0 руб
Оформить заказ(по ГОСТ 13576-81)
ГОСТ 13576—81 распространяется на звездочки для приводных зубчатых цепей по 13552—81. Стандарт устанавливает метод расчета и построения профиля зубьев звездочек для приводных зубчатых цепей с односторонним и двусторонним зацеплением (табл. 44 —48) и предельные отклонения (табл. 50).
44. Расчет и построение профиля зубьев звездочек
Размеры, мм
Профиль зубьев звездочек для зубчатых цепей с односторонним зацеплением — тип 1

Профиль зубьев звездочек для зубчатых цепей с двусторонним зацеплением — тип 2

Наименование параметров | Обозначения | Расчетные формулы для цепи | |
типа 1 | типа 2 | ||
Исходные данные | |||
Шаг цепи | t | Размеры по ГОСТ 13552-81 | |
Расстояние от центра шарнира до рабочей грани звена | u | ||
Расстояние от оси пластины до вершины зуба звена | h1 | ||
Ширина цепи | b | ||
Толщина пластины | s | ||
Угол наклона рабочих граней | α | 60° | |
Число зубьев звездочки | z | z от 17 до 96 | z* от 22 до 96 |
Геометрический расчет | |||
Диаметр делительной окружности | dd |
|
|
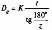
Диаметр наружной окружности | De |
|
|
Коэффициент высоты зуба | К | — | K = 0,99 для z ≤ 40 К = 0,995 для z > 40 |
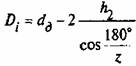
Диаметр окружности впадин | Di |
| |
Высота зуба | h2 | h2 = h1 + e | |
Радиальный зазор | е | е = 0,1t | |
Угол поворота звена на звездочке, град | φ | φ=360°/z | |
Угол впадины зуба,град | β | 2β = α - φ | — |
Половина угла заострениязуба, ...° | γ | γ= 30°- φ | |
Ширина зуба звездочки | b3 | b3 = b + 2s | b3 = 2,55s |
Ширина венца | b4 | b4 = b3 | b4 = b + 1,58s |
Расстояние от вершины зуба до линии центров | C1 | С1 = 0,4t | |
Радиус закругления торца зуба и направляющей проточки | r | r = t | r = 50 |
Глубина проточки | h3 | h3 = 0,75t | |
Ширина проточки | s1 | s1 = 2s | — |
Контрольные размеры | |||
Толщина зуба на высоте у | ty |
| |
Измерительная высота зуба | y |
| |
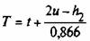
Расстояние между кромками рабочих граней зубьев при а=60° | T |
| |
* Приведено теоретическое число зубьев звездочки для расчета ее параметров. Фактическое число зубьев звездочки, при регламентированном стандартном зацеплении цепи через шаг, равно половине теоретического.
45. Расчетные величины основных параметров звездочек
Размеры, мм
Наименование параметров | Расчетные величины | ||||
Шаг цепи t | 12,7 | 15,875 | 19,05 | 25,4 | 31,75 |
Расстояние от центра шарнира до рабочей грани звена u | 4,76 | 5,95 | 7,14 | 9,52 | 11,91 |
Высота зуба h2 | 8,3 | 10,3 | 12,4 | 15,9 | 19,9 |
Радиальный зазор е | 1,3 | 1,6 | 1,9 | 2,5 | 3,2 |
Расстояние между кромками рабочих граней зубьев Т при a=60° | 14,11 | 17,73 | 21,22 | 28,33 | 35,35 |
Расстояние от точки пересечения рабочих граней до наружной окружности С | 20,52 | 25,65 | 30,76 | 41,03 | 51,34 |
Радиус закругления впадины зуба r1 | 1.5 | 2,0 | 2,0 | 2,5 | 3,5 |
Высоту зуба h2 и зазор е вычисляют с точностью до 0,1мм, остальные линейные размеры поперечного профиля зубьев — с точностью до 0,01мм, а угловые — с точностью до 1'.
