20,0852 23,0373 25,9894 | 7 8 9 | |||||
54 | От -0,50 до 0 Св. 0 » 0,65 » 0,65 » 1,00 | 16,9930 19,9451 22,8972 | 6 7 8 | |||||
65 | От-0,55 до-0,10 Св. -0,10 » 0,45 » 0,45 » 1,00 | 20,0992 23,0513 26,0034 | 7 8 9 | |||||
55 | От -0,50 до -0,05 Св. -0,05 » 0,55 » 0,55 » 1,00 | 17,0071 19,9592 22,9113 | 6 7 8 | |||||
66 | От -0,50 до -0,20 Св. -0,20 » 0,40 » 0,40 » 1,00 | 20,1132 23,0653 26,0174 | 7 8 9 | |||||
56 | От -0,50 до-0,10 Св. -0,10 » 0,50 » 0,50 » 1,00 | 17,0211 19,9732 22,9253 | 6 7 8 | |||||
67 | От -0,50 до -0,25 Св. -0,25 » 0,35 » 0,35 » 1,00 | 20,1272 23,0793 26,0314 | 7 8 9 | |||||
57 | От -0,50 до -0,20 Св. -0,20 » 0,40 » 0,40 » 1,00 | 17,0351 19,9872 22,9393 | 6 7 8 | |||||
68 | От-0,50 до-0,30 Св. -0,30 » 0,25 » 0,25 » 1,00 | 20,1412 23,0933 26,0454 | 7 8 9 | |||||
58 | От -0,50 до -0,25 Св. -0,25 » 0,35 » 0,35 » 1,00 | 17,0491 20,0012 22,9533 | 6 7 8 | |||||
69 | От -0,50 до -0,35 Св. -0,35 » 0,20 »0,20 » 0,85 » 0,85 » 1,00 | 20,1553 23,1074 26,0595 29,0116 | 7 8 9 10 | |||||
59 | От -0,50 до -0,30 Св. -0,30 » 0,25 » 0,25 » 1,00 | 17,0631 20,0152 22,9673 | 6 7 8 | |||||
70 | От -0,50 до -0,40 Св. -0,40 » 0,15 » 0,15 » 0,75 » 0,75 » 1,00 | 20,1693 23,1214 26,0735 29,0256 | 7 8 9 10 | |||||
60 | От -0,50 до-0,35 Св. -0,35 » 0,20 » 0,20 » 1,00 | 17,0771 20.0292 22,9813 | 6 7 8 | |||||
61 | От -0,50 до -0,40 Св. -0,40 » 0,15 » 0,15 » 0,80 » 0,80 » 1.00 | 17,0911 20,0432 22,9953 25,9474 | 6 7 8 9 | |||||
71 | От -0,50 до 0,05 Св. -0,05 » 0,70 » 0,70 » 1,00 | 23,1354 26,0875 29.0396 | 8 9 10 |
Продолжение табл. 14.
zT | х | WТ* | zn | zT | х | WТ* | zn | |
72 | От -0,50 до 0 Св. 0 » 0,60 » 0,60 » 1,00 | 23,1494 26,1015 29,0536 | 8 9 10 | 82 | От -0,50 до -0,05 Св. -0,05 » 0,55 » 0,55 » 1,00 | 26,2416 29,1937 32,1458 | 9 10 11 | |
83 | От-0,50 до-0,10 Св. -0,10 » 0,45 » 0,45 » 1,00 | 26,2556 29,2077 32,1598 | 9 10 11 | |||||
73 | От -0,50 до -0,05 Св. -0,05 » 0,55 » 0,55 » 1,00 | 23,1634 26,1155 29,0676 | 8 9 10 | |||||
84 | От-0,50 до -0,20 Св. -0,20 » 0,40 » 0,40 » 1,00 | 26,2696 29,2217 32,1738 | 9 10 11 | |||||
74 | От -0,50 до -0,10 Св, -0,10 » 0,45 »0,45 » 1,00 | 23,1774 26,1295 29,0816 | 8 9 10 | |||||
85 | От-0,50 до-0,25 Св. -0,25 » 0,35 » 0,35 » 1,00 | 26,2836 29,2357 32,1878 | 9 10 11 | |||||
75 | От-0,50 до-0,20 Св. -0,20 » 0,40 » 0,40 » 1,00 | 23,1914 26,1435 29,0956 | 8 9 10 | |||||
86 | От-0,50 до -0,30 Св. -0,30 » 0,25 » 0,25 » 1,00 | 26,2976 29,2497 32,2018 | 9 10 11 | |||||
76 | От -0,50 до -0,25 Св. -0,25 » 0,35 » 0,35 » 1,00 | 23,2054 26,1575 29,1096 | 8 9 10 | |||||
87 | От -0,50 до -0,35 Св. -0,35 » 0,20 » 0,20 » 0,85 » 0,85 » 1,00 | 26,3116 29,2637 32,2158 35,1679 | 9 10 11 12 | |||||
77 | От-0,50 до-0,30 Св. -0,30 » 0,25 »0,25 » 1,00 | 23,2194 26,1715 29,1236 | 8 9 10 | |||||
88 | От -0,50 до -0,40 Св. -0,40 » 0,15 » 0,15 » 0,75 » 0,75 » 1,00 | 26,3256 29,2777 32,2298 35,1819 | 9 10 11 12 | |||||
78 | От-0,50 до-0,35 Св. -0,35 » 0,20 » 0,20 » 0,85 » 0,85 » 1,00 | 23,2334 26,1855 29,1376 32,0897 | 8 9 10 11 | |||||
89 | От 0,50 до 0,05 Св. 0,05 » 0,70 » 0,70 » 1,00 | 28,2917 32,2438 35,1959 | 10 11 12 | |||||
79 | От -0,50 до -0,40 Св. -0,40 » 0,15 »0,15 » 0,75 » 0,75 » 1,00 | 23,2474 26,1995 29,1516 32,1037 | 8 9 10 11 | |||||
90 | От-0,50 до 0 Св. 0 » 0,60 » 0,60 » 1,00 | 29,3057 32,2578 35,2099 | 10 11 12 | |||||
80 | От -0,50 до 0,05 Св. 0,05 » 0,70 » 0,70 » 1,00 | 26.2135 29,1656 32,1177 | 9 10 11 | |||||
91 | От -0,50 до -0,05 Св. -0,05 » 0,55 » 0,55 » 1,00 | 29,3198 32,2719 35.2240 | 10 11 12 | |||||
81 | От -0,50 до 0 Св. 0 » 0,60 » 0,60 » 1,00 | 26,2276 29,1797 32,1318 | 9 10 11 | |||||
92 | От-0.50 до-0,10 Св. -0,10 » 0,45 »0,45 » 1,00 | 29,3338 32,2859 35,2380 | 10 11 12 |
Продолжение табл. 14
zT | х | WТ* | zn | zT | х | WТ* | zn | |
93 | От -0,50 до -0,20 Св. -0,20 » 0,40 » 0,40 » 1,00 | 29,3478 32,2999 35,2520 | 10 11 12 | 104 | От -0,50 до -0,30 Св. -0,30 » 0,25 » 0,25» 1,00 | 32,4540 35,4061 38,3582 | 11 12 13 | |
105 | От -0,50 до -0,35 Св. -0,35 » 0,20 »0,20 » 0,80 » 0,80 » 1,00 | 32,4680 35,4201 38,3722 41,3243 | 11 12 13 14 | |||||
94 | От-0,50 до-0,25 Св. -0,25 » 0,35 » 0,35 » 1,00 | 29,3618 32,3139 35,2660 | 10 11 12 | |||||
106 | От -0,50 до -0,45 Св. -0,45 » 0,15 » 0,15 » 0,75 » 0,75 » 1,00 | 32,4820 35,4341 38,3862 41,3383 | 11 12 13 14 | |||||
95 | От -0,50 до -0,30 Св. -0,30 » 0,25 » 0,25 » 1,00 | 29,3758 32,3279 35,2800 | 10 11 12 | |||||
107 | От -0,50 до 0,05 Св. 0,05 » 0,65 » 0,65 » 1,00 | 35,4481 38,4002 41,3523 | 12 13 14 | |||||
96 | От -0,50 до -0,35 Св. -0,35 » 0,20 » 0,20 » 0,80 » 0,80 » 1,00 | 29,3898 32,3419 35,2940 38,2461 | 10 11 12 13 | |||||
108 | От -0,50 до 0 Св. 0 » 0,60 » 0,60 » 1,00 | 35,4621 38,4142 41,3663 | 12 13 14 | |||||
97 | От -0,50 до -0,40 Св. -0,40 » 0,15 » 0,15 » 0,75 » 0,75 » 1,00 | 29,4038 32,3559 35,3080 38,2601 | 10 11 12 13 | |||||
109 | От -0,50 до -0,05 Св. -0,05 » 0,55 » 0,55 » 1,00 | 35,4761 38,4282 41,3803 | 12 13 14 | |||||
98 | От -0,50 до 0,05 Св. 0,05 » 0,70 » 0,70 » 1,00 | 32,2699 35,3220 38,2741 | 11 12 13 | |||||
110 | От -0,50 до -0,15 Св. -0,15 » 0,45 » 0,45 » 1,00 | 35,4901 38,4422 41,3943 | 12 13 14 | |||||
99 | От -0,50 до 0 Св. 0 » 0,60 » 0,60 » 1,00 | 32,3839 35,3360 38,2881 | 11 12 13 | |||||
111 | От -0,50 до -0,20 Св. -0,20 » 0,40 » 0,40 » 1,00 | 35,5041 38,4562 41,4083 | 12 13 14 | |||||
100 | От -0,50 до -0,05 Св. -0,05 » 0,55 » 0,55 » 1,00 | 32,3979 35,3500 38,3021 | 11 12 13 | |||||
112 | От -0,50 до -0,25 Св. -0,25 » 0,35 » 0,35 » 1,00 | 35,5181 38,4702 41,4223 | 12 13 14 | |||||
101 | От 0,50 до 0,15 Св. -0,15 » 0,45 » 0,45 » 1,00 | 32,4119 35,3640 38,3161 | 11 12 13 | |||||
113 | От -0,50 до -0,30 Св. -0,30 » 0,25 » 0,25 » 1,00 | 35,5321 38,4842 41,4363 | 12 13 14 | |||||
102 | От -0,50 до -0,20 Св. -0,20 » 0,40 » 0,40 » 1,00 | 32,4260 35,3781 38,3302 | 11 12 13 | |||||
114 | От -0,50 до -0,35 Св. -0,35 » 0,20 » 0,20 » 0,80 » 0,80 » 1,00 | 35,5461 38,4982 41,4503 44,4024 | 12 13 14 15 | |||||
103 | От -0,50 до -0,25 Св. -0,25 » 0,35 » 0,35 » 1,00 | 32,4400 35,3921 38,3442 | 11 12 13 |
Продолжение табл. 14.
