0 руб
Оформить заказДля тяговых пластинчатых цепей устанавливаются следующие типы присоединительных элементов (табл. 30):
1.1 — специальные пластины с одним отверстием в полке;
1.2 — специальные пластины с двумя отверстиями в полке;
1.3 — специальные пластины с тремя отверстиями в полке;
2.1 — специальные пластины без полки с одним отверстием;
2.2 — специальные пластины без полки с двумя отверстиями;
2.3 — специальные пластины без полки с тремя отверстиями;
3 — удлиненные валики.
Примечание. В цепях неразборной конструкции исполнения 1 с присоединительными элементами типа 3 допускается их установка на звеньях разборной конструкции.
Устанавливаются четыре исполнения специальных пластин по межцентровому расстоянию отверстий:
0 — отсутствует (одно отверстие);
1 — наименьшее;
2 — среднее;
3 — наибольшее.
Для присоединительных элементов устанавливается следующее их расположение в цепи:
1 — одностороннее;
2 — двустороннее.
Основные параметры и размеры присоединительных элементов должны соответствовать указанным в табл. 30.
Число и чередование специальных пластин в цепи устанавливается по согласованию с потребителем.
Допускается изготовлять специальные пластины с отверстиями некруглой формы.
Допускается изготовлять цепи со специальными пластинами и удлиненными валиками иных типов, исполнений и размеров.
Пример условного обозначения:
тяговой пластинчатой цепи с разрушающей нагрузкой 112кН типа 2, с шагом 100мм исполнения 1, с присоединительными элементами типа 1.3, исполнения 3, с односторонним их расположением (1) и чередованием через 3 шага:
Цепь М112—2-100-1-1.3-3-1-3 ГОСТ 588-81
То же, с присоединительными элементами типа 1.1, исполнения 0, с односторонним их расположением (1) и чередованием через 3 шага:
Цепь M112-2-100-1-1.1-0-1-3 ГОСТ 5588- 81
То же, с п
Устанавливаются три типа звездочек:
1 — одноходовые звездочки с геометрической характеристикой зацепления λ ≤ 2,2;
2 — одноходовые звездочки с геометрической характеристикой зацепления λ > 2,2;
3 — двухходовые и двухзаходные звездочки с геометрической характеристикой зацепления λ ≥ 3,5.
Одноходовые звездочки для пластинчатых цепей работают при скоростях до 5м/с.
Расчет и построение профиля зубьев; звездочек приведен в табл. 31; расчет венца звездочек в поперечном сечении — в табл. 33.
Диаметр наружной окружности звездочек для пластинчатых цепей, имеющих присоединительные устройства, установленные поперек цепи, должен рассчитываться по формуле
De = tKz + (1,2…1,6)h1
где h1 — расстояние от оси шарнира до полки специальной пластины, мм; (1,2 ... 1,6) — коэффициент, который увеличивают пропорционально увеличению числа зубьев z интерполяцией в интервале 5 ≤ z≤ 60.
Диаметры делительной окружности вычисляют с точностью до 0,01мм, остальные линейные размеры — с точностью до 0,1мм, угловые — с точностью до 1'.
