0 руб
Оформить заказРекомендации по выбору материалов. В зависимости от условий работы подшипникового узла выбирают марку материала для полимерной втулки. При подборе материала втулки необходимо учитывать требования по долговечности подшипникового узла с учетом предельной величины износи; втулки, условий работы (наличие абразива, влаги, характера нагрузки и т. д.). Рекомендуемые полимерные материалы приведены в табл. 25а-25в.
Технические условия на свертные втулки из металлофторопласта (табл. 26 - 28). Внутренний диаметр втулок проверяют после запрессовки их последовательно в оба гнезда калибра, изготовленного с одной стороны по верхнему, а с другой стороны по нижнему предельному отклонению Н8 для соответствующего диаметра посадочного места в изделии.
Диаметр d должен удовлетворять требованиям посадки Н7 и Н8 в зависимости от типа втулки. Эскиз калибра для втулки с диаметром d = 10мм приведен на рис. 4.

Рис. 4. Калибр для втулки
Наружный диаметр втулок гарантируется размерами оснастки.
Толщину и структуру антифрикционного слоя втулок проверяют на микрошлифах под микроскопом с увеличением в 30—50 раз.
Срок службы втулок 3 года.
Внутренний диаметр посадочного места в изделии выполняют по Н7 с параметром шероховатости поверхности Ra = 0,63мкм.
Отклонение от соосности отверстия А относительно отверстия Б - не более 0,03мм (рис. 5).
Запрессовку втулок выполняют с помощью запрессовочных пуансонов с заплечиками для упора в торец или буртик втулки. Диаметр запрессовочных пуансонов выполняют по посадке f7, а параметры шероховатости рабочей поверхности в пределах Ra 0,63 и Ra 0,32мкм. Перед приложением усилия для запрессовки втулки необходимо установить относительно отверстия в изделии так, чтобы исключить возможность движения втулки с перекосом.