zT | х | WТ* | zn | zT | х | WТ* | zn | |
115 | От -0,50 до -0,45 Св. -0,45 » 0,15 » 0,15 » 0,75 » 0,75 » 1,00 | 35,5602 38,5123 41,4644 44,4165 | 12 13 14 15 | 121 | От -0,50 до -0,25 Св. -0,25 » 0,35 » 0,35 » 1,00 | 38,5963 41,5484 44,5005 | 13 14 15 | |
122 | От -0,50 до -0,30 Св. -0,30 » 0,25 » 0,25 » 1,00 | 38,6103 41,5624 44,5145 | 13 14 15 | |||||
116 | От -0,50 до 0,05 Св. 0,05 » 0,65 » 0,65 » 1,00 | 38,5263 41,4784 44,4305 | 13 14 15 | |||||
123 | От -0,50 до -0,35 Св. -0,35 » 0,20 » 0,20 » 0,80 » 0,80 » 1,00 | 38,6243 41,5764 44,5285 47,4806 | 13 14 15 16 | |||||
117 | От -0,50 до 0 Св. 0 » 0,60 » 0,60 » 1,00 | 38,5403 41,4924 44,4445 | 13 14 15 | |||||
118 | От -0,50 до -0,05 Св. -0,05 » 0,55 » 0,55 » 1,00 | 38,5543 41,5064 44,4585 | 13 14 15 | 124 | От-0,50 до -0,45 Св. -0,45 » 0,15 » 0,15 » 0,75 » 0,75 » 1,00 | 38,6383 41,5904 44,5425 47,4946 | 13 14 15 16 | |
119 | От -0,50 до -0,15 Св. -0,15 » 0,45 » 0,45 » 1,00 | 38,5683 41,5204 44,4725 | 13 14 15 | |||||
125 | От -0,50 до -0,05 Св. -0,05 » 0,65 » 0,65 » 1,00 | 41,6044 44,5565 47,5086 | 14 15 16 | |||||
120 | От-0,50 до-0,20 Св. -0,20 » 0,40 » 0,40 » 1,00 | 38,5823 41,5344 44,4865 | 13 14 15 |
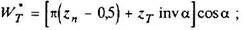
Примечание. Значения WT* рассчитаны по формуле

здесь zn - округленное до ближайшего целого числа значение znr:

15. Формулы для определения основных размеров цилиндрических передач со смещением
Параметры и обозначения | Расчетные формулы и указания |
Исходные данные | |
Число зубьев z Модуль m Угол наклона β Реальный исходный контур Межосевое расстояние aw | 1. Межосевое расстояние входит в исходные данные, если его значение задано. 2. Коэффициенты смешения х1 и х2 входят в исходные данные, если значение межосевого расстояния awне задано. При исходном контуре по ГОСТ 13755-81 величины х1 и х2 рекомендуется выбирать по табл. 4 и 5 |
Расчет коэффициентов смещения х1 и х2 при заданном межосевом расстоянии | |
Делительное межосевое расстояние а Угол профиля а1 Угол зацепления аtw Коэффициент суммы смещений xΣ |
|
Расчет межосевого расстояния aw при заданных коэффициентах смещения х1 и х2 | |
Коэффициент суммы смещений хΣ Угол профиля аt Угол зацепления atw Межосевое расстояние aw |
|
Расчет диаметровзубчатых колес | |
Делительный диаметр d Передаточное число u Начальный диаметр dw Коэффициент воспринимаемого смешения у Коэффициент уравнительного смещения Δу Диаметр вершин зубьев da Диаметр впадин df(размер справочный) |
|
Примечания:
1. Для прямозубых передач β = 0°, тогда а = 0,5(z1 + z2)m, аt = a, d= zm.
2. При a = aw получаем atw = at, xΣ = 0, dw = d, у = 0 и Δy = 0.
3. При xΣ= 0 получаем atw = at, aw= a, dw = d, у = 0 и Δy = 0.
Продолжение табл. 15
Расчет постоянной хорды и высоты до постоянной хорды
Постоянная хорда, выраженная в долях модуля Постоянная хорда Расстояние постоянной хорды от делительной окружности, выраженное в долях модуля Высота до постоянной хорды |
|
Расчет длины общей нормали | |
Условное число зубьев zK Часть длины общей нормали, определяемая целой частью zT величины zK, выраженная в долях модуля WT* Часть длины общей нормали, определяемая дробной частью величины zK, выраженная в долях модуля Часть длины общей нормали, определяемая смещением исходного контура, выраженная в долях модуля Wх* Длина общей нормали W |
Для прямозубых колес длину общей нормали проще принимать по табл. 17 |
Расчет толщины по хорде и высоты до хорды | |
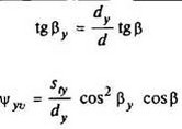
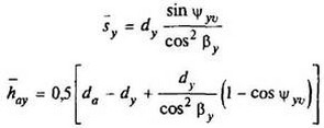
Угол профиля ау в точке на концентрической окружности заданного диаметра dу Окружная толщина sty на заданном диаметре dy |
|
Угол наклона линии зуба βy соосной цилиндрической поверхности диаметром dy Половина угловой толщины зуба ψуv эквивалентного зубчатого колеса, соответствующая концентрической окружности диаметром d / cos2βу Толщина по хорде Высота до хорды |
|
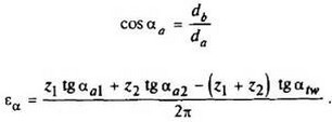
Расчет размера по роликам (шарикам) (рис. 13 и 14) | |
Диаметр ролика (шарика) D Угол профиля в точке на концентрической окружности зубчатого колеса, проходящей через центр ролика (шарика) aD Диаметр концентрической окружности зубчатого колеса, проходящей через центр ролика (шарика) dD Размер по роликам (шарикам) прямозубых и косозубых зубчатых колес с четным числом зубьев М То же, прямозубых колес с нечетным числом зубьев М Размер по роликам (шарикам) косозубых зубчатых колес с нечетным числом М зубьев, а также с четным числом М зубьев при β > 45° |
|
Нормальная толщина sn Основной диаметр db Основной угол наклона βb Шаг зацепления ра Осевой шаг рх Ход рz Коэффициент наименьшего смещения xmin | Вспомогательную величину λ упрощенно определяют по графику на рис. 16. Должно выполняться условие
xmin – по графику на рис. 7 |
Проверка коэффициента перекрытия | |
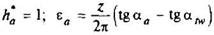
Угол профиля зуба в точке окружности вершин аа Коэффициент торцового перекрытия εа Коэффициент осевого перекрытия еβ |
Для прямозубых передач рекомендуется еа ≥ 1,2 Для косозубых передач рекомендуется еа ≥ 1,0. Коэффициенты торцового перекрытия передачи без смещения εа1 и εа2 определяют по графику на рис. 15, если da1 и da2 рассчитаны по формулам εβ = bw / px где bw - рабочая ширина венца; рх - осевой шаг. Рекомендуется εβ ≥ 1,0 εv= εa + εβ |
Более полный и упрошенный геометрический расчет эвольвентного внешнего зацепления ГОСТ 16532-70.

