0 руб
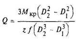
Оформить заказСила затяжки болта, поставленного в отверстие с зазором,

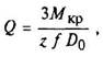
или при небольшой сравнительно с D0 ширине кольцевой поверхности стыка

где Мкр - крутящий момент;
z - число болтов;
f - коэффициент трения.
При соединении точеными болтами без зазоров момент трения, вызванный затяжкой, в расчет не принимают или принимают только 25-35% его величины.
Поперечная нагрузка, приходящаяся на каждый болт,

Болт рассчитывают на срез и смятие по диаметру точеного стержня.

Рис. 12