Рис. 5. Отклонение от соосности отверстия А относительно отверстия Б
25а. Рекомендуемые полимерные материалы
Режим работы | Смазка | Материал | ||
р, МПа, не более | v, м/с, не более | pv, МПа·м/с, не более | ||
5,0 | 0,3 | 0,25 | Без смазки | Термопласты: полиамидная смола, поликапролактам, капрон вторичный |
5,0 | 5,0 | 20 | Периодическая | То же |
5,0 | 0,7 | 0,80 | Без смазки | Композиции на основе термопластов с добавкой 5—10% антифрикционных наполнителей (графит серебристый, дисульфид молибдена, тальк) |
5,0 | 0,7 | 0,80 | Периодическая | То же |
7,5 | 10 | 20 | Реактопласты: фенопласты, волокниты, текстолит, древесные пластики | |
7,5 | 10 | 25 | Реактопласты, наполненные графитом | |
25б. Допустимые значения [pav] (МПа·м/с) при эксплуатации ТПС1*
Материал | Тип корпуса СК 2* или шестерня диаметром, мм | Рабочий диаметр d подшипника 3*, мм | |||||||
10 | 15 | 20 | 25 | 30 | 40 | 50 | 60 | ||
| Периодическое смазывание | ||||||||
СФД, СТД (основа – поли деталь) | СК | 6,5 | 3,8 | 2,2 | 1,6 | 1,2 | 1,0 | 0,8 | 0,6 |
10,0 | 6,0 | 3,5 | 2,7 | 2,0 | 1,6 | 1,3 | 1,0 | ||
200 | 4,5 | 3,0 | 1,8 | 1,4 | 1,1 | 0,9 | 0,7 | 0,5 | |
7,4 | 4,8 | 3,0 | 2,4 | 1,8 | 13 | 1,2 | 1,0 | ||
100 | 3,2 | 2,3 | 1,5 | 1,2 | 1,0 | 0,8 | 0,7 | 0,5 | |
5,0 | 3,2 | 2,0 | 1,8 | 1,6 | 1,4 | 1,2 | 1,0 | ||
СФД-ВМ, СФД-БС, СФД-ДМ, СФД-АФ (полицеталь (основа), ПТФЭ, MoS2 и др.) | СК | 9,0 | 7,0 | 3,6 | 3,0 | 2,2 | 1,6 | 1,2 | 0,9 |
13,0 | 9,0 | 5,0 | 4,0 | 2,8 | 2,2 | 1,8 | 1,4 | ||
200 | 7,0 | 5,0 | 3,0 | 2,6 | 2,0 | 13 | 1Д | 0,8 | |
10,0 | 7,0 | 4,0 | з,з | 2,6 | 2,1 | 1,7 | 1,3 | ||
100 | 5,0 | 3,8 | 2,8 | 2,4 | 1,8 | 1,4 | 1,0 | 0,7 | |
7,0 | 5,0 | 3,6 | 3,0 | 2,4 | 2,0 | 1,6 | 1,3 | ||
| Одноразовое смазывание | ||||||||
СК | 5,0 | 3,5 | 1,8 | 1,5 | 1,2 | 0,9 | 0,7 | 0,6 | |
8,0 | 5,0 | 2,7 | 2,2 | 1,6 | 1,2 | 0,9 | 0,7 | ||
200 | 3,5 | 2,4 | 1,6 | 1,3 | 1,0 | 0,8 | 0,7 | 0,5 | |
5,0 | 3,5 | 23 | 1,9 | 1,5 | 1,0 | 0,8 | 0,7 | ||
100 | 2,8 | 2,1 | 1,4 | 11 | 0,9 | 0,7 | 0,6 | 0,5 | |
3,5 | 2,7 | 1,7 | 1,5 | 1,3 | 0,9 | 0,7 | 0,6 | ||
ATM-2 (полиамид 6 (основа), графит, термоантрацит) | СК | 4,0 | 3,0 | 1,4 | 1,2 | 1,0 | 0,7 | 0,6 | 03 |
6,0 | 4,0 | 2,0 | 1,6 | 1,2 | 0,8 | 0,7 | 0,5 | ||
200 | 3,0 | 1,9 | 1,2 | 1,0 | 0,8 | 0,6 | 0,5 | 0,4 | |
4,0 | 2,8 | 1,8 | 1,4 | 1,0 | 0,7 | 0,6 | 0,5 | ||
100 | 2,0 | 1,5 | 1,0 | 0,8 | 0,6 | 0,5 | 0,4 | 03 | |
2,8 | 2,0 | 1,4 | 1,2 | 0,9 | 0,6 | 0,5 | 0,4 | ||
1* В числителе указано допустимое значение [pav] подшипника с зазором, соответствующим посадке Е10/h8, а в знаменателе — с зазором, соответствующим посадке D10/h8.
2* СК — стенка корпуса.
3* Ширина ТПС l = 0,8d, толщина рабочего слоя t = 0,04d.
Для втулок, работающих при повышенных температурах, предусмотреть крепление в изделии, предотвращающее от осевого смещения и проворачивания (завальцовка, кернение, посадка на клею и др.).
После установки втулок в изделие внутренний диаметр их должен соответствовать назначенному типу втулки, его необходимо проверять гладким калибром.
Покрытие вала — гладкое хромирование с параметрами шероховатости поверхности Ra 0,63мкм для втулок, изготовленных по Н8, и Ra 0,32мкм — для втулок, изготовленных по Н7. Допускаются другие виды покрытий, которые обеспечивают надежную защиту вала от коррозии и не увеличивают шероховатости поверхности.
25в. Допустимые значения fpav (МПа · м/с) при эксплуатации ТПС
Рабочий диаметр подшипника, мм | Тип корпуса (см. табл. 25б) | ||
СК | Шестерня диаметром, мм | ||
200 | 100 | ||
10 | 0,160/0,200 | 0,140/0,175 | 0,120/0,140 |
15 | 0,120/0,160 | 0,100/0,130 | 0,080/0,100 |
20 | 0,090/0,135 | 0,070/0,105 | 0,050/0,080 |
25 | 0,075/0,105 | 0,060/0,090 | 0,045/0,070 |
30 | 0,060/0,085 | 0,050/0,070 | 0,040/0,055 |
40 | 0,050/0,070 | 0,045/0,060 | 0,040/0,045 |
50 | 0,045/0,060 | 0,045/0,055 | 0,035/0,040 |
60 | 0,045/0,055 | 0,040/0,055 | 0,035/0,040 |
Примечание. В числителе приведены допустимые значения f · pav при теплопроводности материала, равной 0,3Вт/(м·°С), в знаменателе — при 0,8Вт/(м·°С).
26. Втулки свертные из металлофторопласта
Втулки применяют в узлах трения скольжения.
Размеры, мм