Рис. 13. Размеры по роликам при четном числе зубьев

Рис. 14. Размеры по роликам при нечетном числе зубьев

Рис. 15. График для определения величины εа1 и εа2 передачи без смещения в зависимости от z и β (а = 20°),

Пример. Дано: z1 = 22 , z2 = 55, β = 15°. По графику при z и β определяем εa1 = 0,76 (см. штриховые линии); при z2 и β определяем εa2 = 0,84 (см. штриховые линии)

Рис. 16. График для определения величины X в зависимости от г н pD
Пример. Дано: z = 13; βD = 28°40'. По графику определяем λ = 5°45' (см. штриховую линию)
16. Значение эвольвентой функции (iav a)
Минуты | 0° | 1° | 2° | 3° | 4° | 5° | 6° |
0 | 0,000000000000 | 0,00000177 | 0,00001418 | 0,00004790 | 0,00011364 | 0,00022220 | 0,0003845 |
1 | 0008 | 186 | 454 | 871 | 507 | 443 | 877 |
2 | 0066 | 196 | 491 | 952 | 651 | 668 | 909 |
3 | 0122 | 205 | 528 | 0,00005034 | 796 | 894 | 942 |
4 | 0525 | 215 | 565 | 117 | 943 | 0,00023123 | 975 |
5 | 1026 | 225 | 603 | 201 | 0,00012090 | 352 | 0,0004008 |
6 | 1772 | 236 | 642 | 286 | 239 | 583 | 041 |
7 | 2814 | 247 | 682 | 372 | 389 | 816 | 074 |
8 | 4201 | 258 | 722 | 458 | 541 | 0,00024049 | 108 |
9 | 5981 | 270 | 762 | 546 | 693 | 284 | 141 |
10 | 8205 | 281 | 804 | 634 | 847 | 522 | 175 |
11 | 0,000000010920 | 0,00000294 | 0,00001846 | 0,00005724 | 0,00013002 | 0,00024761 | 0,0004209 |
12 | 14178 | 306 | 888 | 814 | 158 | 0,00025001 | 244 |
13 | 18026 | 319 | 931 | 906 | 316 | 243 | 278 |
14 | 22514 | 333 | 975 | 998 | 474 | 486 | 313 |
15 | 27691 | 346 | 0,00002020 | 0,00006091 | 634 | 731 | 347 |
16 | 33606 | 360 | 065 | 186 | 796 | 977 | 382 |
17 | 40310 | 375 | 111 | 281 | 958 | 0,00026225 | 417 |
18 | 47850 | 389 | 158 | 377 | 0,00014122 | 474 | 453 |
19 | 56276 | 404 | 205 | 474 | 287 | 726 | 488 |
20 | 65638 | 420 | 253 | 573 | 453 | 978 | 524 |
21 | 0,000000075984 | 0,00000436 | 0,00002301 | 0,00006672 | 0,00014621 | 0,00027233 | 0,0004560 |
22 | 087364 | 452 | 351 | 772 | 790 | 489 | 596 |
23 | 099827 | 469 | 401 | 873 | 960 | 746 | 632 |
24 | 113423 | 486 | 452 | 975 | 0,00015132 | 0,00028005 | 669 |
25 | 128199 | 504 | 503 | 0,00007078 | 305 | 266 | 706 |
26 | 144207 | 522 | 555 | 183 | 479 | 528 | 743 |
27 | 161495 | 540 | 608 | 288 | 655 | 792 | 780 |
28 | 180212 | 559 | 662 | 394 | 831 | 0,00029058 | 817 |
29 | 200108 | 579 | 716 | 501 | 0,00016010 | 325 | 854 |
30 | 221531 | 598 | 771 | 610 | 189 | 594 | 892 |
31 | 0,000000244431 | 0,00000618 | 0,00002827 | 0,00007719 | 0,00016370 | 0,00029864 | 0,0004930 |
32 | 268857 | 639 | 884 | 829 | 552 | 0,00030137 | 968 |
33 | 294859 | 660 | 941 | 941 | 736 | 410 | 0,0005006 |
34 | 322486 | 682 | 999 | 0,00008053 | 921 | 686 | 045 |
35 | 351787 | 704 | 0,00003058 | 167 | 0,00017107 | 963 | 083 |
36 | 382810 | 726 | 117 | 281 | 294 | 0,00031242 | 122 |
37 | 415607 | 749 | 178 | 397 | 483 | 522 | 161 |
38 | 450224 | 772 | 239 | 514 | 674 | 804 | 200 |
39 | 486713 | 796 | 301 | 632 | 866 | 0,00032088 | 240 |
40 | 525122 | 821 | 364 | 751 | 0,00018059 | 374 | 280 |
41 | 0,000000565501 | 0,00000846 | 0,00003427 | 0,00008871 | 0,00018253 | 0,00032661 | 0,0005319 |
42 | 0607898 | 871 | 491 | 992 | 449 | 950 | 359 |
43 | 0652363 | 897 | 556 | 0,00009114 | 646 | 0,00033241 | 400 |
44 | 0698946 | 923 | 622 | 237 | 845 | 533 | 440 |
45 | 0747695 | 950 | 689 | 362 | 0,00019045 | 827 | 481 |
46 | 0798660 | 978 | 757 | 487 | 247 | 0,00034123 | 522 |
47 | 0851889 | 0,00001005 | 825 | 614 | 450 | 421 | 563 |
48 | 0907433 | 034 | 894 | 742 | 654 | 720 | 604 |
49 | 0965341 | 063 | 964 | 870 | 860 | 0,00035021 | 645 |
50 | 1025661 | 092 | 0,00004035 | 0,00010000 | 0,00020067 | 324 | 687 |
51 | 0,000001088443 | 0,00001123 | 0,00004107 | 0^00010132 | 0,00020276 | 0,00035628 | 0,0005729 |
52 | 1153737 | 153 | 179 | 264 | 486 | 934 | 771 |
53 | 1221591 | 184 | 252 | 397 | 698 | 0 00036242 | 813 |
54 | 1292056 | 216 | 327 | 532 | 911 | 552 | 856 |
55 | 1365179 | 248 | 402 | 668 | 0,00021125 | 864 | 898 |
56 | 1441011 | 281 | 478 | 805 | 341 | 0,00037177 | 941 |
57 | 1519600 | 315 | 554 | 943 | 559 | 492 | 985 |
58 | 1600997 | 349 | 632 | 0,00011082 | 778 | 809 | 0,0006028 |
59 | 1685250 | 383 | 711 | 223 | 998 | 0,00038128 | 071 |
60 | 0,000001772408 | 0,00001418 | 0,00004790 | 0,00011364 | 0,00022220 | 0,00038448 | 0,0006115 |
Продолжение табл. 16
Минуты | 7° | 8° | 9° | 10° | 11° | 12° | 13° |
0 | 0,0006115 | 0,0009145 | 0,0013048 | 0,0017941 | 0,0023941 | 0,0031171 | 0,0039754 |
1 | 158 | 203 | 121 | 0,0018031 | 0,0024051 | 302 | 909 |
2 | 203 | 260 | 195 | 122 | 161 | 434 | 0,0040065 |
3 | 248 | 318 | 268 | 213 | 272 | 567 | 221 |
4 | 292 | 377 | 342 | 305 | 383 | 699 | 377 |
5 | 337 | 435 | 416 | 397 | 495 | 832 | 534 |
6 | 382 | 494 | 491 | 489 | 607 | 966 | 692 |
7 | 427 | 553 | 566 | 581 | 719 | 0,0032100 | 849 |
8 | 473 | 612 | 641 | 674 | 831 | 234 | 0,0041008 |
9 | 518 | 672 | 716 | 767 | 944 | 369 | 166 |
10 | 564 | 732 | 792 | 860 | 0,0025057 | 504 | 325 |
11 | 0,0006610 | 0,0009792 | 0,0013868 | 0,0018954 | 0,0025171 | 0,0032639 | 0,0041485 |
12 | 657 | 852 | 944 | 0,0019048 | 285 | 775 | 644 |
13 | 703 | 913 | 0,0014020 | 142 | 399 | 911 | 805 |
14 | 750 | 973 | 97 | 237 | 513 | 0,0033048 | 965 |
15 | 797 | 0,00010034 | 174 | 332 | 628 | 185 | 0,0042126 |
16 | 844 | 096 | 251 | 427 | 744 | 322 | 288 |
17 | 892 | 157 | 329 | 523 | 859 | 460 | 450 |
18 | 939 | 219 | 407 | 619 | 975 | 598 | 612 |
19 | 987 | 281 | 485 | 715 | 0,0026091 | 736 | 775 |
20 | 0,0007035 | 343 | 563 | 812 | 208 | 875 | 938 |
21 | 0,0007083 | 0,0010406 | 0,0014642 | 0,0019909 | 0,0026325 | 0,0034014 | 0,0043102 |
22 | 132 | 469 | 721 | 0,0020006 | 443 | 154 | 266 |
23 | 181 | 532 | 800 | 103 | 560 | 294 | 430 |
24 | 230 | 595 | 880 | 201 | 678 | 434 | 595 |
25 | 279 | 659 | 960 | 299 | 797 | 575 | 760 |
26 | 328 | 722 | 0,0015040 | 398 | 916 | 716 | 926 |
27 | 378 | 786 | 120 | 497 | 0,0027035 | 858 | 0,0044092 |