31. Расчет и построение профиля зубьев звездочек типов 1 и 2
Для цепей с геометрической характеристикой λ ≤ 2,2
Тип 1

Для цепей с геометрической характеристикой λ > 2,2
Тип 2

Наименование параметров | Обозначение | Расчетная формула | Примечание | |
Шаг цепи | t | — | Значения по табл. 1, 2, 3, 24 | |
Диаметр элемента зацепления цепей: Втулочных роликовых катковых грузовых | Dц | Dц = d2 Dц = d3 Dц = d4 Dц = d1 | Значения по табл. 1, 2, 3, 24 | |
Геометрическая характеристиказацепления | λ | λ = t/Dц | Значения по табл. 35-37 | |
Шаг зубьев звездочки | tz | tz = t | — | |
Число зубьев звездочки | для приводных цепей | z | z ≥ 9 | — |
для тяговых и транспортерных цепей | z ≥ 6 | |||
для грузовых цепей | z ≥ 5 | |||
Диаметр делительной окружности | в шагах | dt | dt = cosec(180°/z) | Значения по табл. 38 |
в мм | dd | dd= dtt | — | |
Продолжение табл. 31
Наименование параметров | Обозначение | Расчетная формула | Примечание | |||
Диаметр наружной окружности | De | De = t(K + Kz – 0,31/λ) | — | |||
Коэффициентвысоты зуба | для тяговых и грузовых цепей | К | z | Dц≤ 80 | Dц>80 | — |
5-10 | 0,56 | |||||
11-25 | 0,46 | 0,35 | ||||
26-60 | 0,65 | 0,50 | ||||
для приводных и транспортерных цепей | 0,7 | |||||
Коэффициент числа зубьев | Кz | Kz= ctg(180º/z) | Значения по табл. 39 | |||
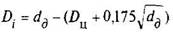
Диаметр окружности впадин | для приводных и транспортерных цепей | Di |
| — | ||
для тяговых и грузовых цепей | Di = dd - Dц | |||||
Смешение центров дуг впадин | е | emin = 1,01t emax = 0,05t | — | |||
Радиус впадинызубьев | для приводных и транспортерных цепей | r | r = 0,5(Dц – 0,05t) r = 0,5Dц | Центр дуги радиуса rрасполагается ниже линии делительной окружности, на расстоянии r от окружности впадин | ||
для тяговых и грузовых цепей | — | |||||
Половина углазаострения зуба | для тяговых транспортерных и приводных цепей | γ | γ = 13…20° | — | ||
для грузовых цепей | γ = 12…15º | |||||
Угол впадины зуба | β | При изготовлении звездочек методом деления, например радиальной штамповкой β=2γ+ 360º/z | Значенияпо табл. 32 | |||
Радиус закругления головки зуба при λ ≤ 2,2 | ri | ri =(t-0,5Dц - 0,5e)cosγ | — | |||
Высота прямолинейного участка профиля зуба при λ ≤ 2,2 | hr | hr= risinγ | — | |||
Наибольшая хорда для контроля звездочки с нечетным числом зубьев | Lx | Lx = ddcos( 90º/z + arcsin(e/dd)-2r | — | |||
Предельно допускаемое увеличение шага цепи по зацеплению со звездочкой | Δt | Δt ≤ 3% | — | |||
32. Значения угла впадины зуба β
z | 6-8 | 9-11 | 12-15 | 16-22 | 23-45 | Св. 45 |
β | 86 | 68 | 60 | 52 | 48 | 42 |
33. Расчет венца звездочек в поперечном сечении

Форма боковой поверхности зубьев звездочек
Допускается скругление боковой поверхности зуба радиусом bf≤ R≤ 1,6bfвместо скосов под углом 10—15°.
Для звездочек транспортерных цепей допускается скос под углом 10—20°.
Допускается изготовление звездочек с бочкообразным зубом с радиусом RK при установке звездочек со смешением.
Допускается технологическое скругление вершины зуба.
Звездочки с формой боковой поверхности зуба исполнения 3 следует применять в передачах, работающих в загрязненных средах.