d | D | D1 | S | L | ||
Ряды длин | ||||||
12 | 16/18 | 22/25 | 2/3 | 10 | 12 | 16 |
14 | 18/20 | 22/25 | 2/3 | 12 | 14 | 18 |
16 | 20/22 | 25/28 | 2/3 | 14 | 16 | 20 |
18 | 22/25 | 28/32 | 2,5/3,6 | 14 | 18 | 22 |
20 | 25/28 | 30/36 | 2,5/4 | 16 | 20 | 25 |
22 | 26/30 | 32/36 | 2,5/4 | 16 | 22 | 28 |
25 | 30/32 | 36/40 | 2,5/4 | 16 | 25 | 32 |
28 | 32/36 | 38/42 | 2,5/4 | 16 | 28 | 36 |
32 | 36/40 | 42/48 | 2,5/4 | 20 | 32 | 40 |
36 | 40/42 | 45/48 | 2,5/4 | 22 | 36 | 45 |
40 | 45/48 | 50/52 | 2,5/4 | 25 | 40 | 50 |
45 | 50/55 | 55/58 | 3/4 | 28 | 45 | 56 |
50 | 55/60 | 60/65 | 3/5 | 32 | 50 | 63 |
55 | 60/35 | 67/71 | 3/5 | 36 | 56 | 71 |
60 | 65/70 | 71/75 | 3/5 | 40 | 60 | 71 |
65 | 70/80 | 75/85 | 3/6 | 45 | 68 | 80 |
70 | 75/85 | 85/90 | 3/6 | 50 | 71 | 80 |
75 | 80/85 | 85/90 | 3,5/6 | 50 | 75 | 90 |
80 | 85/90 | 90/95 | 3,5/6 | 50 | 80 | 100 |
Значения величин D, D1, S в числителе для втулок из термопластов, в знаменателе — для втулок из реактопластов.
Технические требования. Отклонения на размеры втулок — по ГОСТ 11710—66.
На размеры D и d допускается изготовление фаски — см. т. 1, гл. V.
Допускается изготовление шпонки со скругленными гранями и не на полную длину втулки. Поверхность втулок должна быть гладкой, без заусенцев, вздутий, трещин, расслоений, вмятин. После запрессовки втулки дополнительная обработка по отверстию d не допускается.
27. Втулки с буртиком из металлофторопласта
Втулки из металлофторопластовой ленты работают в условиях трения без смазки.

Размеры, мм
d (откл. по Н7 и Н8) | D (откл. по u7) | D1 | S | с ±0,1 | r | h | L-0,2*** . |
5 | 7 | 12 | 1,0 | 0,3 | 1,0 | 0,9 | 4-8 |
6 | 8 | 14 | 4-10 | ||||
7 | 9 | 16 | 4-10 | ||||
8 | 10 | 18 | 4-12 | ||||
10 | 13 | 20 | 1,5 | 0,5 | 1,5 | 1,4 | 6-16 |
12 | 15 | 22 | 6-18 | ||||
14 | 17 | 24 | 8-22 | ||||
16 | 19 | 26 | 8-24 | ||||
18 | 21 | 28 | 10-26 | ||||
20 | 23 | 30 | 10-30 | ||||
22 | 25 | 33 | 12-34 | ||||
24 | 27 | 36 | 12-36 | ||||
26 | 29 | 39 | 16-40 | ||||
28 | 31 | 42 | 16-42 | ||||
30 | 33 | 45 | 16-44 | ||||
32 | 35 | 48 | 16-48 | ||||
34 | 37 | 52 | 18-56 | ||||
35 | 38 | 54 | 18-56 | ||||
38 | 41 | 57 | 18-56 | ||||
40 | 43 | 60 | 18-60 | ||||
42 | 45 | 65 | 20-60 | ||||
45 | 50 | 67 | 2,5 | 0,8 | 2,0 | 2, 4 | 22-60 |
48 | 53 | 73 | 24-60 | ||||
50 | 55 | 75 | 26-65 | ||||
55 | 60 | 82 | 28-65 | ||||
60 | 65 | 90 | 28-65 | ||||
65 | 70 | 95 | 28-65 | ||||
70 | 75 | 105 | 30-65 | ||||
75 | 80 | 112 | 30-65 | ||||
80 | 85 | 120 | 32-65 | ||||
85 | 90 | 125 | 32-70 | ||||
90 | 95 | 130 | 36-70 | ||||
100 | 105 | 140 | 40-70 | ||||
110 | 115 | 150 | 40-70 | ||||
120 | 125 | 160 | 40-70 |
* Размер, для справок.
** Размеры даны для втулки в рабочем состоянии.
*** Размер L в указанных пределах брать из ряда: 4; 6; 8; 10; 12; 14; 16; 18; 20; 22; 24; 26; 28; 30; 32; 34; 36; 38; 40; 42; 44: 46; 48; 50; 56; 60; 65; 70мм.
Материал: металлофторопластовая лента с основой из стали 08кп по ГОСТ 1050—88 и из коррозионно-стойкой стали 08Х18Н10Т по ГОСТ 4986-79.
Покрытие для втулок из стали 08кп: Кд3, кроме поверхностей А и В.
Величина зазора в стыке в свободном состоянии втулки — не более 0,2мм.
Отклонение от перпендикулярности поверхностей А и Б относительно В — не более 0,1мм на длине 100мм.
Отклонение от параллельности линии стыка втулки относительно поверхности В — не более 0,3мм на длине 100мм.
Разностенность втулки — не более 0,03мм.
Перед монтажом втулки, валы, оси тщательно промывают до полного удаления с их поверхности консервирующей смазки, пыли и насухо протирают бумажными или мягкими матерчатыми салфетками. Применение для протирки загрязненной абразивными частицами ветоши или грубых тканей не допускается. Не допускается применение для очистки от грязи металлических щеток, ершей.
Промытые и насухо протертые рабочие поверхности валов, осей и втулок смазывают ровным слоем консистентной смазки типа ЦИАТИМ-201. В дальнейшем при работе смазка не требуется. Смазка узлов трения, работающих при повышенных температурах (от +100 до +260°С), при установке не производится.
28. Вкладыши гладкие из металлофторопласта
Вкладыши из металлофторопластовой ленты работают в условиях трения без смазки.

