0 руб
Оформить заказОсновные элементы и параметры зубчатых колес показаны на рис. 18 и 19. Формулы расчета приведены в табл. 18.

Рис. 18. Элементы зубчатого колеса:
а — с внешними зубьями;
б — с внутренними зубьями;
1 — зуб; 2 — впадина; 3 — зубчатый венец;
4 — поверхность вершин;
5 — поверхность впадин

Рис. 19. К определению параметров во внутреннем зацеплении

Рис. 20. Основные элементы при определении положения ролика (шарика) во впадине колеса с внутренними зубьями

Рис. 21. Измерение длины обшей нормали колеса с внутренними зубьями
18. Формулы для расчета прямозубых передач с внутренним зацеплением без смещения
Параметры и обозначения | Расчетные формулы и указания |
Исходные данные | z1, z2, m, а, с |
awвходит в состав исходных данных, если его значение задано | |
Делительное межосевое расстояние а | а = (z2– z1)m/2 |
Делительный диаметр d | d1 = z1 m; d2 = z2 m |
Диаметр вершин зубьев da | da1 = d1 + 2m; da2 = d2 - 2m |
Диаметр впадин df(размер справочный) | df1 = d1 - 2(c + m); df2 = d2 + 2(c + m) |
Расчет постоянной хорды и высоты до постоянной хорды | |
Постоянная хорда зуба, выраженная в долях модуля |
|
Постоянная хорда |
|
Расстояние постоянной хорды от делительной окружности, выраженное в долях модуля |
|
Высота до постоянной хорды |
|
Нормальная толщина зуба sn |
|
Расчет длины общей нормали по табл.15 (рис. 21)Расчет размера по роликам (шарикам) (рис.20) | |
Размер по роликам (шарикам): с четным числом зубьев с нечетным числом зубьев |
|
Для колес без смешения диаметр ролика D берут в зависимости от m
D m | 1,732 1 | 1,845 1,25 | 2,214 1,5 | 2,952 2 | 3,690 2,5 | 4,428 3 | ||
D m | 5,904 4 | 7,380 5 | 8,856 6 | 11,808 8 | 14,760 10 | |||
19. Значение постоянной хорды зуба колеса
и расстояния ее от делительной окружности
, выраженное в долях модуля (а = 20°)