Наименование параметров | Обозначение | Расчетная формула | ||
Шаг цепи Расстояние между внутренними пластинами Ширина пластины | t b3, BBH h | Значения по табл. 1, 2, 3 и 24 | ||
Диаметр катка Диаметр реборды катка Ширина реборды катка | d4 d4 b2 | Значения по табл. 24 | ||
Ширина зуба звездочки | для цепей типов 1, 2, 3 по табл. 24 | bf | bfmax = 0,9b3 – 1 bfmin = 0,87b3 – 1,7 | |
для цепей типа 4 (ГОСТ588-81) | bfmax = 0,9(b3 – b2) – 1 bfmin = 0,87B(b3 – d2) – 1,7 | |||
для транспортерныхцепей | bfmax = 0,9b3 | |||
Ширинавершины зуба | для цепейпотабл. 24 | тип 1 | b | b = 0,83 bf |
тип 2 | b = 0,75 bf | |||
тип 3 | b = 0,72 bf | |||
тип 4 | b = 0,60 bf | |||
для цепей по ГОСТ13568-75 | b = 0,75 bf | |||
Опорная длина впадины зуба (исполнение 3) | С | С = 0,26 bf | ||
Продолжение табл. 33
Наименование параметров | Обозначение | Расчетная формула | ||
Расстояние между рядами цепи | А | Значения по ГОСТ 13568-75 | ||
Радиус сопряжения зуба со ступенью | для приводных, тяговых и грузовых цепей | r2 | r2 = 1,6 | |
для транспортерных цепей | r2= 1,6...2,5 | |||
Ширина венца двухрядной звездочки | В | В = А + bf | ||
Диаметр венца | для цепей типов 1, 2 по табл. 24, всех типов — потабл. 1, 2 ,3 | Dc | Dc = tKz – 1,3h | Значения Kzпoтабл. 39 |
для цепей типа 3 | Dc = tKz— (d4+ 0,25h) | |||
для цепей типа 4 | Dc = tKz— (d5+ 0,25h) | |||
Радиус выпуклости | RK | RK = 28,65b3/φc | ||
Расчетный угол условного смешения звездочек | φc | φс = 3...10° | ||
Предельные отклонения. Для изготовления зубьев звездочек установлены две степени точности.
Степень точности 1 для звездочек, работающих в цепных передачах при скорости t = 3…5м/с.
Степень точности 2 для звездочек, работающих в цепных передачах и устройствах при скорости v < 3м/с, а также для звездочек, представляющих собой сборочную единицу.
Предельные отклонения основных размеров звездочек для степеней точности 1 и 2 приведены в табл. 34.
34. Предельные отклонения основных размеров звездочек для степенен точности 1 и 2
Наименование параметра | Тип звездочки | Предельные отклонения для степеней точности, мм | |
1 | 2 | ||
Разность шагов | 1, 2 |
|
|
3 |
|
| |
Диаметр окружности впадин | 1,2 |
|
|
3 |
|
| |
Радиальное биение окружности впадин и осевое биение зубчатого венца | 1,2,3 | δz= 0,001lDi+ 0,1, но не более 1,2 | δz = 0,005Di, но не более 2,0 |
Примечание. n — число ходов (число зубьев на один шаг цепи); zn — число зубьев звездочки: для двухходовой zn — четное число, для двухзаходной, zn — нечетное число.
35. Значения геометрической характеристики зацепления λ = t/Dцдля цепей типа 1 по ГОСТ 588-81
Размеры, мм
Шаг цепи t | Диаметр элемента зацепления Dц = d2 | |||||||||||
9,0 | 10,0 | 12,5 | 15,0 | 18,0 | 21,0 | 25,0 | 30,0 | 36,0 | 42,0 | 50,0 | 60,0 | |
40 | 4,45 | |||||||||||
50 | 5,55 | 5,0 | ||||||||||