Размеры, мм
d (откл. поН7, Н8) | D (откл. по u8) | S | с ±0,1 | L-0.2 | d (откл. поН7, Н8) | D (откл. по u8) | S | с ±0,1 | L-0.2 |
5 | 7 | 1 | 0,3 | 4-8 | 38 | 41 | 1,5 | 0,5 | 18-56 |
6 | 8 | 4-10 | 40 | 43 | 18-60 | ||||
7 | 8 | 4-10 | 42 | 45 | 18-60 | ||||
8 | 10 | 4-12 |
| ||||||
10 | 13 | 1,5 | 0,5 | 6-16 | 45 | 50 | 2,5 | 0,8 | 18-65 |
12 | 15 | 6-18 | 48 | 53 | 18-70 | ||||
14 | 17 | 8-22 | 50 | 55 | 18-75 | ||||
16 | 19 | 8-24 | 55 | 60 | 20-80 | ||||
18 | 21 | 10-26 | 60 | 65 | 20-90 | ||||
20 | 23 | 10-30 | 65 | 70 | 24-90 | ||||
22 | 25 | 12-34 | 70 | 75 | 24-90 | ||||
24 | 27 | 12-36 | 75 | 80 | 26-90 | ||||
26 | 29 | 16-40 | 80 | 85 | 26-90 | ||||
28 | 31 | 16-42 | 85 | 90 | 26-90 | ||||
30 | 33 | 16-44 | 90 | 95 | 26-90 | ||||
32 | 35 | 16-48 | 100 | 105 | 26-90 | ||||
34 | 37 | 20-50 | 110 | 115 | 26-90 | ||||
35 | 38 | 20-56 | 120 | 125 | 26-90 | ||||
* Размер для справок.
** Размеры даны для втулки в рабочем состоянии.
Технические требования. Материал: фторопластовая лента с основой из стали 08Х18Н10Т (ОХ18Н10Т) по ГОСТ 4986-79.
Покрытие для втулок из стали 08кп: Кд3, кроме поверхности В.
Величина зазора в стыке в свободном состоянии втулки не более 0,2мм.
Отклонение от перпендикулярности поверхностей А и Б относительно поверхности В — не более 0,1мм на длине 100мм.
Отклонение от параллельности линии стыка втулки относительно поверхности В — не более 0,3мм на длине 100мм.
Разностенность втулки — не более 0,03мм.
29. Рекомендуемая долговечность втулок по числу циклов и переменной нагрузке
d втулок, мм | Нагрузка, МПа, не более | Возможный износ, мм, не более | |||
Номинал | Отклонение | 250 | 125 | 62,5 | |
Циклы, не более | |||||
5-18 | По Н8 | 15000 | 60000 | 150000 | 0,10 |
» Н7 | 7000 | 30000 | 75000 | 0,05 | |
20-40 | По Н8 | 10000 | 50000 | 100000 | 0,12 |
» Н7 | 5000 | 25000 | 50000 | 0,07 | |
4 и выше | По Н8 | 10000 | 50000 | 100000 | 0,20 |
» Н7 | 5000 | 25000 | 50000 | 0,10 | |
Вращение валов, осей и других деталей во втулках должно быть легким, без заеданий.
Рекомендуемые нагрузки на втулки и долговечность. Рекомендуемая долговечность втулок по количеству циклов при возвратно-вращательном движении вала с углом отклонения ±30°, переменной циклической нагрузке от нуля до максимальной и рабочей температуры в пределах ±60°С должна соответствовать указанной в табл. 29. Скорость скольжения не должка превышать 0,01м/с.
При повышении температуры до 260^(o)С нагрузки соответственно должны снижаться в 2 раза. В интервале температур от —60 до +260°С изменение нагрузок должно соответствовать графику (рис. 6).
Втулки, работающие при нагрузках не выше 50МПа, следует применять с учетом допускаемых значений pv, приведенных в табл. 30. Рабочая температура при этом должна быть от —60 до +60°С.
С повышением температуры более +60°С допустимые нагрузки и значения pv должны плавно снижаться, как показано на рис. 7.
Осевая нагрузка на буртик втулок должна быть не более половины рекомендуемой радиальной нагрузки на втулку и должна рассчитываться на площадь поверхности буртика без радиусных закруглений.
У втулок со снятым приработанным слоем после установки в изделие допускается для исправления формы отверстия (завышенная овальность, конусность и др.) калибровка протягиванием разглаживающих протяжек с натягом, не превышающим 0,06мм. При этом протяжка и втулка должны быть смазаны смазкой ЦИАТИМ-201 или другой консистентной смазкой.
Коэффициенты трения при отсутствии смазки по мере износа антифрикционного слоя могут увеличиваться:

Рис. 6. Изменение нагрузок в интервале температур от —60 до +260°С
30. Допускаемые значения pv для втулок при нагрузках не выше 50МПа
Типовые случаи приложения нагрузки при применении втулок | Допускаемые значения pv, МПа·м/с (при износе не более 0,1мм) | |
Покрытие вала: гладкое хромирование; время работы 1000ч | Другие виды покрытий при отсутствии коррозии вала; время работы 1000ч | |
Постоянная нагрузка вращающегося вала, фиксированная по отношению к втулке Постоянная нагрузка вращающегося вала относительно втулки Переменная по величине нагрузка вала при возвратно-вращательном движении | 0,31 0,42 0,47 | 0,23 0,31 0,42 |
кинетический (μкин) — от 0,07 вначале до 0,2 к концу работы;
статический (μстат) — 0,10 вначале до 0,22 к концу работы.
Для повышения долговечности рекомендуется изготовление втулок с полностью снятым приработочным слоем на металлофторопластовой ленте и упрочнение поверхности антифрикционного слоя разглаживающими протяжками с натягом, не превышающим 0,1мм. Рекомендуемая форма протяжки показана на рис. 8.
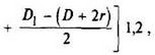
Рекомендуемая методика подсчета размеров развертки втулок. Подсчет длины развертки заготовки для втулок без буртика (рис. 9).
Длина развертки
l = π(d + t1 + 2t2 + 3t3),
где d — внутренний диаметр втулки, взятый по верхнему пределу отклонения; t1 — толщина стального слоя ленты; t2 — толщина слоя пористой бронзы; t3 — толщина приработанного слоя ленты.

Рис. 7. Изменение допускаемых нагрузок и значений pv при изменении температуры

Рис. 8. Рекомендуемая форма разглаживающей протяжки
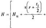
Подсчет размеров развертки заготовки для втулки с буртиком (рис. 10).
Высота развертки заготовки


где 1,2 - коэффициент усадки материала при изготовлении втулки и для последующей механической обработки;
Нц = L - r
Размеры l и l1 развертки заготовки

где r1 = Н - Нц
Примеры применения втулок приведены на рис. 11 и 12.

Рис. 9. Развертка заготовки втулки без буртика:
а - втулка: б - развертка

Рис. 10. Развертка заготовки втулки с буртиком:
а - втулка; б - развертка: размер Нц - цилиндрическая часть заготовки

Рис. 11. Пример применения втулок без буртика

Рис. 12. Пример применения втулок с буртиком