х2 |
|
| х2 |
|
| х2 |
|
|
-0,50 | 1,7084 | 0,3109 | -0,04 | 1,4128 | 0,2571 | 0,42 | 1,1171 | 0,2033 |
-0,49 | 1,7020 | 0,3098 | -0,03 | 1,4063 | 0,2559 | 0,43 | 1,1107 | 0,2021 |
-0,48 | 1,6956 | 0,3086 | -0,02 | 1,3999 | 0,2548 | 0,44 | 1,1042 | 0,2010 |
-0.47 | 1,6892 | 0,3074 | -0,01 | 1,3935 | 0,2536 | 0,45 | 1,0978 | 0,1998 |
-0,46 | 1,6827 | 0,3062 | -0,00 | 1,3870 | 0,2524 | 0,46 | 1,0914 | 0,1986 |
-0,45 | 1,6763 | 0,3051 | 0,47 | 1,0850 | 0,1975 | |||
-0,44 | 1,6699 | 0,3039 | 0,01 | t,3806 | 0,2513 | 0,48 | 1,0785 | 0,1963 |
-0,43 | 1,6635 | 0,3027 | 0,02 | 1,3742 | 0,2501 | 0,49 | 1,0721 | 0,1951 |
-0,42 | 1,6570 | 0,3016 | 0,03 | 1,3678 | 0,2490 | 0,50 | 1,0657 | 0,1940 |
-0,41 | 1,6506 | 0,3004 | 0,04 | 1,3614 | 0,2478 | |||
-0,40 | 1,6442 | 0,2992 | 0,05 | 1,3549 | 0,2466 | 0,51 | 1,0593 | 0,1928 |
0,06 | 1,3485 | 0,2454 | 0,52 | 1,0528 | 0,1916 | |||
-0,39 | 1,6377 | 0,2891 | 0,07 | 1,3421 | 0,2443 | 0,53 | 1,0404 | 0,1904 |
-0,38 | 1,6313 | 0,2969 | 0,08 | 1,3356 | 0,2431 | 0,54 | 1,0400 | 0,1892 |
-0,37 | 1,6249 | 0,2957 | 0,09 | 1,3292 | 0,2419 | 0,55 | 1,0336 | 0,1881 |
-0,36 | 1,6185 | 0,2945 | 0,10 | 1,3228 | 0,2408 | 0,56 | 1,0271 | 0,1869 |
-0,35 | 1,6120 | 0,2934 | 0,57 | 1,0207 | 0,1857 | |||
-0,34 | 1,6056 | 0,2922 | 0,11 | 1,3164 | 0,2396 | 0,58 | 1,0143 | 0,1845 |
-0,33 | 1,5992 | 0,2910 | 0,12 | 1,3099 | 0,2384 | 0,59 | 1,0078 | 0,1834 |
-0.32 | 1,5927 | 0,2899 | 0,13 | 1,3035 | 0,2372 | 0,60 | 1,0014 | 0,1822 |
-0,31 | 1,5863 | 0,2887 | 0,14 | 1,2971 | 0,2361 | |||
-0,30 | 1,5709 | 0,2875 | 0,15 | 1,2906 | 0,2349 | 0,61 | 0,9950 | 0,1811 |
0,16 | 1,2842 | 0,2337 | 0,62 | 0,9886 | 0,1799 | |||
-0,29 | 1,5735 | 0,2864 | 0,17 | 1,2778 | 0,2326 | 0,63 | 0,9821 | 0,1787 |
-0,28 | 1,5670 | 0,2852 | 0,18 | 1,2714 | 0,2314 | 0,64 | 0,9757 | 0,1776 |
-0,27 | 1,5606 | 0,2840 | 0,19 | 1,2649 | 0,2302 | 0,65 | 0,9693 | 0,1764 |
-0,26 | 1,5542 | 0,2828 | 0,20 | 1,2585 | 0,-2291 | 0,66 | 0,9629 | 0,1752 |
-0,25 | 1,5477 | 0,2817 | 0,67 | 0,9564 | 0,1740 | |||
-0,24 | 1,5413 | 0,2805 | 0,21 | 1,2521 | 0,2279 | 0,68 | 0,9500 | 0,1729 |
-0,23 | 1,5349 | 0,2793 | 0,22 | 1,2457 | 0,2267 | 0,69 | 0,9436 | 0,1717 |
-0,22 | 1,5285 | 0,2782 | 0,23 | 1,2392 | 0,2255 | 0,70 | 0,9371 | 0,1705 |
-0,21 | 1,5220 | 0,2770 | 0,24 | 1,2328 | 0,2244 | |||
-0,20 | 1,5156 | 0,2758 | 0,25 | 1,2264 | 0,2232 | 0,71 | 0,9307 | 0,1694 |
0,26 | 1,2199 | 0,2220 | 0,72 | 0,9243 | 0.1682 | |||
-0,19 | 1,5092 | 0,2747 | 0,27 | 1.2135 | 0,1209 | 0,73 | 0.9179 | 0,1670 |
-0,18 | 1,5028 | 0,2735 | 0,28 | 1,2071 | 0,2197 | 0,74 | 0,9114 | 0,1659 |
-0.17 | 1.4963 | 0.2723 | 0.29 | 1,2007 | 0.2185 | 0.75 | 0.9050 | 0,1647 |
-0,16 | 1,4899 | 0,2711 | 0.30 | 1.1942 | 0,2174 | 0,76 | 0,8986 | 0,1635 |
-0,15 | 1,4835 | 0,2700 | 0,77 | 0.8921 | 0,1623 | |||
-0,14 | 1,4770 | 0,2688 | 0,31 | 1,1878 | 0,2162 | 0.78 | 0,8857 | 0,1612 |
-0.13 | 1,4706 | 0,2676 | 0,32 | 1,1814 | 0,2150 | 0,79 | 0,8793 | 0,1600 |
-0.12 | 1.4642 | 0,2665 | 0,33 | 1.1749 | 0,2138 | 0,80 | 0,8729 | 0,1588 |
-0,11 | 1,4578 | 0,2653 | 0,34 | 1.1685 | 0.2127 | |||
-0.10 | 1,4513 | 0,2641 | 0,35 | 1,1621 | 0,2115 | 0,81 | 0,8664 | 0,1577 |
0,36 | 1,1557 | 0,2103 | 0.82 | 0,8600 | 0,1565 | |||
-0.09 | 1,4449 | 0,2630 | 0,37 | 1.1492 | 0,2092 | 0,83 | 0,8536 | 0.1553 |
-0,08 | 1,4385 | 0,2618 | 0.38 | 1,1428 | 0,2080 | 0.84 | 0.8471 | 0.1542 |
-0,07 | 1,4320 | 0.2606 | 0,39 | 1,1364 | 0.2068 | 0.85 | 0.8407 | 0.1530 |
-0,06 | 1,4256 | 0,2594 | 0,40 | 1.1299 | 0.2057 | 0,86 | 0.8343 | 0.1518 |
-0.05 | 1,4192 | 0,2583 | 0,87 | 0,8279 | 0.1507 | |||
0,41 | 1.1245 | 0,2045 | ||||||
0,88 | 0,8214 | 0,1495 | 0,93 | 0,7893 | 0,1436 | 0,97 | 0,7635 | 0,1389 |
0,89 | 0,8150 | 0,1483 | 0,94 | 0,7829 | 0,1425 | 0,98 | 0,7571 | 0,1378 |
0,90 | 0,8086 | 0,1471 | 0,95 | 0,7764 | 0,1413 | 0,99 | 0,7507 | 0,1366 |
0,96 | 0,7700 | 0,1401 | 1,00 | 0,7443 | 0,1354 | |||