63 | 7,0 | 6.3 | 5,03 | 4,20 | ||||||||
80 | 8,95 | 8.0 | 6.40 | 5,33 | 4,45 | 3,81 | ||||||
100 | 11.1 | 10.0 | 8,0 | 6,66 | 5,55 | 4,75 | 4,00 | |||||
125 | 13,9 | 12,5 | 10,0 | 8,30 | 6,94 | 5,95 | 5,00 | 4,16 | ||||
160 | 17,8 | 16,0 | 12,8 | 10,65 | 8,90 | 7.60 | 6,40 | 5,31 | 4.45 | |||
200 | 20,0 | 16,0 | 13,35 | 11,15 | 9.56 | 8,00 | 6,65 | 5,55 | 4,77 | |||
250 | 20,0 | 16,65 | 13,90 | 11,90 | 10,00 | 8,31 | 6,95 | 5,95 | 5,00 | 4,17 | ||
315 | 17,50 | 15.00 | 12.60 | 10,40 | 8,75 | 7,50 | 6,27 | 5,26 | ||||
400 | 19.05 | 16,00 | 13,35 | 11,12 | 9,50 | 8,00 | 6,67 | |||||
500 | 20,00 | 16.70 | 13,90 | 11,90 | 10,00 | 8,34 | ||||||
630 | 21,00 | 37,50 | 15.00 | 12,60 | 10,50 | |||||||
800 | 19,00 | 16.00 | 13,35 | |||||||||
36. Значения геометрической характеристики зацепления λ = t/Dци для цепей типа 2 по ГОСТ 588—81
Размеры, мм
Шаг цепи t | Диаметр элемента зацепления Dц = d3 | |||||||||||
12,5 | 15,0 | 18,0 | 21,0 | 25,0 | 30,0 | 36,0 | 42,0 | 50,0 | 60,0 | 70,0 | 85,0 | |
40 | 3,20 | |||||||||||
50 | 4,0 | 3,32 | ||||||||||
63 | 5,04 | 4,20 | 3,50 | 3,00 | ||||||||
80 | 6,40 | 5,32 | 4,45 | 3,85 | 3,20 | 2,63 | ||||||
100 | 8,00 | 6,65 | 5,54 | 4,75 | 4,00 | 3,32 | 2,73 | |||||
125 | 10,00 | 8,32 | 6,92 | 5,95 | 5,00 | 4,16 | 3,43 | 2,94 | ||||
160 | 12,80 | 10,65 | 8,86 | 7,60 | 6,40 | 5,34 | 4,45 | 3,80 | 3,20 | |||
200 | 13,35 | 11,10 | 9,50 | 8,00 | 6,67 | 5,55 | 4,76 | 4,00 | 3,32 | |||
250 | 13,90 | 11,90 | 10,00 | 8,35 | 6,95 | 5,95 | 5,00 | 4,16 | 3,53 | 2,92 | ||
315 | 12,60 | 10,50 | 8,80 | 7,50 | 6,30 | 5,25 | 4,50 | 3,72 | ||||
400 | 13,32 | 11,12 | 9,51 | 8,00 | 6,67 | 5,70 | 4,70 | |||||
500 | 13,90 | 11,95 | 10,00 | 8,33 | 7,15 | 5,86 | ||||||
630 | 15,00 | 12,60 | 10,50 | 9,00 | 7,44 | |||||||
800 | 13,35 | 11,40 | 9,40 | |||||||||
1000 | 14,30 | 11,75 | ||||||||||
37. Значения геометрической характернстики зацепления λ = t/Dц для роликовых цепей по ГОСТ 13568—75
Размеры, мм
Шаг цепи t | Диаметр элемента зацепления Dц | λ | Шаг цепи t | Диаметр элемента зацепления Dц | λ |
Цепи типа ПР | 44,45 | 25,4 | 1,75 | ||
50,8 | 28,58 | 1,78 | |||
12,7 | 8,51 | 1,49 | Цепи типа ПРД | ||
15.875 | 10,16 | 1,56 | |||
19,05 | 11,91 | 1,60 | 31,75 | 10,16 | 3,12 |
25,4 | 15,88 | 1,60 | 38,0 | 16,0 | 2,38 |
33.75 | 19,05 | 1,67 | 50.8 | 15,88 | 3,20 |
38,1 | 22,23 | 1,71 | |||
38. Значения диаметра делительной окружности одноходовой звездочки dt = cosec(180º/z) в шагах
Число зубьев звездочек | dt | Число зубьев звездочек | dt | Число зубьев звездочек | dt | Число зубьев звездочек | dt | Число зубьев звездочек | dt |
5 | 1,7013 | 7 | 2.3048 | 9 | 2,9238 | 11 | 3,5495 | 13 | 4.1786 |
6 | 2,0000 | 8 | 2,6131 | 10 | 3.2361 | 12 | 3,8637 | 14 | 4,4939 |
Продолжение табл. 38
Число зубьев звездочек | dt | Число зубьев звездочек | dt | Число зубьев звездочек | dt | Число зубьев звездочек | dt | Число зубьев звездочек | dt |