46. Величины dd и De в зависимости от z при t = 10
z | Для цепей типа 1 | Для цепей типа 2 | ||
dd | De | dd | De | |
17 | 54,42 | 53,49 | — | — |
18 | 57,59 | 56,71 | — | — |
19 | 60,76 | 59,93 | — | — |
20 | 63,93 | 63,14 | — | — |
21 | 67,10 | 66,35 | — | — |
22 | 70,27 | 69,56 | 69,57 | 68,86 |
23 | 73,44 | 72,76 | 72,71 | 72,03 |
24 | 76,61 | 75,96 | 75,84 | 75,20 |
25 | 79,79 | 79,16 | 78,99 | 78,37 |
26 | 82,96 | 82,36 | 82,13 | 81,54 |
27 | 86,14 | 85,55 | 85,28 | 84,69 |
28 | 89,31 | 88,75 | 88,42 | 87,86 |
29 | 92,42 | 91,95 | 91,49 | 91,03 |
30 | 95,67 | 95,14 | 94,71 | 94,19 |
31 | 98,85 | 98,34 | 97,86 | 97,36 |
32 | 102,02 | 101,54 | 101,00 | 100,52 |
33 | 105,20 | 104,72 | 104,15 | 103,67 |
34 | 108,38 | 107,92 | 107,30 | 106,84 |
35 | 111,56 | 111,11 | 110,44 | 110,00 |
36 | 114,74 | 114,30 | 112,46 | 111,33 |
37 | 117,92 | 117,49 | 116,74 | 116,31 |
38 | 121,10 | 120,70 | 119,89 | 119,49 |
39 | 124,28 | 123,87 | 123,04 | 122,63 |
40 | 127,46 | 127,06 | 126,18 | 125,79 |
41 | 130,63 | 130,24 | 129,98 | 129,59 |
42 | 133,82 | 133,46 | 133,15 | 132,79 |
43 | 137,00 | 136,61 | 136,31 | 135,93 |
44 | 140,18 | 139,82 | 139,48 | 139,12 |
45 | 143,36 | 143,00 | 142,64 | 142,28 |
46 | 146,54 | 146,20 | 145,81 | 145,47 |
47 | 149,42 | 149,37 | 148,67 | 148,62 |
48 | 152,90 | 152,57 | 152,13 | 151,81 |
49 | 156,23 | 155,76 | 155,45 | 154,98 |
50 | 159,26 | 158,94 | 158,46 | 158,14 |
51 | 162,44 | 162,13 | 161,63 | 161,32 |
52 | 165,62 | 165,32 | 164,79 | 164,49 |
53 | 168,80 | 168,51 | 167,96 | 167,67 |
54 | 171,98 | 171,70 | 171,12 | 170,84 |
55 | 175.17 | 174,83 | 174,29 | 173,95 |
56 | 178,35 | 178,07 | 177,46 | 177,18 |
57 | 181,53 | 181,26 | 180,52 | 180,35 |
58 | 184,71 | 184,45 | 183,79 | 183,53 |
59 | 187,89 | 187,63 | 186,95 | 186,69 |
60 | 191,07 | 190,81 | 190,11 | 189,85 |
61 | 194,25 | 194,00 | 193,28 | 193,03 |
62 | 197,44 | 197,20 | 196,45 | ,196,21 |
63 | 200,62 | 200,37 | 199,62 | 199,37 |
64 | 203,80 | 203,55 | 202,78 | 202,53 |
Примечание. Для определения диаметров окружностей звездочки другого шага табличные значения умножаются на отношение этого шага к 10.
ГОСТ 13576—81 предусматривает также dd и De для z = 65…96.
Пример: при t = 15,875мм и z = 25 dd = 79,79(15,875/10) = 126,63мм.