0,91 | 0,8022 | 0,1460 | ||||||
0,92 | 0,7957 | 0,1448 | ||||||
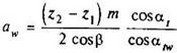
20. Формулы для определения основных размеров передач внутреннего зацепления со смещением
Параметры и обозначения | Расчетные формулы и указания |
Исходные данные | z1, z2, m, β, а, ha*, с*, нормальный исходный контур |
aw входит в состав исходных данных, если его значение задано; коэффициенты смешения х1 и х2 входят в состав исходных данных, если значение межосевого расстояния aw не задано | |
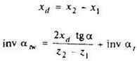
Расчет коэффициентов смещения х1 и х2 при заданном межосевом расстоянии aw | |
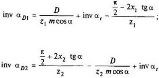
Делительное межосевое расстояние а Угол профиля аt Угол зацепления atw Коэффициент разности смешений хd |
|
Рекомендации по разбивке значения xd = x2 – x1 на составляющие х1 и х2 стандартом не устанавливаются. Величины коэффициентов смешения определяются требуемыми качествами передачи по прочностным и геометрическим показателям. | |
Расчет межосевого расстояния aw, при заданных коэффициентах х1 и х2 | |
Коэффициент разности смешений xd Угол зацепления atw |
|
Межосевое расстояние aw |
|
Расчет диаметров зубчатых колес | |
Делительный диаметр d Передаточное число u Начальный диаметр dw Диаметр вершин зубьев da Диаметр впадин df (размер справочный) |
|
Примечания:
1. Для прямозубых передач β = 0°, тогда а = 0,5(z2 – z1)m; at = a; d = zm.
2. При а = awполучаем atw= at; xd= 0; dw = d.
3. Расчет диаметров вершин зубчатых колес для случая предполагаемой окончательной обработки колеса с внутренними зубьями зуборезным долбяком приведен в табл. 3 ГОСТ19274-73.
Постоянная хорда зуба, выраженная в долях модуля Постоянная хорда зуба Расстояние постоянной хорды от делительной окружности, выраженное в долях модуля, Высота до постоянной хорды |
|
Расчет длины общей нормали при а = 20° по табл. 15
Расчет толщины по хорде зуба и высоты до хорды
Угол профиля а в точке на концентрической окружности заданного диаметра dy |
| ||
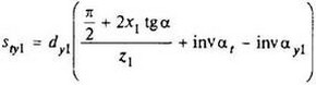
Окружная толщина на заданном диаметре dу | шестерни sty1 |
| |
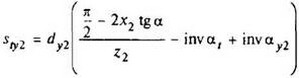
колеса sty2 |
| ||
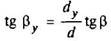
Угол наклона линии зуба βу на соосной цилиндрической поверхности диаметром dу |
| ||
Половина угловой толщины зуба ψув эквивалентного зубчатого колеса, соответствующая концентрической окружности диаметром dy/cos2βy |
| ||
Толщина по хорде |
| ||
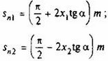
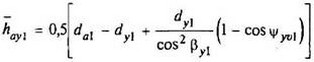
Высота до хорды | Шестерни |
| |
Колеса |
| ||
Расчет размера по роликам (шарикам)
Диаметр ролика (шарика) D | При a = 20° (включая исходный контур по ГОСТ 13755—81) рекомендуется принимать D = 1,7m для шестерни и D = 1,5m для колеса (для роликов допускается выбирать ближайшее значение по ГОСТ 2475-88). Контроль косозубых колес с внутренними зубьями по роликам не производится. |
Угол профиля в точке на концентрической окружности, проходящей через центр ролика (шарика), aD |
|
Диаметр концентрической окружности зубчатого колеса, проходящей через центр ролика (шарика), dD |
|
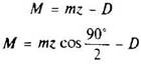
Размер по роликам (шарикам) прямозубых и косозубых зубчатых колес с четным числом зубьев (в торцовом сечении) М Размер по роликам (шарикам) прямозубых и косозубых зубчатых колес с нечетным числом зубьев (в торцовом сечении) M |
|
Формулы для aa, βb, pa, px, pz, x1minсм. в табл. 15
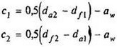
Проверка радиального зазора в передаче
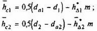
Радиальный зазор | во впадине шестерни с1 во впадине колеса с2 |
| Действительный радиальный зазор определяется по фактическим диаметрам |
Проверка коэффициента перекрытия
Коэффициент торцового перекрытия εа Коэффициент осевого перекрытия εβ Коэффициент перекрытия εv |
|

