15 | 4,8097 | 25 | 1,9т | 34 | 10,8379 | 43 | 13,6993 | 52 | 16,5516 |
16 | 5,1258 | 26 | 8,2963 | 35 | 11,1560 | 44 | 14,0178 | 53 | 16,8809 |
17 | 5,4423 | 27 | 8,6138 | 36 | 11,4737 | 45 | 14,3356 | 54 | 17,1984 |
18 | 5,7588 | 28 | 8,9319 | 37 | 11,7913 | 46 | 14,6536 | 55 | 17,5163 |
19 | 6,0756 | 29 | 9,2490 | 38 | 12,1093 | 47 | 14,9720 | 56 | 17,8354 |
20 | 6,3925 | 30 | 9,5668 | 39 | 12,4278 | 48 | 15,2898 | 57 | 18,1535 |
21 | 6,7095 | 31 | 9,8846 | 40 | 12,7455 | 49 | 15,6085 | 58 | 18,4717 |
22 | 7,0266 | 32 | 10,2023 | 41 | 13,0639 | 50 | 15,9260 | 59 | 18,7893 |
23 | 7,3439 | 33 | 10,5263 | 42 | 13,3820 | 51 | 16,2439 | 60 | 19,1073 |
24 | 7,6613 | ||||||||
39. Значения коэффициента числа зубьев одноходовой звездочки Кz= ctg(180º/z) в шагах
Число зубьев звездочек | Kz | Число зубьев звездочек | Kz | Число зубьев звездочек | Kz | Число зубьев звездочек | Kz | Число зубьев звездочек | Kz |
5 | 1,38 | 16 | 5,03 | 27 | 8,56 | 38 | 12,07 | 49 | 15,58 |
6 | 1,73 | 17 | 5,35 | 28 | 8,88 | 39 | 12,39 | 50 | 15,89 |
7 | 2,08 | 18 | 5,67 | 29 | 9,19 | 40 | 12,71 | 51 | 16,21 |
8 | 2,41 | 19 | 5,99 | 30 | 9,51 | 41 | 13,05 | 52 | 16,53 |
9 | 2,75 | 20 | 6,31 | 31 | 9,83 | 42 | 13.34 | 53 | 16,85 |
10 | 3,08 | 21 | 6,63 | 32 | 10,15 | 43 | 13,66 | 54 | 17,17 |
11 | 3,41 | 22 | 6,96 | 33 | 10,47 | 44 | 13,98 | 55 | 17,49 |
12 | 3,73 | 23 | 7,28 | 34 | 10,79 | 45 | 14,30 | 56 | 17,81 |
13 | 4,06 | 24 | 7,60 | 35 | 11,11 | 46 | 14,62 | 57 | 18,13 |
14 | 4,38 | 25 | 7,92 | 36 | 11,43 | 47 | 14,97 | 58 | 18,44 |
15 | 4,70 | 26 | 8.24 | 37 | 11.75 | 48 | 15,26 | 59 | 18,76 |
60 | 19,08 | ||||||||
ГОСТ 592—81 предусматривает методы расчета и построения профиля зубьев для звездочек грузовых пластинчатых цепей по ГОСТ 191—82.
40. Правила выполнения рабочих чертежей звездочек для пластинчатых цепей

Цепь (обозначение сопрягаемой цепи) | |
Число зубьев | z |
Величина смещения центров дуг впадин | е |
Радиус впадин зубьев | r |
Радиус закругления головки зуба | r1 |
Высота прямолинейной поверхности зуба | h |
Угол впадины *1 | β |
Профиль зуба *2 | |
Степень точности | 1 по ГОСТ 592-81 |
Диаметр делительной окружности | dd |
*1 Угол впадины и размеры, определяющие впадину зуба, указываются при необходимости.
*2 Ссылка на соответствующий ГОСТ.
Таблица параметров приведена для звездочек тяговых пластинчатых цепей.
При выполнении чертежа блока звездочек следует помещать одну таблицу с указанием всех необходимых данных для каждого венца звездочек. Венцы обозначают прописными буквами русского алфавита.
В неиспользованных графах таблицы ставят прочерки.
На чертеже звездочки, имеющей профиль, частично отличающийся от стандартизованного, кроме данных, указанных на рисунке и в таблице параметров, следует помещать изображение профиля зуба (рис. 3).