28 | 428 | 851 | 201 | 596 | 154 | 0,0035000 | 259 |
29 | 478 | 915 | 282 | 695 | 274 | 142 | 426 |
30 | 528 | 980 | 363 | 795 | 394 | 285 | 593 |
31 | 0,0007579 | 0,0011045 | 0,0015445 | 0,0020895 | 0,0027515 | 0,0035428 | 0,0044761 |
32 | 629 | 111 | 527 | 995 | 636 | 572 | ~Ш |
33 | 680 | 176 | 699 | 0,0021096 | 757 | 716 | 0,0045098 |
34 | 732 | 242 | 691 | 197 | 879 | 860 | 267 |
35 | 783 | 308 | 774 | 299 | 0,0028001 | 0,0036005 | 437 |
36 | 835 | 375 | 857 | 400 | 123 | 150 | 607 |
37 | 887 | 441 | 941 | 502 | 246 | 296 | 777 |
38 | 939 | 508 | 0,0016024 | 605 | 369 | 441 | 948 |
39 | 991 | 575 | 108 | 707 | 493 | 588 | 0,0046120 |
40 | 0,0008044 | 643 | 193 | 810 | 616 | 735 | 291 |
41 | 0,0008096 | 0,0011711 | 0,0016277 | 0,0021914 | 0,0028741 | 0,0036882 | 0,0046464. |
42 | 150 | 779 | 362 | 0,0022017 | 865 | 0,0037029 | бзТ |
43 | 203 | 847 | 447 | 121 | 990 | 177 | 809 |
44 | 256 | 915 | 533 | 226 | 0,0029115 | 326 | 983 |
45 | 310 | 984 | 618 | 330 | 241 | 474 | 0,0047157 |
46 | 364 | 0,0012053 | 704 | 435 | 367 | 623 | 331 |
47 | 418 | 122 | 791 | 541 | 494 | 773 | 506 |
48 | 473 | 192 | 877 | 647 | 620 | 923 | 681 |
49 | 527 | 262 | 964 | 753 | 747 | 0,0038073 | 857 |
50 | 582 | 332 | 0,0017051 | 859 | 875 | 224 | 0,0048033 |
51 | 0,0008638 | 0,0012402 | 0,0017129 | 0,0022966 | 0,0030003 | 0,0038375 | 0,0048210 |
52 | 693 | 473 | 227 | 0,0023073 | 131 | 527 | 387 |
53 | 749 | 544 | 315 | 180 | 260 | 679 | 564 |
54 | 805 | 615 | 403 | 288 | 389 | 831 | 742 |
55 | 861 | 687 | 492 | 396 | 518 | 984 | 921 |
56 | 9)7 | 758 | 581 | 504 | 648 | 0,0039137 | 0,0049099 |
57 | 974 | 830 | 671 | 613 | 778 | 291 | 279 |
58 | 0,0009031 | 903 | 760 | 722 | 908 | 445 | 458 |
59 | 088 | 975 | 850 | 831 | 0,0031039 | 599 | 639 |
60 | 0,0009145 | 0,0013048 | 0,0017941 | 0 0023941 | 0,0031171 | 0,0039764 | 0,0049819 |
Продолжение табл. 16
Минуты | 14° | 15° | 16° | 17° | 18° | 19° | 20° | 21° | 22º |
0 | 0,0049819 | 0,0061498 | 0,007493 | 0,009025 | 0,010760 | 0,012715 | 0,014904 | 0,017345 | 0,020054 |
1 | 0,0050000 | 707 | 517 | 052 | 791 | 750 | 943 | 388 | 101 |
2 | 182 | 917 | 541 | 079 | 822 | 784 | 982 | 431 | 149 |
3 | 364 | 0,0062127 | 565 | 107 | 853 | 819 | 0,015020 | 474 | 197 |
4 | 546 | 337 | 589 | 134 | 884 | 854 | 059 | 517 | 244 |
5 | 729 | 548 | 613 | 161 | 915 | 888 | 098 | 560 | 292 |
6 | 912 | 760 | 637 | 189 | 946 | 923 | 137 | 603 | 340 |
7 | 0,0051096 | 972 | 661 | 216 | 977 | 958 | 176 | 647 | 388 |
8 | 280 | 0,0063184 | 686 | 244 | 0,011008 | 993 | 215 | 690 | 436 |
9 | 465 | 397 | 810 | 272 | 039 | 0,013028 | 254 | 734 | 484 |
10 | 650 | 611 | 735 | 299 | 071 | 063 | 293 | 777 | 533 |
11 | 0,0051835 | 0,0063825 | 0,007759 | 0,009327 | 0,011102 | 0,013098 | 0,015333 | 0,017821 | 0,020581 |
12 | 0,0052022 | 0,0064039 | 784 | 355 | 133 | 134 | 372 | 865 | 629 |
13 | 208 | 254 | 808 | 383 | 165 | 169 | 411 | 908 | 678 |
14 | 395 | 470 | 833 | 411 | 196 | 204 | 451 | 952 | 726 |
15 | 582 | 686 | 857 | 439 | 228 | 240 | 490 | 996 | 775 |
16 | 770 | 902 | 882 | 467 | 260 | 275 | 530 | 0,018040 | 824 |
17 | 958 | 0,0065119 | 907 | 495 | 291 | 311 | 570 | 084 | 873 |
18 | 0,0053147 | 337 | 932 | 523 | 323 | 346 | 609 | 129 | 921 |
19 | 336 | 555 | 957 | 552 | 355 | 382 | 649 | 173 | 970 |
20 | 526 | 773 | 982 | 580 | 387 | 418 | 689 | 217 | 0,021019 |
21 | 0,0053716 | 0,0065992 | 0^008007 | 0,009608 | 0,011419 | 0,013454 | 0,015729 | 0,018262 | 0,021069 |
22 | 907 | 0,0066211 | 032 | 637 | 451 | 490 | 769 | 306 | 118 |
23 | 0,0054098 | 431 | 057 | 665 | 483 | 526 | 809 | 351 | 167 |
24 | 290 | 652 | 082 | 694 | 515 | 562 | 850 | 395 | 217 |
25 | 482 | 873 | 107 | 722 | 547 | 598 | 890 | 440 | 266 |
26 | 674 | 0,0067094 | 133 | 751 | 580 | 634 | 930 | 485 | 316 |
27 | 867 | 316 | 158 | 780 | 612 | 670 | 971 | 530 | 365 |
28 | 0,0055060 | 539 | 183 | 808 | 644 | 707 | 0,016012 | 575 | 415 |
29 | 254 | 762 | 209 | 837 | 677 | 743 | 052 | 620 | 465 |
30 | 448 | 985 | 234 | 866 | 709 | 779 | 092 | 665 | 514 |
31 | 0,0055643 | 0,0068209 | 0,008260 | 0,009895 | 0,011742 | 0,013816 | 0,016133 | 0,018710 | 0,021564 |
32 | 838 | 434 | 285 | 924 | 775 | 852 | 174 | 755 | 614 |
33 | 0,0056034 | 659 | 311 | 953 | 807 | 889 | 215 | 800 | 665 |
34 | 230 | 884 | 337 | 982 | 840 | 926 | 255 | 846 | 715 |
35 | 427 | 0,0069110 | 362 | 0,010012 | 873 | 963 | 296 | 891 | 765 |
36 | 624 | 337 | 388 | 041 | 906 | 999 | 337 | 937 | 815 |
37 | 822 | 564 | 414 | 070 | 939 | 0,014036 | 379 | 983 | 866 |
38 | 0,0057020 | 791 | 440 | 099 | 972 | 073 | 420 | 0,019028 | 916 |
39 | 218 | 0,0070019 | 466 | 129 | 0,012005 | 110 | 461 | 074 | 967 |
40 | 417 | 248 | 492 | 158 | 038 | 148 | 502 | 120 | 0,022018 |
41 | 0,0057617 | 0,0070477 | 0,008518 | 0,010188 | 0,012071 | 0,014185 | 0,016544 | 0,019166 | 0.022068 |
42 | 817 | 706 | 544 | 217 | 105 | 222 | 585 | 212 | 119 |
43 | 0,0058017 | 936 | 571 | 247 | 138 | 259 | 627 | 258 | 170 |
44 | 218 | 0,0071167 | 597 | 277 | 172 | 297 | 669 | 304 | 221 |
45 | 420 | 398 | 623 | 307 | 205 | 334 | 710 | 350 | 272 |
46 | 622 | 630 | 650 | 336 | 239 | 372 | 752 | 397 | 324 |
47 | 824 | 862 | 676 | 366 | 272 | 409 | 794 | 443 | 375 |
48 | 0,0059028 | 0,0072095 | 702 | 396 | 306 | 447 | 836 | 490 | 426 |
49 | 230 | 328 | 729 | 426 | 340 | 485 | 878 | 536 | 478 |
50 | 434 | 561 | 756 | 456 | 373 | 523 | 920 | 583 | 529 |
51 | 0,0059638 | 0,0072796 | 0,008782 | 0,010486 | 0,012407 | 0,014560 | 0,016962 | 0,019630 | 0,022581 |
52 | 843 | 0,0073030 | 809 | 517 | 441 | 598 | 0,017004 | 676 | 633 |
53 | 0,0060048 | 266 | 836 | 547 | 475 | 636 | 047 | 723 | 684 |
54 | 254 | 501 | 863 | 577 | 509 | 674 | 089 | 770 | 736 |
55 | 460 | 738 | 889 | 608 | 543 | 713 | 132 | 817 | 788 |
56 | 667 | 975 | 916 | 638 | 578 | 751 | 174 | 864 | 840 |
57 | 874 | 0,0074212 | 943 | 669 | 612 | 789 | 217 | 912 | 892 |
