0 руб
Оформить заказРазмеры муфты (рис. 7) принимают
L = (3…5)dB,
D= (1,5…1,8)dB
или берут из табл. 1.

Рис. 7. Предохранительная втулочная муфта со срезным штифтом
Исходными данными являются:
1. Наибольший номинальный вращающий момент Tном, передаваемый муфтой, Н·мм.
2. Расчетный вращающий момент Т срабатывания муфты Н·мм, во избежание случайных включений муфты берут Т = 1,25Тном.
3. Радиус расположения поверхности среза r, мм.
4. Материал предохранительного штифта: среднеутлеродистые стали.
5. Временное сопротивление разрыву (в зависимости от марки стали штифта) σв, МПа.
Для расчета из табл. 22 берут коэффициент пропорциональности К между пределами прочности на срез и на разрыв.
При проектированном расчете для выбора Kпредварительно задается d.
Расчетный предел прочности на срез штифта, МПа
τср = К·σв.
Диаметр предохранительного штифта (проектировочный расчет), мм

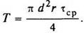
Предельный вращающий момент, Н·мм, при котором происходит срез штифта (проверочный расчет),

22. Коэффициент пропорциональности К
Диаметр штифта d, мм | Материалштифта | Штифт с V-образной канавкой | |
средней вязкости (ε = 12…17% ) | вязкий (ε = 20…22%) | ||
2-3 4-5 | 0,8-0,78 0,72-0,68 | 0,81-0,80 0,76-0,75 | 0,8-0,9 0,8-0,9 |
Значения К приведены для муфт с осевым расположением штифтов. В муфтах с радиальным расположением штифта коэффициент К следует увеличивать на 5—10%.