47. Основные контрольные размеры зубьев звездочек у и tyв зависимости от z и шага цепи, мм
Число зубьев звездочки z | Шаг цепи, мм | |||||||||
12,7 | 15,875 | 19,05 | 25,4 | 31,75 | ||||||
y | ty | y | ty | y | ty | y | ty | y | ty | |
17 | 1,99 | 3,68 | 2,48 | 4,59 | 2,98 | 5,52 | 3,97 | 7,36 | 4,96 | 9,18 |
18 | 2,08 | 3,76 | 2,60 | 4,70 | 3,12 | 5,64 | 4,15 | 7,53 | 5,19 | 9,39 |
19 | 2,16 | 3,84 | 2,70 | 4,79 | 3,24 | 5,76 | 4,32 | 7,68 | 5,40 | 9,58 |
20 | 2,23 | 3,91 | 2,79 | 4,89 | 3,35 | 5,87 | 4,46 | 7,83 | 5,58 | 9,77 |
21 | 2,30 | 3,98 | 2,87 | 4,97 | 3,45 | 5,97 | 4,59 | 7,96 | 5,74 | 9,93 |
22 | 2,36 | 4,04 | 2,94 | 5,05 | 3,53 | 6,07 | 4,71 | 8,09 | 5,89 | 10,09 |
23 | 2,41 | 4,11 | 3,02 | 5,13 | 3,61 | 6,17 | 4,82 | 8,22 | 6,03 | 10,26 |
24 | 2,46 | 4,16 | 3,07 | 5,19 | 3,69 | 6,24 | 4,92 | 8,32 | 6,15 | 10,38 |
25 | 2,50 | 4,21 | 3,13 | 5,26 | 3,75 | 6,32 | 5,01 | 8,42 | 6,26 | 10,51 |
26 | 2,54 | 4,26 | 3,18 | 5,32 | 3,82 | 6,39 | 5,09 | 8,52 | 6,36 | 10,63 |
27 | 2,58 | 4,30 | 3,23 | 5,38 | 3,87 | 6,46 | 5,16 | 8,61 | 6,45 | 10,75 |
28 | 2,62 | 4,35 | 3,27 | 5,43 | 3,92 | 6,52 | 5,23 | 8,70 | 6,54 | 10,85 |
29 | 2,65 | 4,39 | 3,31 | 5,48 | 3,97 | 6,58 | 5,30 | 8,73 | 6,62 | 10,96 |
30 | 2,68 | 4,43 | 3,35 | 5,53 | 4,02 | 6,64 | 5,36 | 8,86 | 6,70 | 11,05 |
31 | 2,71 | 4,46 | 3,38 | 5,57 | 4,06 | 6,70 | 5,41 | 8,93 | 6,76 | 11,15 |
32 | 2,73 | 4,50 | 3,42 | 5,62 | 4.10 | 6,75 | 5,47 | 9,00 | 6,83 | 11.23 |
33 | 2,76 | 4,53 | 3,45 | 5,66 | 4,14 | 6.80 | 5,51 | 9,06 | 6,90 | 11,31 |
34 | 2,78 | 4,56 | 3,47 | 5,70 | 4,17 | 6,84 | 5,56 | 9,13 | 6,95 | 11.39 |
35 | 2,80 | 4,59 | 3,50 | 5,73 | 4,20 | 6,89 | 5,60 | 9,19 | 7,01 | 11,46 |
36 | 2,82 | 4,62 | 3,53 | 5,77 | 4,21 | 6,93 | 5,64 | 9,24 | 7,06 | 11.53 |
37 | 2,84 | 4,65 | 3,55 | 5,80 | 4.26 | 6,97 | 5,68 | 9,29 | 7,10 | 11,60 |
38 | 2,86 | 4,67 | 3,57 | 5,83 | 4,29 | 7,01 | 5,72 | 9,35 | 7,15 | 11,66 |
39 | 2,88 | 4,70 | 3,59 | 5,86 | 4,31 | 7,04 | 5,75 | 9,39 | 7,19 | 11,72 |