58 | 0,0061081 | 450 | 970 | 699 | 646 | 827 | 259 | 959 | 944 |
59 | 289 | 688 | 998 | 730 | 681 | 866 | 302 | 0,020007 | 997 |
60 | 0,0061498 | 0,0074927 | 0,009025 | 0,010760 | 0,012715 | 0,014904 | 0,017345 | 0,020054 | 0,023049 |
Продолжение табл. 16
Минуты | 23° | 24° | 25° | 26° | 27° | 28° | 29° | 30° | 31º |
0 | 0,023049 | 0,026350 | 0,029975 | 0,033947 | 0,038287 | 0,043017 | 0,048164 | 0,053751 | 0,059809 |
1 | 102 | 407 | 0,030039 | 0,034016 | 362 | 100 | 253 | 849 | 914 |
2 | 154 | 465 | 102 | 086 | 438 | 182 | 343 | 946 | 0,060019 |
3 | 207 | 523 | 166 | 155 | 514 | 264 | 432 | 0,054043 | 124 |
4 | 259 | 581 | 229 | 225 | 590 | 347 | 522 | 140 | 230 |
5 | 312 | 639 | 293 | 294 | 666 | 430 | 612 | 238 | 335 |
6 | 365 | 697 | 357 | 364 | 742 | 513 | 702 | 336 | 441 |
7 | 418 | 756 | 420 | 434 | 818 | 596 | 792 | 433 | 547 |
8 | 471 | 814 | 484 | 504 | 894 | 679 | 883 | 531 | 653 |
9 | 524 | 872 | 549 | 574 | 971 | 762 | 973 | 629 | 759 |
10 | 577 | 931 | 613 | 644 | 0,039047 | 845 | 0,049064 | 728 | 866 |
11 | 0,023631 | 0,026989 | 0,030677 | 0,034714 | 0,039122 | 0,043929 | 0,049154 | 0,054826 | 0,060972 |
12 | 684 | 0,027048 | 741 | 785 | 201 | 0,044012 | 245 | 924 | 0,061079 |
13 | 738 | 107 | 806 | 855 | 278 | 096 | 336 | 0,055023 | 186 |
14 | 791 | 166 | 870 | 926 | 355 | 180 | 427 | 122 | 292 |
15 | 845 | 225 | 935 | 997 | 432 | 264 | 518 | 221 | 400 |
16 | 899 | 284 | 0,031000 | 0,035067 | 509 | 348 | 609 | 320 | 507 |
17 | 952 | 343 | 065 | 138 | 586 | 432 | 701 | 419 | 614 |
18 | 0,024006 | 402 | 130 | 209 | 664 | 516 | 792 | 518 | 721 |
19 | 060 | 462 | 195 | 280 | 741 | 601 | 884 | 617 | 825 |
20 | 114 | 521 | 200 | 352 | 819 | 685 | 976 | 717 | 937 |
21 | 0,024169 | 0,027581 | 0,031325 | 0,035423 | 0,039897 | 0,044770 | 0,050068 | 0,055817 | 0,062045 |
22 | 223 | 640 | 390 | 494 | 974 | 855 | 160 | 916 | 153 |
23 | 277 | 700 | 456 | 566 | 0,040052 | 939 | 252 | 0,056016 | 261, |
24 | 332 | 760 | 521 | 637 | 131 | 0,045024 | 344 | 116 | 369 |
25 | 386 | 820 | 587 | 709 | 209 | 110 | 437 | 217 | 478 |
26 | 441 | 880 | 653 | 781 | 287 | 195 | 529 | 317 | 586 |
27 | 495 | 940 | 718 | 853 | 366 | 280 | 622 | 417 | 695 |
28 | 550 | 0,028000 | 784 | 925 | 444 | 366 | 715 | 518 | 804 |
29 | 605 | 060 | 850 | 997 | 523 | 451 | 808 | 619 | 913 |
30 | 660 | 121 | 917 | 0,036069 | 602 | 537 | 901 | 720 | 0,063022 |
31 | 0,024715 | 0,028181 | 0,031983 | 0,036142 | 0,040680 | 0,045623 | 0,050994 | 0,056821 | 0,063132 |
32 | 770 | 242 | 0,032049 | 214 | 759 | 709 | 0,051087 | 922 | 241 |
33 | 825 | 302 | 116 | 287 | 839 | 795 | 181 | 0,057023 | 350 |
34 | 881 | 363 | 182 | 359 | 918 | 881 | 274 | 124 | 460 |
35 | 936 | 424 | 249 | 432 | 997 | 967 | 368 | 226 | 570 |
36 | 992 | 485 | 315 | 505 | 0,041076 | 0,046054 | 462 | 328 | 680 |
37 | 0,025047 | 546 | 382 | 578 | 156 | 140 | 556 | 429 | 790 |
38 | 103 | 607 | 449 | 651 | 236 | 227 | 650 | 531 | 901 |
39 | 159 | 668 | 516 | 724 | 316 | 313 | 744 | 633 | 0,064011 |
40 | 214 | 729 | 583 | 798 | 395 | 400 | 838 | 736 | 122 |
41 | 0,025270 | 0,028791 | 0,032651 | 0,036871 | 0,041475 | 0,046487 | 0,051933 | 0,057838 | 0.064233 |
42 | 326 | 852 | 718 | 945 | 556 | 575 | 0,052027 | 940 | 343 |
43 | 382 | 914 | 785 | 0,037018 | 636 | 662 | 122 | 0,058043 | 454 |
44 | 439 | 976 | 853 | 092 | 716 | 749 | 217 | 146 | 565 |
45 | 495 | 0,029037 | 920 | 166 | 797 | 837 | 312 | 249 | 677 |
46 | 551 | 099 | 988 | 240 | 877 | 924 | 407 | 352 | 788 |
47 | 608 | 161 | 0,033056 | 314 | 958 | 0.047012 | 502 | 455 | 900 |
48 | 664 | 223 | 124 | 388 | 0,042039 | 100 | 597 | 558 | 0,065012 |
49 | 721 | 285 | 192 | 462 | 120 | 188 | 693 | 662 | 123 |
50 | 778 | 348 | 260 | 537 | 201 | 276 | 788 | 765 | 236 |
51 | 0,025834 | 0,029410 | 0,033328 | 0,037611 | 0,042282 | 0,047364 | 0,052884 | 0,058869 | 0,065348 |
52 | 891 | 472 | 397 | 686 | 363 | 452 | 980 | 973 | 460 |
53 | 948 | 535 | 465 | 761 | 444 | 541 | 0.053076 | 0,059077 | 573 |
54 | 0,026005 | 598 | 534 | 835 | 526 | 630 | 172 | 181 | 685 |
55 | 062 | 660 | 602 | 910 | 607 | 718 | 268 | 285 | 798 |
56 | 120 | 723 | 671 | 885 | 689 | 807 | 365 | 390 | 911 |
57 | 177 | 786 | 740 | 0,038060 | 771 | 896 | 461 | 494 | 0,066024 |
58 | 235 | 849 | 809 | 136 | 853 | 985 | 558 | 599 | 137 |
59 | 292 | 912 | 878 | 211 | 935 | 0,048074 | 655 | 704 | 250 |
60 | 0,026350 | 0,029975 | 0,033947 | 0 038287 | 0 043017 | 0,048164 | 0.053751 | 0,059809 | 0.066364 |
Продолжение табл. 16
Минуты | 32º | 33º | 34° | 35° | 36° | 37° | 38° | 39° | 40° |
0 | 0,066364 | 0,073449 | 0,081097 | 0,089342 | 0,098224 | 0,10778 | 0,11806 | 0,12911 | 0,14097 |
1 | 478 | 572 | 229 | 485 | 838 | 795 | 824 | 930 | 117 |
2 | 591 | 695 | 362 | 628 | 853 | 811 | 842 | 949 | 138 |
3 | 705 | 818 | 494 | 771 | 869 | 828 | 859 | 968 | 158 |
4 | 819 | 941 | 627 | 914 | 884 | 844 | 877 | 987 | 179 |
5 | 934 | 0 074064 | 760 | 0,090058 | 899 | 861 | 895 | 0,13006 | 200 |
6 | 0 067048 | 188 | 894 | 201 | 915 | 878 | 913 | 025 | 220 |
7 | 163 | 312 | 0,082027 | 345 | 930 | 894 | 931 | 045 | 241 |
8 | 277 | 435 | 161 | 489 | 946 | 911 | 949 | 064 | 261 |
9 | 392 | 559 | 294 | 633 | 961 | 928 | 967 | 083 | 282 |
10 | 507 | 684 | 428 | 777 | 977 | 944 | 985 | 102 | 303 |
11 | 0,067622 | 0,074808 | 0,082562 | 0,090922 | 0,09992 | 0,10961 | 0,12003 | 0,13122 | 0,14324 |
12 | 738 | 932 | 697 | 0,091067 | 0,10008 | 978 | 021 | 141 | 344 |
13 | 853 | 0,075057 | 831 | '211 | 024 | 995 | 039 | 160 | 365 |
14 | 969 | 182 | 966 | 356 | 039 | 0,11011 | 057 | 180 | 386 |
15 | 0,068084 | 307 | 0,083100 | 502 | 055 | 028 | 075 | 199 | 407 |
16 | 200 | 432 | 235 | 647 | 070 | 045 | 093 | 219 | 428 |
17 | 316 | 557 | 371 | 793 | 086 | 062 | 111 | 238 | 448 |
18 | 432 | 683 | 506 | 938 | 102 | 079 | 129 | 258 | 469 |
19 | 549 | 808 | 641 | 0,092084 | 118 | 096 | 147 | 277 | 490 |
20 | 665 | 934 | 777 | 230 | 133 | 113 | 165 | 297 | 511 |