На изображении профиля:
указывают диаметр (диаметры) окружности, ограничивающей стандартизованную часть профиля;
наносят все необходимые размеры для изготовления нестандартизованной части профиля или оговаривают эту часть профиля в технических требованиях чертежа;
стандартизованную часть профиля выделяют штрихпунктирной утолщенной линией.

Рис.3
рисоединительными элементами типа 3, с односторонним их расположением (1) и чередованием через 3 шага:
Цепь M112-2-100-1-3-1-3 ГОСТ 588-81
То же, с присоединительными элементами типа 1.2 (с размерами h1 = 31,5 и d6 = 9), исполнения 1 (с размером А = 30), с односторонним их расположением (1) (с полурасстоянием А1/2, для наружных специальных пластин, равным 50, и для внутренних — 45) и чередованием через 3 шага:
Цепь M112-2-100-1-1 (h1 = 31,5)·2 (d6 = 9)-1(А= 30)-1(А1/2 = 50/45)-3 ГОСТ 588-81
То же, с присоединительными элементами типа 2.1 (с прямоугольными отверстиями размером 9x31), исполнения 0, с двусторонним их расположением (2) и чередованием через 2 ×
Цепь M112-2-100-1-2·1(9 × 31)-0-22 ГОСТ 588-81
То же, с присоединительными элементами типа 3 (с размером d7 = 15) с односторонним их расположением (с размером b6 = 72) и чередованием через 4 шага:
Цепь M112-2-100-1-3 (d7 = 15)-1 (b6 = 72)-4 ГОСТ 588-81
Примечание. Для тяговых пластинчатых цепей со специальными пластинами, имеющими иную от установленной на рис. табл. 30 форму отверстий и присоединительные элементы с размерами, отличающимися от указанных в табл. 30, после соответствующего условного обозначения типа исполнения и расположения присоединительных элементов в скобках следует указывать обозначение размера и фактическое его значение.
30. Основные размеры присоединительных элементов, мм


Номер цепи | d6 | d7 | h1 | А1 | b5, не более | b6 | Типы | |||||
1.2 и 2.2 | 1.2 и 2.2 | 1.3 и 2.3 | ||||||||||
Исполнения | ||||||||||||
1 | 2 | 3 | ||||||||||
t* | А | t* | А | t* | А | |||||||
М20 | 6,6 | 7 | 16 | 54 | 84 | 30 | 63 | 20 | 80 | 35 | 100 | 50 |
М28 | 9,0 | 8 | 20 | 64 | 100 | 34 | 80 | 25 | 100 | 40 | 125 | 65 |
М40 | 9,0 | 10 | 25 | 70 | 112 | 40 | 80 | 20 | 100 | 40 | 125 | 65 |
М56 | 11,0 | 12 | 30 | 88 | 140 | 49 | 100 | 25 | 125 | 50 | 160 | 85 |
М80 | 11,0 | 15 | 35 | 96 | 160 | 57 | 125 | 50 | 160 | 85 | 200 | 125 |
М112 | 14,0 | 18 | 40 | 110 | 184 | 67 | 125 | 35 | 160 | 65 | 200 | 100 |
М160 | 14,0 | 22 | 45 | 124 | 200 | 79 | 160 | 50 | 200 | 85 | 250 | 145 |
М224 | 18.0 | 25 | 55 | 140 | 228 | 94 | 200 | 65 | 250 | 125 | 315 | 190 |
М315 | 18,0 | 30 | 65 | 160 | 250 | 111 | 200 | 50 | 250 | 100 | 315 | 155 |
М450 | 18,0 | 35 | 75 | 180 | 280 | 129 | 250 | 85 | 315 | 155 | 400 | 240 |
М630 | 24.0 | — | 90 | 230 | 380 | — | 315 | 100 | 400 | 190 | 500 | 300 |
М900 | 30,0 | — | 110 | 280 | 480 | — | 315 | 65 | 400 | 155 | 500 | 240 |
* Минимальный шаг t цепи при расстоянии А между отверстиями.