40 | 2,89 | 4,72 | 3,61 | 5,89 | 4.34 | 7,08 | 5,78 | 9,44 | 7,23 | 11,78 |
41 | 2,91 | 4,74 | 3,63 | 5,92 | 4,36 | 7,11 | 5,81 | 9,48 | 7,27 | 11,84 |
42 | 2,92 | 4,76 | 3,65 | 5,95 | 4,38 | 7,14 | 5,84 | 9,53 | 7,30 | 11,85 |
43 | 2,93 | 4,78 | 3,67 | 5,97 | 4,40 | 7,17 | 5,87 | 9,56 | 7,34 | 11,93 |
44 | 2,95 | 4.80 | 3,69 | 6,00 | 4,42 | 7,20 | 5,90 | 9,61 | 7,38 | 11,99 |
45 | 2,96 | 4,82 | 3,70 | 6,02 | 4,44 | 7,23 | 5,92 | 9,65 | 7,40 | 12,04 |
46 | 2,97 | 4,84 | 3,71 | 6,04 | 4,46 | 7,26 | 5,95 | 9,68 | 7,43 | 12,08 |
47 | 2,98 | 4,86 | 3,73 | 6,07 | 4,47 | 7,28 | 5,97 | 9,71 | 7,46 | 12,13 |
48 | 2,99 | 4.87 | 3,74 | 6,09 | 4,49 | 7,31 | 5,99 | 9,75 | 7,49 | 12,17 |
49 | 3,00 | 4,89 | 3,76 | 6,11 | 4,51 | 7,33 | 6,01 | 9,78 | 7,52 | 12,21 |
50 | 3,02 | 4,91 | 3,77 | 6,13 | 4,53 | 7.36 | 6,03 | 9,80 | 7,55 | 12,25 |
51 | 3,03 | 4,92 | 3,78 | 6,15 | 4,54 | 7,38 | 6,05 | 9,84 | 7,57 | 12,29 |
52 | 3,04 | 4,93 | 3,79 | 6,17 | 4,55 | 7,40 | 6,07 | 9,88 | 7,59 | 12,33 |
53 | 3,04 | 4,95 | 3,80 | 6,18 | 4.57 | 7,43 | 6,09 | 9,90 | 7,61 | 12,36 |
54 | 3,05 | 4.96 | 3,82 | 6,21 | 4,58 | 7,45 | 6,11 | 9,93 | 7,64 | 12,39 |
55 | 3,06 | 4,97 | 3,83 | 6,22 | 4,59 | 7,46 | 6,12 | 9,95 | 7,66 | 12,42 |
56 | 3,07 | 4,99 | 3,84 | 6,23 | 4,60 | 7,48 | 6,14 | 9,98 | 7,68 | 12,46 |
57 | 3,08 | 5,00 | 3,85 | 6.24 | 4,61 | 7,50 | 6,16 | 10,00 | 7,69 | 12,49 |
58 | 3,09 | 5.01 | 3,85 | 6.25 | 4,62 | 7,52 | 6,17 | 10,03 | 7,71 | 12,52 |
59 | 3,09 | 5,02 | 3,86 | 6,26 | 4,63 | 7.54 | 6,18 | 10,05 | 7,73 | 12,54 |
60 | 3,10 | 5,03 | 3,87 | 6.28 | 4.64 | 7,55 | 6,19 | 10,07 | 7,74 | 12,57 |
61 | 3,10 | 5,04 | 3,88 | 6,30 | 4,65 | 7,57 | 6.20 | 10,09 | 7,76 | 12,60 |
62 | 3,11 | 5,06 | 3,89 | 6,31 | 4.66 | 7,:« | 6,21 | 10,11 | 7,78 | 12,62 |
63 | 3,12 | 5,07 | 3,90 | 6,33 | 4.67 | 7,60 | 6,23 | 10,13 | 7,79 | 12,65 |
64 | 3,12 | 5,08 | 3,90 | 6,34 | 4,69 | 7.62 | 6,24 | 10,16 | 7,81 | 12,68 |
ГОСТ 13576—81 предусматривает также размеры у и ty для z = 65…96.