21 | 0,068782 | 0,076060 | 0,083913 | 0,092377 | 0,10149 | 0,11130 | 0,12184 | 0,13316 | 0,14532 |
22 | 899 | 186 | 0 084049 | 523 | 165 | 146 | 202 | 336 | 553 |
23 | 0.069016 | 312 | 185 | 670 | 181 | 163 | 220 | 355 | 574 |
24 | 133 | 439 | 321 | 816 | 196 | 180 | 238 | 375 | 595 |
25 | 250 | 565 | 457 | 963 | 212 | 197 | 257 | 395 | 616 |
26 | 367 | 692 | 594 | 0,093111 | 228 | 215 | 275 | 414 | 638 |
27 | 485 | 819 | 731 | 258 | 244 | 232 | 293 | 434 | 659 |
28 | 602 | 946 | 868 | 406 | 260 | 249 | 312 | 454 | 680 |
29 | 720 | 0,077073 | 0,085005 | 553 | 276 | 266 | 330 | 473 | 701 |
30 | 838 | 200 | 142 | 701 | 292 | 283 | 348 | 493 | 722 |
31 | 0.069956 | 0,077328 | 0,085280 | 0,093849 | 0,10308 | 0,11300 | 0,12367 | 0,13513 | 0,14743 |
32 | 0,070075 | 455 | 418 | 998 | 323 | 317 | 385 | 533 | 765 |
33 | 193 | 583 | 555 | 0,094146 | 339 | 334 | 404 | 553 | 789 |
34 | 312 | 711 | 693 | 295 | 355 | 352 | 422 | 572 | 807 |
35 | 430 | 839 | 832 | 443 | 371 | 369 | 441 | 592 | 829 |
36 | 549 | 968 | 970 | 592 | 388 | 386 | 459 | 612 | 850 |
37 | 668 | 0,078096 | 0,086108 | 742 | 404 | 403 | 478 | 632 | 871 |
38 | 787 | 225 | 247 | 891 | 420 | 421 | 496 | 652 | 893 |
39 | 907 | 354 | 386 | 0,095041 | 436 | 438 | 515 | 672 | 914 |
40 | 0,071026 | 483 | 525 | 190 | 452 | 455 | 534 | 692 | 936 |
41 | 0,071146 | 0,078612 | 0.086664 | 0,095340 | 0.10468 | 0.11473 | 0,12552 | 0.13712 | 0,14957 |
42 | 266 | 741 | 804 | 490 | 484 | 490 | 571 | 732 | 979 |
43 | 386 | 871 | 943 | 641 | 500 | 507 | 590 | 752 | 0,15000 |
44 | 506 | 0 079000 | 0.087083 | 791 | 516 | 525 | 608 | 772 | 022 |
45 | 626 | 130 | 223 | 942 | 533 | 542 | 627 | 792 | 043 |
46 | 747 | 260 | 363 | 0,096053 | 549 | 560 | 646 | 813 | 065 |
47 | 867 | 390 | 503 | 244 | 565 | 577 | 664 | 833 | 087 |
48 | 988 | 520 | 644 | 395 | 581 | 595 | 683 | 853 | 108 |
49 | 0.072109 | 651 | 784 | 546 | 598 | 612 | 702 | 873 | 130 |
50 | 230 | 781 | 925 | 698 | 614 | 630 | 721 | 893 | 152 |
51 | 0,072351 | 0.079912 | 0.088066 | 0.096850 | 0,10630 | 0,11647 | 0,12740 | 0,13913 | 0,15173 |
52 | 473 | 0.080043 | 207 | 0.097002 | 647 | 665 | 759 | 934 | 195 |
53 | 594 | 174 | 348 | 154 | 663 | 682 | 778 | 954 | 217 |
54 | 716 | 306 | 490 | 306 | 679 | 700 | 797 | 974 | 239 |
55 | 838 | 437 | 631 | 459 | 696 | 718 | 815 | 995 | 261 |
56 | 959 | 569 | 773 | 611 | 712 | 735 | 834 | 0,14015 | 282 |
57 | 0.073082 | 700 | 915 | 764 | 729 | 753 | 853 | 035 | 304 |
58 | 204 | 832 | 0.089057 | 917 | 745 | 771 | 872 | 056 | 326 |
59 | 326 | 964 | 200 | 0 098071 | 762 | 788 | 891 | 076 | 348 |
60 | 0.073449 | 0.081097 | 0,089342 | 0.098224 | 0,10778 | 0,11806 | 0.12911 | 0,14097 | 0,15370 |
Продолжение табл.16
Минуты | 41° | 42° | 43° | 44° | 45° | 46° | 47° | 48° | 49° |
0 | 0,15370 | 6,16737 | 0,18202 | 0,19774 | 0,21460 | 0,23268 | 0,25206 | 0,27285 | 0,29516 |
1 | 392 | 760 | 228 | 802 | 489 | 299 | 240 | 321 | 554 |
2 | 414 | 784 | 253 | 829 | 518 | 330 | 273 | 357 | 593 |
3 | 436 | 807 | 278 | 856 | 548 | 362 | 307 | 393 | 631 |
4 | 458 | 831 | 304 | 883 | 577 | 393 | 341 | 429 | 670 |
5 | 480 | 855 | 329 | 910 | 606 | 424 | 374 | 465 | 709 |
6 | 503 | 879 | 355 | 938 | 635 | 456 | 408 | 501 | 747 |
7 | 525 | 902 | 380 | 965 | 665 | 487 | 442 | 538 | 786 |
8 | 547 | 926 | 406 | 992 | 694 | 519 | 475 | 574 | 825 |
9 | 569 | 950 | 431 | 0,20020 | 723 | 550 | 509 | 610 | 864 |
10 | 591 | 974 | 457 | 047 | 753 | 582 | 543 | 646 | 903 |
11 | 0,15614 | 0,16998 | 0,18482 | 0,20075 | 0,21782 | 0,23613 | 0,25577 | 0,27683 | 0,29942 |
12 | 636 | 0,17022 | 508 | 102 | 812 | 645 | 611 | 719 | 981 |
13 | 658 | 045 | 534 | 130 | 841 | 676 | 645 | 755 | 0,30020 |
14 | 680 | 069 | 559 | 157 | 871 | 708 | 679 | 792 | 059 |
15 | 703 | 093 | 585 | 185 | 900 | 740 | 713 | 828 | 098 |
16 | 725 | 117 | 611 | 212 | 930 | 772 | 747 | 865 | 137 |
17 | 748 | 142 | 637 | 240 | 960 | 803 | 781 | 902 | 177 |
18 | 770 | 166 | 662 | 268 | 989 | 835 | 815 | 938 | 216 |
19 | 793 | 190 | 688 | 296 | 0,22019 | 867 | 849 | 975 | 255 |
20 | 815 | 214 | 714 | 323 | 049 | 899 | 883 | 0,28012 | 0,30295 |
21 | 0,15838 | 0,17238 | 0,18740 | 0,20351 | 0,22079 | 0,23931 | 0,25918 | 0,28048 | 0,30334 1 |
22 | 860 | 262 | 766 | 379 | 108 | 933 | 952 | 085 | 3741 |
23 | 883 | 286 | 792 | 407 | 138 | 995 | 985 | 122 | 4131 |
24 | 905 | 311 | 818 | 435 | 168 | 0,24027 | 0,26021 | 159 | 453 |
25 | 928 | 335 | 844 | 463 | 198 | 059 | 055 | 196 | 492 |
26 | 950 | 359 | 870 | 490 | 228 | 091 | 089 | 233 | 532 |
27 | 973 | 383 | 896 | 518 | 258 | 123 | 124 | 270 | 572 |
28 | 996 | 408 | 922 | 546 | 288 | 156 | 159 | 307 | 611 |
29 | 0,16019 | 432 | 948 | 575 | 318 | 188 | 193 | 344 | 651 |
30 | 041 | 457 | 975 | 603 | 348 | 220 | 228 | 381 | 691 |
31 | 0,16064 | 0,17481 | 0J9001 | 0,20631 | 0,22378 | 0,24253 | 0,26262 | 0^28418 | 0,30731 |
32 | 087 | 506 | 027 | 659 | 409 | 285 | 297 | 455 | 771 |
33 | 110 | 530 | 053 | 687 | 439 | 317 | 332 | 493 | 811 |
34 | 133 | 555 | 080 | 715 | 469 | 350 | 368 | 530 | 851 |
35 | 156 | 579 | 106 | 743 | 499 | 382 | 401 | 567 | 891 |
36 | 178 | 604 | 132 | 772 | 530 | 415 | 436 | 605 | 931 |
37 | 201 | 628 | 159 | 800 | 560 | 447 | 471 | 642 | 971 |
38 | 224 | 653 | 185 | 828 | 590 | 480 | 506 | 680 | 0,31012 |
39 | 247 | 678 | 212 | 857 | 621 | 512 | 541 | 717 | 052 |
40 | 270 | 702 | 238 | 885 | 651 | 545 | 576 | 755 | 092 |
41 | 0,16293 | 0,17727 | 0,19265 | 0,20914 | 0,22682 | 0,24578 | 0,26611 | 0,28792 | 0,31133 |
42 | 317 | 752 | 291 | 942 | 712 | 611 | 646 | 830 | 173 |
43 | 340 | 777 | 318 | 971 | 743 | 643 | 682 | 868 | 214 |
44 | 363 | 801 | 344 | 999 | 773 | 676 | 717 | 906 | 254 |
45 | 386 | 826 | 371 | 0,21028 | 804 | 709 | 752 | 943 | 295 |
46 | 409 | 851 | 398 | 056 | 835 | 742 | 787 | 981 | 335 |
47 | 432 | 876 | 424 | 085 | 865 | 775 | 823 | 0,29019 | 376 |
48 | 456 | 901 | 451 | 114 | 896 | 808 | 858 | 057 | 417 |
