0 руб
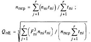
Оформить заказСредняя частота вращения ведущего элемента при действии осевых сил одного направления (с числом j ступеней такого нагружения) в соответствии с циклограммой

Эквивалентная нагрузка при действии осевых сил такого направления в соответствии с циклограммой нагружения

Для осевых сил противоположного направления [с числом (r - j) ступеней такого нагружения] в соответствии с циклограммой и общим числом r ее ступеней нагружения

При расчете на ресурс ШВП с зазором принимают в качестве эквивалентной нагрузки FE наибольшую из QлЕ и QпE
FE = QлЕ или FE = QпE (5)
и соответствующую ей среднюю частоту вращения
nср = nдерили nср = nпер. (6)
При расчете на статическую грузоподъемность ШВП с зазором расчетной силой Fp служит наибольшая по абсолютной величине из заданных в циклограмме [см. (1)]:
Fp = Fmax.