48. Угловые параметры зубьев звездочек φ, γ и β в зависимости от z
z | φ | γ | β | z | φ | γ | β |
17 | 21°10 ' | 8°50' | 19°25' | 41 | 8°47' | 21° 13' | 25º36' |
18 | 20 00 | 10 00 | 20 00 | 42 | 8 34 | 21 26 | 25 43 |
19 | 18 57 | 11 03 | 20 32 | 43 | 8 22 | 21 38 | 25 49 |
20 | 18 00 | 12 00 | 21 00 | 44 | 8 11 | 21 49 | 25 55 |
21 | 17 08 | 12 52 | 21 26 | 45 | 8 00 | 22 00 | 26 00 |
22 | 16 22 | 13 38 | 21 49 | 46 | 7 50 | 22 10 | 26 05 |
23 | 15 39 | 14 21 | 22 10 | 47 | 7 40 | 22 20 | 26 10 |
24 | 15 00 | 15 00 | 22 30 | 48 | 7 30 | 22 30 | 26 15 |
25 | 14 24 | 15 36 | 22 48 | 49 | 7 21 | 22 39 | 26 20 |
26 | 13 51 | 16 09 | 23 05 | 50 | 7 12 | 22 48 | 26 24 |
27 | 13 20 | 16 40 | 23 20 | 51 | 7 03 | 22 57 | 26 28 |
28 | 12 51 | 17 09 | 23 34 | 52 | 6 55 | 23 05 | 26 32 |
29 | 12 25 | 17 35 | 23 43 | 53 | 6 48 | 23 12 | 26 36 |
30 | 12 00 | 18 00 | 24 00 | 54 | 6 40 | 23 20 | 26 40 |
31 | 11 37 | 18 23 | 24 12 | 55 | 6 33 | 23 27 | 26 44 |
32 | 11 15 | 18 45 | 24 22 | 56 | 6 26 | 23 34 | 26 47 |
33 | 10 54 | 19 06 | 24 33 | 57 | 6 19 | 23 41 | 26 50 |
34 | 10 35 | 19 25 | 24 42 | 58 | 6 12 | 23 48 | 26 54 |
35 | 10 17 | 19 43 | 24 52 | 59 | 6 06 | 23 54 | 26 57 |
36 | 10 00 | 20 00 | 25 00 | 60 | 6 00 | 24 00 | 27 00 |
37 | 9 44 | 20 16 | 25 08 | 61 | 5 54 | 24 06 | 27 03 |
38 | 9 28 | 20 32 | 25 16 | 62 | 5 48 | 24 12 | 27 06 |
39 | 9 14 | 20 46 | 25 23 | 63 | 5 43 | 24 17 | 27 08 |
40 | 9 00 | 21 00 | 25 30 | 64 | 5 37 | 24 23 | 27 11 |
49. Правила выполнения чертежей звездочек для зубчатых передач

Цепь (обозначение сопрягаемой цепи) | |
Число зубьев звездочки | z |
Радиус построения криволинейного профиля зуба* | R |
Наибольший зазор между рабочей гранью пластины и зубом * | К |
Профиль зуба | ГОСТ… |
Класс точности | 2-й класс ГОСТ... |
Диаметр делительной окружности | dd |
* Указывается при необходимости.
На размеры зуба звездочки установлены два класса точности. Предельные отклонения выбирают в зависимости от класса точности по табл. 50.
50. Предельные отклонения размеров зуба звездочки
Наименование параметров | Предельные отклонения в мкм для диаметра делительной окружности звездочки, мм | |||||||||
1-го класса точности | 2-го класса точности | |||||||||
До 120 | От 120 до 260 | От 260 до 500 | От 500 до 800 | От 800 до 1250 | До 120 | От 120 до 260 | От 260 до 500 | От 500 до 800 | От 800 до 1250 | |
Разность шагов Δt(одной звездочки), мкм: для t до 19,05мм для t от 25,4мм | 25 32 | 32 40 | 40 50 | 50 60 | 60 80 | 60 80 | 80 100 | 100 120 | 120 160 | 160 200 |
Диаметр наружной окружности | h7 | h8 | ||||||||
Диаметр окружностивпадин Di | h11 | h12 | ||||||||
Ширина зуба b3 | h11 | h12 | ||||||||
Толщина зуба ty | h7 | h8 | ||||||||
Радиальное биение окружности впадин | 8-я степень точности по ГОСТ 24648-81 | 10-я степень точности по ГОСТ 24643-81 | ||||||||
Торцевое биениезубчатого венца | 9-я степень точности по ГОСТ 24643-81 | 11-я степень точности по ГОСТ 24643-81 | ||||||||