49 | 479 | 926 | 478 | 142 | 927 | 841 | 893 | 095 | 457 |
50 | 502 | 951 | 505 | 171 | 958 | 874 | 929 | 133 | 498 |
51 | 0,16525 | 0,17976 | 0,19532 | 0,21200 | 0,22989 | 0,24907 | 0,26964 | 0,29171 | 0,31539 |
52 | 549 | 0,18001 | 558 | 229 | 0,23020 | 940 | 0,27000 | 209 | 580 |
53 | 572 | 026 | 585 | 257 | 050 | 973 | 035 | 247 | 621 |
54 | 596 | 051 | 612 | 286 | 081 | 0 25006 | 071 | 286 | 662 |
55 | 619 | 076 | 639 | 315 | 112 | 040 | 107 | 324 | 703 |
56 | 642 | 101 | 666 | 344 | 143 | 073 | 142 | 362 | 744 |
57 | 666 | 127 | 693 | 373 | 174 | 106 | 178 | 400 | 785 |
58 | 689 | 152 | 720 | 402 | 206 | 140 | 214 | 439 | 826 |
59 | 713 | 177 | 747 | 431 | 237 | 173 | 250 | 477 | 868 |
60 | 0,16737 | 0,18202 | 0,19774 | 0.21460 | 0 23268 | 0,25206 | 0,27285 | 0,29516 | 0,31909 |
Продолжение табл. 16
Минуты | 50° | 51° | 52° | 53° | 54° |
0 | 0,31909 | 0,34478 | 0,37237 | 0,40202 | 0,43390 |
1 | 950 | 522 | 285 | 253 | 446" |
2 | 992 | 567 | 332 | 305 | 501 |
3 | 0,32033 | 611 | 380 | 356 | 556 |
4 | 075 | 656 | 428 | 407 | 611 |
5 | 116 | 700 | 476 | 459 | 667 |
6 | 158 | 745 | 524 | 511 | 722 |
7 | 199 | 790 | 572 | 562 | 778 |
8 | 241 | 834 | 620 | 614 | 833 |
9 | 283 | 879 | 668 | 666 | 889 |
10 | 324 | 924 | 716 | 717 | 945 |
11 | 0,32366 | 0,34969 | 0,37765 | 0,40769 | 0,44001 |
12 | 408 | 0,35014 | 813 | 821 | 057 |
13 | 450 | 059 | 861 | 873 | 113 |
14 | 492 | 104 | 910 | 925 | 169 |
15 | 534 | 149 | 958 | 977 | 225 |
16 | 576 | 194 | 0,38007 | 0,41030 | 281 |
17 | 618 | 240 | 057 | 082 | 337 |
18 | 661 | 285 | 105 | 134 | 393 |
19 | 703 | 330 | 153 | 187 | 450 |
20 | 745 | 376 | 202 | 239 | 506 |
21 | 0,32787 | 0,35421 | 0,38251 | 0,41292 | 0,44563 |
22 | 830 | 467 | 299 | 344 | 619 |
23 | 872 | 512 | 348 | 397 | 676 |
24 | 915 | 558 | 397 | 450 | 733 |
25 | 957 | 604 | 446 | 502 | 789 |
26 | 0,33000 | 649 | 496 | 555 | 846 |
27 | 042 | 695 | 545 | 608 | 903 |
28 | 085 | 741 | 594 | 661 | 960 |
29 | 128 | 787 | 643 | 714 | 0,45017 |
30 | 171 | 833 | 693 | 767 | 074 |
31 | 0,33213 | 0,35879 | 0,38742 | 0,41820 | 0,45132 |
32 | 256 | 925 | 792 | 874 | 189 |
33 | 299 | 971 | 841 | 927 | 246 |
34 | 342 | 0,36017 | 891 | 980 | 304 |
35 | 385 | 063 | 941 | 0,42034 | 361 |
36 | 428 | 110 | 990 | 087 | 419 |
37 | 471 | 156 | 0,39040 | 141 | 476 |
38 | 515 | 202 | 090 | 194 | 534 |
39 | 558 | 249 | 140 | 248 | 592 |
40 | 601 | 295 | 190 | 302 | 650 |
41 | 0,33645 | 0.36342 | 0,39240 | 0.42355 | 0,45708 |
42 | 688 | 388 | 290 | 409 | 766 |
43 | 731 | 435 | 340 | 463 | 824 |
44 | 775 | 482 | 390 | 517 | 882 |
45 | 818 | 529 | 441 | 571 | 940 |
46 | 862 | 575 | 491 | 625 | 998 |
47 | 906 | 622 | 541 | 680 | 0,46057 |
48 | 949 | 669 | 592 | 734 | 115 |
49 | 993 | 716 | 642 | 788 | 173 |
50 | 0,34037 | 763 | 693 | 843 | 232 |
---51 | 0,34081 | 0,36810 | 0,39743 | 0,42897 | 0,46291 |
52 | 125 | 858 | 794 | 952 | 349 |
53 | 169 | 905 | 845 | 0,43006 | 408 |
54 | 213 | 952 | 896 | 061 | 467 |
55 | 257 | 999 | 947 | 116 | 526 |
56 | 301 | 0,37047 | 998 | 171 | 585 |
57 | 345 | 094 | 0,40049 | 225 | 644 |
58 | 389 | 142 | 100 | 280 | 708 |
59 | 434 | 189 | 151 | 335 | 762 |
60 | 0,34478 | 0,37237 | 0,40202 | 0,43390 | 0,46822 |
Продолжение табл. 16
Минуты | 55° | 56° | 57° | 58° | 59° |
0 | 0,46822 | 0,50518 | 0,54503 | 0,58804 | 0,63454 |
1 | 881 | 582 | 572 | 879 | 534 |
2 | 940 | 646 | 641 | 954 | 615 |
3 | 0,47000 | 710 | 710 | 0,49028 | 696 |
4 | 060 | 774 | 779 | 103 | 777 |
5 | 119 | 838 | 849 | 178 | 858 |
6 | 179 | 903 | 918 | 253 | 939 |
7 | 239 | 967 | 988 | 328 | 0,64020 |
8 | 299 | 0,51032 | 0,55057 | 403 | 102 |
9 | 359 | 096 | 127 | 479 | 183 |
10 | 419 | 161 | 197 | 554 | 265 |
11 | 0,47479 | 0,51226 | 0,55267 | 0^59630 | 0,64346 |
12 | 539 | 291 | 337 | 705 | 428 |
13 | 599 | 356 | 407 | 781 | 510 |
14 | 660 | 421 | 477 | 857 | 592 |
15 | 720 | 486 | 547 | 933 | 674 |
16 | 780 | 551 | 618 | 0,60009 | 756 |
17 | 841 | 616 | 689 | 085 | 839 |
18 | 902 | 682 | 759 | 161 | 921 |
19 | 962 | 747 | 829 | 237 | 0,65004 |
20 | 0,48023 | 813 | 900 | 314 | 086 |
21 | 0,48084 | 0,51878 | 0,55971 | 0,60390 | 0,65169 |
22 | 145 | 944 | 0,56042 | 467 | 252 |
23 | 206 | 0,52010 | 113 | 544 | 335 |
24 | 267 | 076 | 184 | 620 | 418 |
25 | 328 | 141 | 255 | 697 | 501 |
26 | 389 | 207 | 326 | 774 | 585 |
27 | 451 | 274 | 398 | 851 | 668 |
28 | 512 | 340 | 469 | 929 | 752 |
29 | 574 | 406 | 541 | 0,61006 | 835 |
30 | 635 | 472 | 612 | 083 | 919 |
31 | 0,48697 | 0,52539 | 0,56684 | 0,61161 | 0,66003 |
32 | 758 | 0,52605 | 0,56756 | 0,61239 | 0,66087 |
33 | 820 | 672 | 828 | 316 | 171 |
34 | 882 | 739 | 900 | 394 | 255 |
35 | 944 | 805 | 972 | 472 | 340 |
36 | 0,49006 | 872 | 0,57044 | 550 | 424 |
37 | 068 | 939 | 116 | 628 | 509 |
38 | 130 | 0,53006 | 188 | 706 | 593 |
39 | 192 | 073 | 261 | 785 | 678 |
40 | 255 | 141 | 333 | 863 | 763 |
41 | 0,49317 | 0,53208 | 0,57406 | 0,61942 | 0,66848 |
42 | 380 | 275 | 479 | 0,62020 | 933 |
43 | 442 | 343 | 552 | 099 | 0,67019 |
44 | 505 | 410 | 625 | 178 | 104 |
45 | 568 | 478 | 698 | 257 | 189 |
46 | 630 | 546 | 771 | 336 | 275 |
47 | 693 | 613 | 844 | 415 | 361 |
48 | 756 | 681 | 917 | 494 | 447 |
49 | 819 | 749 | 991 | 574 | 532 |
50 | 882 | 817 | 0,58064 | 653 | 618 |
51 | 0,49945 | 0,53885 | 0,58138 | 0,62733 | 0,67705 |
52 | 0,50009 | 954 | 211 | 812 | 791 |
53 | 072 | 0,54022 | 285 | 892 | 877 |
54 | 135 | 090 | 359 | 972 | 964 |
55 | 199 | 159 | 433 | 0,63052 | 0,68050 |
56 | 263 | 228 | 507 | 132 | 137 |
57 | 326 | 296 | 581 | 212 | 224 |
58 | 390 | 365 | 656 | 293 | 311 |
59 | 454 | 434 | 730 | 373 | 398 |
60 | 0,50518 | 0,54503 | 0,58804 | 0,63454 | 0,68485 |
17. Длина общей нормали цилиндрических прямозубых колес
Измерение толщины зубьев при длине обшей нормали W имеет то преимущество перед измерением по постоянной хорде, что не требуется более точного изготовления зубчатых колес по наружному диаметру.
