0 руб
Оформить заказПружины кручения изготовляют из проволоки классов 1, 2, 2А по ГОСТ 9389-75 диаметром 0,2...2,5мм включительно и проволоки по ГОСТ 14963-78 диаметром 3... 14мм.
Пружина кручения и диаграммы силовых испытаний изображены на рис. 1.
На пружину кручения действует пара сил, закручивающая ее в поперечных сечениях.
Пружины применяют в качестве прижимных аккумулирующих и упругих звеньев силовых передач. Примеры применения даны на рис. 2, 3 и 4.
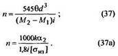
Расчет. Исходные данные: наибольший рабочий крутящий момент М2, Н · мм; наибольший угол закручивания a2º.
Находим наибольший рабочий крутящий момент в Н · мм:

где[σиз] = 1,25 τ3.
Наименьший (установочный) рабочий крутящий момент определяется условиями работы механизма, его значение в Н · мм:
М1 = (0,1...0,5)M2. (27а)

Рис. 1. Пружины кручения из круглой проволоки с прямыми концами, расположенными под углом 90º

Если установочная нагрузка не предусматриваемся, то М1 = 0.
Предельно допустимый крутящий момент (для наибольшей испытательной нагрузки) в Н·мм:
М3 = М2 · a3/a2; (28)
M3 = 1,25M2. (28a)
Индекс пружины
i= D/d; (29)
здесь D - средний диаметр пружины; рекомендуется принимать i≥ 5 (чем меньше d, тем больше следует брать i); в исключительных случаях допустимо i = 4 .
Значения индекса пружины i можно принимать в зависимости от диаметра проволоки d:
d, мм | 0.2...0.4 | 0,45...1,0 | 1,1…2,5 | 2,8...6 | 7...14 |
i=D/d | 16...8 | 12...6 | 10...6 | 10...4 | 8...4 |
Коэффициент формы сечения и кривизны витка:
(30)
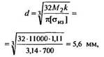
Диаметр проволоки в мм:
(31)
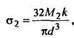
Напряжение нормальное при изгибе, в Н/мм , под нагрузкой М2:
(32)
должно быть σ2 ≤ [σиз].
Предельный угол закручивания в градусах при М3:
a3=1,25а2. (33)
Наибольший рабочий угол закручивания в градусах при М2:
а2 ≈ 0,8а3. (34)
Наименьший рабочий угол закручивания в градусах при М1:
a1 = a2M1/M2 (35)
Рабочий угол закручивания в градусах от M1, до М2:
θ = а2 – a1. (36)
Обычно θ определяют из условий работы механизма.
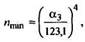
Число рабочих витков:

Наименьшее число витков (из условия устойчивости пружины, т.е. постоянства ее оси):
(38)
должно быть n ≥ nmin.
Длина (высота) пружины в свободном состоянии в мм:
l0=(n+1)d + nδ. (39)
Зазор между витками в мм:
δ = 0,1. ..0,5. (40)
Шаг пружины в мм:
t = d + δ. (41)
Длина развернутой пружины в мм:
l≈ 3,2Dn+ lприц, (42)
где D = D1-d; lприц - длина проволоки прицепов, мм.
Пример расчета. Дано: наибольший рабочий крутящий момент М2 = 11000Н · мм, наибольший рабочий угол закручивания a2 = 140°; пружина класса I, разряда 3.
Решение. Допускаемое напряжение на изгиб в Н/мм2:
[σиз] = 1,25[τ3].
Из табл. 2 имеем для стали 60С2А [τ3] = 560Н/мм2:
[σиз] = 1,25 · 560 = 700Н/мм2.
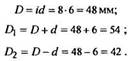
Индекс пружины по формуле (29) принимаем i = 8.
Коэффициент формы сечения и кривизны витков по формуле (30):

Диаметр проволоки по формуле (31):

принимаем d = 6мм.
Диаметр пружины по формуле (29):

Иногда диаметр пружины приходится принимать по конструктивным соображениям.
Нормальное напряжение при М2 (т.е. поверочный расчет пружины на прочность) по формуле (32):

Число рабочих витков по формуле (37а):

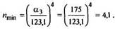
Предельный угол закручивания по формуле (33):
а3=1,25а2= 1,25·140 =175°.
Наименьшее число витков по формуле:

Наименьший рабочий крутящий момент по формуле (27а):
М1 = 0,2М2 =0,2·11000 = 2200Н·мм.
Наименьший рабочий угол закручивания по формуле (35):

Зазор между витками по формуле (40):
δ = 0,5мм.
Длина пружины по формуле (39):
l0=(n + 1)d + nδ = (16 + 1)·6 + 16·0,5 = 110мм.
Предельно допустимый крутящий момент по формуле (28а):
М3 = 1,25М2 = 1,25·11000= 13750Н·м.
Шаг пружины по формуле (41):
t = 6 + 0,5 = 6,5мм.
Длина развернутой проволоки - по формуле (42).
Примечание. Если конструкция пружины окажется не совсем удачной, расчет следует повторить, исходя из другого, вновь выбранного индекса пружины.
Пример выполнения рабочего чертежа пружины кручения по ГОСТ 2.401-68 (в ред. 1990г.) приведен в табл. 27.
27. Пружина кручения с прямыми концами, расположенными вдоль оси пружины

G* =...Н/мм2
τ3* =... Н/мм2
E* = ... Н/мм2
σ3* = ... Н/мм2
Пружина с витком, номер позиции по ГОСТ....
Твердость HRC ....
Число витков полное n1 = ... .
Число рабочих витков n = ....
Направление навивки.
Остальные технические требования по...
(указывают номер нормативного документа).
* Размеры для справок.