0 руб
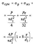
Оформить заказПод действием растягивающей силы Р в болте возникают напряжения растяжения и изгиба:

где σсум - суммарное напряжение при растяжении и изгибе, МПа;
σр - рабочее напряжение при растяжении, МПа;
σиз - рабочее напряжение при изгибе, МПа;
е - расстояние от точки приложения силы Р до оси болта, мм;
d1 - внутренний диаметр резьбы, мм.
Даже при сравнительно малой величине е напряжения изгиба в болте могут во много раз превосходить напряжения растяжения, что потребует значительного увеличения диаметра резьбы. Поэтому болты с эксцентричной нагрузкой следует применять только при особой необходимости.

Рис. 13