Для прямозубых колес без смешения
W = mn W',
для колес со смещением (при коэффициенте смешения х)
W = mn(W' + 0,684x);
здесь W' - длина общей нормали цилиндрических прямозубых колес при mn = 1.
Значения W' в зависимости от числа зубьев колеса и числа зубьев, охватываемых при измерении, указаны в таблице, приведенной ниже.

Длина общей нормали W' цилиндрических прямозубых колес при mn = 1мм
Число зубьев колеса | Число зубьев, охватываемых при измерении zn | W' | Число зубьев колеса | Число зубьев, охватываемых при измерении zn | W' | Число зубьев колеса | Число зубьев, охватываемых при измерении zn | W' |
7 | 2 | 4,5263 | 34 | 4 | 10,8086 | 59 | 7 | 20,0152 |
8 | 4,5403 | 35 | 10,8230 | 60 | 20,0292 | |||
9 | 4,5543 | 36 | 10,8370 | 61 | 20,0430 | |||
10 | 4,5683 | 37 | 5 | 13,8028 | 62 | 20,0570 | ||
11 | 4,5823 | 63 | 20J7I0 | |||||
12 | 4,5963 | 38 | 13,8168 | 64 | 8 | 23,0373 | ||
13 | 4,6103 | 39 | 13,8308 | 65 | 23,0513 | |||
14 | 4,6243 | 40 | 13,8448 | 66 | 23,0654 | |||
15 | 4,6383 | 41 | 13,8588 | 67 | 23,0794 | |||
16 | 4,6523 | 42 | 13,8728 | 68 | 23,0934 | |||
17 | 4,6660 | 43 | 13,8868 | 69 | 23,1074 | |||
18 | 4,6800 | 44 | 13,9010 | 70 | 23,1210 | |||
19 | 3 | 7,6464 | 45 | 13,9150 | 71 | 23,1350 | ||
20 | 7,6605 | 46 | 6 | 16,8810 | 72 | 23,1490 | ||
21 | 7,6745 | 47 | 16,8950 | 73 | 9 | 25,1155 | ||
22 | 7,6885 | 48 | 16,9090 | 74 | 26,1295 | |||
23 | 7,7025 | 49 | 16,9230 | 75 | 26,1435 | |||
24 | 7,7165 | 50 | 16,9370 | 76 | 26,1575 | |||
25 | 7,7305 | 51 | 16,9510 | 77 | 26,1715 | |||
26 | 7,7440 | 52 | 16,9650 | 78 | 25,1850 | |||
27 | 7,7580 | 53 | 16,9790 | 79 | 26,1990 | |||
28 | 4 | 10,7246 | 54 | 16,9930 | 80 | 26,2130 | ||
29 | 10,7386 | 55 | 7 | 19,9592 | 81 | 26,2270 | ||
30 | 10,7526 | 56 | 19,9732 | 82 | 10 | 29,1937 | ||
31 | 10,7666 | 57 | 19,9872 | 83 | 29,2077 | |||
32 | 10,7806 | 58 | 20,0012 | 84 | 29,2217 | |||
33 | 10,7946 | |||||||
Продолжение табл. 17
Число зубьев колеса | Число зубьев, охватываемых при измерении zn | W' | Число зубьев колеса | Число зубьев, охватываемых при измерении zn | W' | Число зубьев колеса | Число зубьев, охватываемых при измерении zn | W' |
85 | 10 | 29.2357 | 124 | 14 | 41,5900 | 163 | 19 | 56,8973 |
86 | 29.2490 | 125 | 41,6040 | 164 | 56,9113 | |||
87 | 29.2630 | 126 | 41,6180 | 165 | 56,9250 | |||
88 | 29.2770 | 166 | 56,9390 | |||||
89 | 29.2910 | 167 | 56,9530 | |||||
90 | 29,3050 | 127 | 15 | 44,5846 | 168 | 56,9670 | ||
128 | 44,5985 | 169 | 56,9810 | |||||
129 | 44,6126 | 170 | 56,9950 | |||||
91 | 11 | 32.2719 | 130 | 44,6260 | 171 | 57,0090 | ||
92 | 32.2859 | 131 | 44,6400 | |||||
93 | 32.2999 | 132 | 44,6540 | |||||
94 | 32.3139 | 133 | 44,6680 | 172 | 20 | 59,9755 | ||
95 | 32,3279 | 134 | 44,6820 | 173 | 59,9895 | |||
96 | 32,3420 | 135 | 44,6950 | 174 | 60,0030 | |||
97 | 32,3560 | 175 | 60,0170 | |||||
98 | 32,3700 | 176 | 60.0310 | |||||
99 | 32,3840 | 136 | 16 | 47,6628 | 177 | 60,0450 | ||
137 | 47,6768 | 178 | 60,0590 | |||||
138 | 47,6908 | 179 | 60,0730 | |||||
100 | 12 | 35,3501 | 139 | 47,7010 | 180 | 60,0870 | ||
101 | 35.3641 | 140 | 47,7180 | |||||
102 | 35.3781 | 141 | 47,7320 | |||||
103 | 35.3921 | 142 | 47,7460 | 181 | 21 | 63,0537 | ||
104 | 35.4060 | 143 | 47,7600 | 182 | 63.0677 | |||
105 | 35,4200 | 144 | 47,7740 | 183 | 63,0810 | |||
106 | 35,4340 | 184 | 63.0950 | |||||
107 | 35,4480 | 185 | 63.1090 | |||||
108 | 35,4620 | 145 | 17 | 50,7410 | 186 | 63.1230 | ||
146 | 50,7550 | 187 | 63.1370 | |||||
147 | 50.7690 | 188 | 63,1510 | |||||
109 | 13 | 38,4283 | S48 | 50,7830 | 189 | 63.1650 | ||
110 | 38,4423 | 149 | 50,7970 | |||||
111 | 38.4563 | 150 | 50.8110 | |||||
112 | 38,4703 | 151 | 50,8250 | 190 | 22 | 66,1319 | ||
113 | 38.4840 | 152 | 50,8390 | 191 | 66,1450 | |||
114 | 38.4980 | 153 | 50,8530 | 192 | 66.1590 | |||
115 | 38.5120 | 193 | 66,1730 | |||||
116 | 38.5260 | 194 | 66,1870 | |||||
117 | 38,5400 | 154 | 18 | 53,8192 | 195 | 66,2010 | ||
155 | 53.8332 | 196 | 66,2150 | |||||
156 | 53.8470 | 197 | 66 2290 | |||||
118 | 14 | 41,5064 | 157 | 53,8610 | 198 | 66,2430 | ||
119 | 41.5204 | 158 | 53,8750 | |||||
120 | 41.5344 | 159 | 53,8890 | |||||
121 | 41,5485 | 160 | 53,9030 | 199 | 23 | 69.2100 | ||
122 | 41.5620 | 161 | 53,9170 | 200 | 69.2240 |













(величина вспомогательная)
(величина вспомогательная)









